Home / Publications / Conversion of ethanol over calcium stannate catalyst under supercritical conditions

Conversion of ethanol over calcium stannate catalyst under supercritical conditions

Tatiana Veniaminovna Bogdan 1, 2
Tatiana Veniaminovna Bogdan
Aleksey Evgenievich Koklin 1
Aleksey Evgenievich Koklin
Nikolay V Mashchenko 1
Nikolay V Mashchenko
Viktor Ignat'evich Bogdan 1
Viktor Ignat'evich Bogdan
2 Department of Chemistry, M.V. Lomonosov Moscow State University, Moscow, Russian Federation
Published 2024-02-19
CommunicationVolume 34, Issue 2, 218-220
5
Share
Cite this
GOST
 | 
Cite this
GOST Copy
Bogdan T. V. et al. Conversion of ethanol over calcium stannate catalyst under supercritical conditions // Mendeleev Communications. 2024. Vol. 34. No. 2. pp. 218-220.
GOST all authors (up to 50) Copy
Bogdan T. V., Koklin A. E., Mashchenko N. V., Bogdan V. I. Conversion of ethanol over calcium stannate catalyst under supercritical conditions // Mendeleev Communications. 2024. Vol. 34. No. 2. pp. 218-220.
RIS
 | 
Cite this
RIS Copy
TY - JOUR
DO - 10.1016/j.mencom.2024.02.019
UR - https://mendcomm.colab.ws/publications/10.1016/j.mencom.2024.02.019
TI - Conversion of ethanol over calcium stannate catalyst under supercritical conditions
T2 - Mendeleev Communications
AU - Bogdan, Tatiana Veniaminovna
AU - Koklin, Aleksey Evgenievich
AU - Mashchenko, Nikolay V
AU - Bogdan, Viktor Ignat'evich
PY - 2024
DA - 2024/02/19
PB - Mendeleev Communications
SP - 218-220
IS - 2
VL - 34
ER -
BibTex
 | 
Cite this
BibTex (up to 50 authors) Copy
@article{2024_Bogdan,
author = {Tatiana Veniaminovna Bogdan and Aleksey Evgenievich Koklin and Nikolay V Mashchenko and Viktor Ignat'evich Bogdan},
title = {Conversion of ethanol over calcium stannate catalyst under supercritical conditions},
journal = {Mendeleev Communications},
year = {2024},
volume = {34},
publisher = {Mendeleev Communications},
month = {Feb},
url = {https://mendcomm.colab.ws/publications/10.1016/j.mencom.2024.02.019},
number = {2},
pages = {218--220},
doi = {10.1016/j.mencom.2024.02.019}
}
MLA
Cite this
MLA Copy
Bogdan, Tatiana Veniaminovna, et al. “Conversion of ethanol over calcium stannate catalyst under supercritical conditions.” Mendeleev Communications, vol. 34, no. 2, Feb. 2024, pp. 218-220. https://mendcomm.colab.ws/publications/10.1016/j.mencom.2024.02.019.

Keywords

aldol condensation
borrowing hydrogen
calcium stannate
catalyst crystallization.
dehydrogenation
ethanol conversion
supercritical conditions
Tishchenko reaction

Abstract

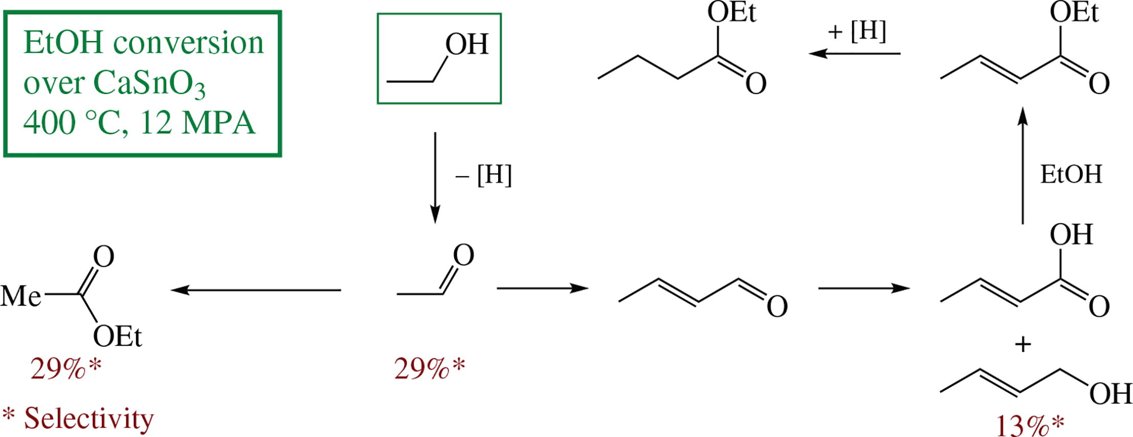
Ethanol over calcium stannate (CaSnO3) catalyst under supercritical conditions (400 °C, 120 atm) is transformed mainly into ethanal, ethyl acetate and 2-buten-1-ol. The process is accompanied by crystallization of the amorphous catalyst.

References

.
Supercritical fluids in chemistry
Alekseev E.S., Alentiev A.Y., Belova A.S., Bogdan V.I., Bogdan T.V., Bystrova A.V., Gafarova E.R., Golubeva E.N., Grebenik E.A., Gromov O.I., Davankov V.A., Zlotin S.G., Kiselev M.G., Koklin A.E., Kononevich Y.N., et. al.
Russian Chemical Reviews, 2020
.
Acetone condensation over CaO—SnO2 catalyst
Koklin A.E., Hasyanova G.M., Glukhov L.M., Bogdan V.I.
Russian Chemical Bulletin, 2017
.
Bioethanol: fuel or feedstock?
Rass-Hansen J., Falsig H., Jørgensen B., Christensen C.H.
Journal of Chemical Technology and Biotechnology, 2007
.
Borrowing Hydrogen for Organic Synthesis
Reed-Berendt B.G., Latham D.E., Dambatta M.B., Morrill L.C.
ACS Central Science, 2021
.
Direct Synthesis of n-Butanol from Ethanol over Nonstoichiometric Hydroxyapatite
Tsuchida T., Sakuma S., Takeguchi T., Ueda W.
Industrial & Engineering Chemistry Research, 2006
.
Heterogeneous Catalysts for the Guerbet Coupling of Alcohols
.
Homogeneous Ethanol to Butanol Catalysis—Guerbet Renewed
Aitchison H., Wingad R.L., Wass D.F.
ACS Catalysis, 2016
.
Catalytic Upgrading of Ethanol to n -Butanol: Progress in Catalyst Development
Wu X., Fang G., Tong Y., Jiang D., Liang Z., Leng W., Liu L., Tu P., Wang H., Ni J., Li X.
ChemSusChem, 2017
.
Heterogeneous catalytic condensation of propanal
Martsinkevich E.M., Afaunov A.A., Flid V.R., Bruk L.G.
Russian Chemical Bulletin, 2021
.
Self-Condensation of Acetone of Strontium Stannate under Supercritical Conditions
Veshchitsky G.A., Smirnov A.V., Mashchenko N.V., Koklin A.E., Bogdan V.I.
Russian Journal of Physical Chemistry B, 2021
.
Effect of Mechanical Pressure on the Recrystallization of Zinc Oxide in a Water Fluid Medium under Cold Sintering
Ivakin Y.D., Smirnov A.V., Kormilitsin M.N., Kholodkova A.A., Vasin A.A., Kornyushin M.V., Tarasovskii V.P., Rybal’chenko V.V.
Russian Journal of Physical Chemistry B, 2021
.
The properties of gases and liquids
Kobe K.A.
Journal of Chemical Education, 1959
.
Catalytic Reactions of Homo- and Cross-Condensation of Ethanal and Propanal
Martsinkevich E.M., Bruk L.G., Dashko L.V., Afaunov A.A., Flid V.R., Sedov I.V.
Petroleum Chemistry, 2018
.
Structure and Catalytic Properties of Magnesium Stannate in the Acetone Condensation Reaction
Bogdan T.V., Koklin A.E., Mashchenko N.V., Bogdan V.I.
Russian Journal of Physical Chemistry A, 2022
.
Chemistries and processes for the conversion of ethanol into middle-distillate fuels
Eagan N.M., Kumbhalkar M.D., Buchanan J.S., Dumesic J.A., Huber G.W.
Nature Reviews Chemistry, 2019
.
The formation of active phases in Pt-containing catalysts for bicyclohexyl dehydrogenation in hydrogen storage
Bogdan T.V., Kalenchuk A.N., Kustov L.M., Bogdan V.I.
Physical Chemistry Chemical Physics, 2023
.
Structural requirements and reaction pathways in condensation reactions of alcohols on MgyAlOx catalysts
Di Cosimo J.I., Apesteguı&́a C.R., Ginés M.J., Iglesia E.
Journal of Catalysis, 2000
.
Effective formation of ethyl acetate from ethanol over Cu-Zn-Zr-Al-O catalyst
Inui K., Kurabayashi T., Sato S., Ichikawa N.
Journal of Molecular Catalysis A Chemical, 2004
.
Continuous liquid-phase valorization of bio-ethanol towards bio-butanol over metal modified alumina
Riittonen T., Eränen K., Mäki-Arvela P., Shchukarev A., Rautio A., Kordas K., Kumar N., Salmi T., Mikkola J.
Renewable Energy, 2015
.
Unraveling the mechanism of chemical reactions through thermodynamic analyses: A short review
Meunier F.C., Scalbert J., Thibault-Starzyk F.
Applied Catalysis A: General, 2015
.
Saponification of ethyl acetate in the presence of β-cyclodextrin
Petek A., Krajnc M., Petek A.
Journal of Molecular Liquids, 2018
.
Recrystallization of fine-crystalline barium titanate in low-density water medium
Ivakin Y.D., Danchevskaya M.N., Kholodkova A.A., Muravieva G.P., Rybalchenko V.V.
Journal of Supercritical Fluids, 2020
.
Chemicals from ethanol—The ethyl acetate one-pot synthesis
Gaspar A.B., Esteves A.M., Mendes F.M., Barbosa F.G., Appel L.G.
Applied Catalysis A: General, 2009
.
Reaction of ethanol over hydroxyapatite affected by Ca/P ratio of catalyst
TSUCHIDA T., KUBO J., YOSHIOKA T., SAKUMA S., TAKEGUCHI T., UEDA W.
Journal of Catalysis, 2008
.
The role of water fluid in the formation of fine-crystalline oxide structure
Danchevskaya M.N., Ivakin Y.D., Torbin S.N., Muravieva G.P.
Journal of Supercritical Fluids, 2007
.
Bimetallic Ni–Cu/CeO2–Al2O3 catalysts for conversion of ethanol to higher alcohols
Rathinasamy V., Arjunan A., Ramaswamy K.K., Balasubramanian V., Kannan S.
Reaction Kinetics, Mechanisms and Catalysis, 2023
.
.
Utilization of Acetone, By-Product of Cumene Process for Phenol Production, via BaSnO3-Catalyzed Aldol Condensation
Bogdan T.V., Krasnikov P.A., Smirnov A.V., Koklin A.E., Mashchenko N.V., Bogdan V.I.
Doklady Physical Chemistry, 2022
.
Mishanin I.I., Bogdan T.V., Smirnov A.V., Chernavskii P.A., Kuznetsova N.N., Bogdan V.I.
Mendeleev Communications, 2023
.
Tandem Reactions in Acetone–Isopropanol System on MgSnO3 Catalyst under Supercritical Conditions
Savarets A.R., Bogdan T.V., Koklin A.E., Mashchenko N.V., Bogdan V.I.
Russian Journal of Physical Chemistry B, 2023