Home / Publications / Enthalpy and heat capacity of hydration of the cytostatic Dioxadet

Enthalpy and heat capacity of hydration of the cytostatic Dioxadet

Nataliya Leonidovna Smirnova 1
Nataliya Leonidovna Smirnova
Andrey Vladimirovich Kustov 1
Andrey Vladimirovich Kustov
Airat Al'bertovich Notfullin 2
Airat Al'bertovich Notfullin
Michail I Yagofarov 2
Michail I Yagofarov
Dmitriy Vyacheslavovich Batov 1
Dmitriy Vyacheslavovich Batov
Konstantin Nikolaevich Semenov 3
Konstantin Nikolaevich Semenov
1 G.A. Krestov Institute of Solution Chemistry, Russian Academy of Sciences, Ivanovo, Russian Federation
2 Kazan Federal University, Kazan, Russian Federation
3 I.P. Pavlov First St. Petersburg State Medical University, St. Petersburg, Russian Federation
Published 2024-09-09
CommunicationVolume 34, Issue 5, 680-681
0
Share
Cite this
GOST
 | 
Cite this
GOST Copy
Smirnova N. L. et al. Enthalpy and heat capacity of hydration of the cytostatic Dioxadet // Mendeleev Communications. 2024. Vol. 34. No. 5. pp. 680-681.
GOST all authors (up to 50) Copy
Smirnova N. L., Kustov A. V., Notfullin A. A., Yagofarov M. I., Batov D. V., Semenov K. N. Enthalpy and heat capacity of hydration of the cytostatic Dioxadet // Mendeleev Communications. 2024. Vol. 34. No. 5. pp. 680-681.
RIS
 | 
Cite this
RIS Copy
TY - JOUR
DO - 10.1016/j.mencom.2024.09.017
UR - https://mendcomm.colab.ws/publications/10.1016/j.mencom.2024.09.017
TI - Enthalpy and heat capacity of hydration of the cytostatic Dioxadet
T2 - Mendeleev Communications
AU - Smirnova, Nataliya Leonidovna
AU - Kustov, Andrey Vladimirovich
AU - Notfullin, Airat Al'bertovich
AU - Yagofarov, Michail I
AU - Batov, Dmitriy Vyacheslavovich
AU - Semenov, Konstantin Nikolaevich
PY - 2024
DA - 2024/09/09
PB - Mendeleev Communications
SP - 680-681
IS - 5
VL - 34
ER -
BibTex
 | 
Cite this
BibTex (up to 50 authors) Copy
@article{2024_Smirnova,
author = {Nataliya Leonidovna Smirnova and Andrey Vladimirovich Kustov and Airat Al'bertovich Notfullin and Michail I Yagofarov and Dmitriy Vyacheslavovich Batov and Konstantin Nikolaevich Semenov},
title = {Enthalpy and heat capacity of hydration of the cytostatic Dioxadet},
journal = {Mendeleev Communications},
year = {2024},
volume = {34},
publisher = {Mendeleev Communications},
month = {Sep},
url = {https://mendcomm.colab.ws/publications/10.1016/j.mencom.2024.09.017},
number = {5},
pages = {680--681},
doi = {10.1016/j.mencom.2024.09.017}
}
MLA
Cite this
MLA Copy
Smirnova, Nataliya Leonidovna, et al. “Enthalpy and heat capacity of hydration of the cytostatic Dioxadet.” Mendeleev Communications, vol. 34, no. 5, Sep. 2024, pp. 680-681. https://mendcomm.colab.ws/publications/10.1016/j.mencom.2024.09.017.

Keywords

Dioxadet
enthalpy
heat capacity.
hydration
solution
sublimation

Abstract

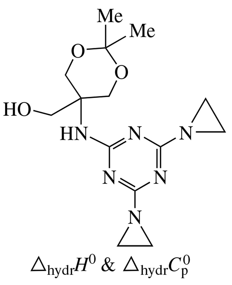
Thermochemical data on hydration of the well-established anticancer agent Dioxadet were obtained. Its enthalpies of solution and sublimation at various temperatures were determined calorimetrically, and on their basis the standard enthalpy (ΔhydrH0 = −154.6 ± 3.6 kJ mol−1) and the standard heat capacity (ΔhydrCp0 = 384 ± 80 J mol−1 K−1) of the transfer of the solute from the state of an ideal gas to an aqueous solution at infinite dilution at 298.15 K were calculated.

References

.
A New Angle on Heat Capacity Changes in Hydrophobic Solvation
Gallagher K.R., Sharp K.A.
Journal of the American Chemical Society, 2003
.
Determination of volatility of ionic liquids at the nanoscale by means of ultra-fast scanning calorimetry
Ahrenberg M., Brinckmann M., Schmelzer J.W., Beck M., Schmidt C., Keßler O., Kragl U., Verevkin S.P., Schick C.
Physical Chemistry Chemical Physics, 2014
.
Comparative efficacy evaluation of catheter intraperitoneal chemotherapy, normothermic and hyperthermic chemoperfusion in a rat model of ascitic ovarian cancer
Bespalov V.G., Alvovsky I.K., Tochilnikov G.V., Stukov A.N., Vyshinskaya E.A., Semenov A.L., Vasilyeva I.N., Belyaeva O.A., Kireeva G.S., Senchik K.Y., Zhilinskaya N.T., Von J.D., Krasilnikova L.A., Alexandrov V.A., Khromov-Borisov N.N., et. al.
International Journal of Hyperthermia, 2017
.
Morphological changes in the ovarian carcinoma cells of Wistar rats induced by chemotherapy with cisplatin and dioxadet
Zhikhoreva A.A., Belashov A.V., Bespalov V.G., Semenov A.L., Semenova I.V., Tochilnikov G.V., Zhilinskaya N.T., Vasyutinskii O.S.
Biomedical Optics Express, 2018
.
Thermodynamics of solution of l-tryptophan in water
Kustov A.V., Antonova O.A., Smirnova N.L.
Journal of Thermal Analysis and Calorimetry, 2017
.
Application of the Flash DSC 1 and 2+ for vapor pressure determination above solids and liquids
Buzyurov A.V., Nagrimanov R.N., Zaitsau D.H., Mukhametzyanov T.A., Abdelaziz A., Solomonov B.N., Schick C.
Thermochimica Acta, 2021
.
Heat of fusion of polymer crystals by fast scanning calorimetry
Cebe P., Thomas D., Merfeld J., Partlow B.P., Kaplan D.L., Alamo R.G., Wurm A., Zhuravlev E., Schick C.
Polymer, 2017
.
The energetics of solvation and ion-ion interactions in prospidium chloride aqueous solutions
Kustov A.V., Antonova O.A., Smirnova N.L., Kladiev A.A., Kladiev A.A., Kudayarova T.V., Gruzdev M.S., Berezin D.B.
Journal of Molecular Liquids, 2018
.
Kustov A.V., Kudayarova T.V., Antonova O.A., Smirnova N.L., Kladiev A.A., Kladiev A.A.
Mendeleev Communications, 2019
.
Thermodynamics of tetramethylurea solutions in ethylene glycol: The evidence of pairwise solvophobic interaction
Ivanov E.V., Kustov A.V., Batov D.V., Smirnova N.L., Pechnikova N.L.
Journal of Molecular Liquids, 2020
.
Bespalov V.G., Kireeva G.S., Belyaeva O.A., Senchik K.Y., Stukov A.N., Maydin M.A., Semenov A.L., Gafton G.I., Guseynov K.D., Belyaev A.M.
Journal of Chemotherapy, 2016
.
Vaporization enthalpies of benzanthrone, 1-nitropyrene, and 4-methoxy-1-naphthonitrile: Prediction and experiment
Bolmatenkov D.N., Yagofarov M.I., Valiakhmetov T.F., Rodionov N.O., Solomonov B.N.
Journal of Chemical Thermodynamics, 2022