Home / Publications / Visible light-driven decarboxylative alkylation of azomethine imines with carboxylic acids

Visible light-driven decarboxylative alkylation of azomethine imines with carboxylic acids

Zakhar Mikhailovich Rubanov 1
Zakhar Mikhailovich Rubanov
Mikhail Dmitrievich Kosobokov 1
Mikhail Dmitrievich Kosobokov
Vitalij Vladimirovich Levin 1
Vitalij Vladimirovich Levin
Published 2024-09-09
CommunicationVolume 34, Issue 5, 673-675
3
Share
Cite this
GOST
 | 
Cite this
GOST Copy
Rubanov Z. M. et al. Visible light-driven decarboxylative alkylation of azomethine imines with carboxylic acids // Mendeleev Communications. 2024. Vol. 34. No. 5. pp. 673-675.
GOST all authors (up to 50) Copy
Rubanov Z. M., Kosobokov M. D., Levin V. V., Dilman A. D. Visible light-driven decarboxylative alkylation of azomethine imines with carboxylic acids // Mendeleev Communications. 2024. Vol. 34. No. 5. pp. 673-675.
RIS
 | 
Cite this
RIS Copy
TY - JOUR
DO - 10.1016/j.mencom.2024.09.015
UR - https://mendcomm.colab.ws/publications/10.1016/j.mencom.2024.09.015
TI - Visible light-driven decarboxylative alkylation of azomethine imines with carboxylic acids
T2 - Mendeleev Communications
AU - Rubanov, Zakhar Mikhailovich
AU - Kosobokov, Mikhail Dmitrievich
AU - Levin, Vitalij Vladimirovich
AU - Dilman, Alexander Davidovich
PY - 2024
DA - 2024/09/09
PB - Mendeleev Communications
SP - 673-675
IS - 5
VL - 34
ER -
BibTex
 | 
Cite this
BibTex (up to 50 authors) Copy
@article{2024_Rubanov,
author = {Zakhar Mikhailovich Rubanov and Mikhail Dmitrievich Kosobokov and Vitalij Vladimirovich Levin and Alexander Davidovich Dilman},
title = {Visible light-driven decarboxylative alkylation of azomethine imines with carboxylic acids},
journal = {Mendeleev Communications},
year = {2024},
volume = {34},
publisher = {Mendeleev Communications},
month = {Sep},
url = {https://mendcomm.colab.ws/publications/10.1016/j.mencom.2024.09.015},
number = {5},
pages = {673--675},
doi = {10.1016/j.mencom.2024.09.015}
}
MLA
Cite this
MLA Copy
Rubanov, Zakhar Mikhailovich, et al. “Visible light-driven decarboxylative alkylation of azomethine imines with carboxylic acids.” Mendeleev Communications, vol. 34, no. 5, Sep. 2024, pp. 673-675. https://mendcomm.colab.ws/publications/10.1016/j.mencom.2024.09.015.

Keywords

acridine catalysis
azomethine imines
carboxylic acids
decatungstate
photocatalysis
pyrazolidin-3-ones.
radical reactions

Abstract

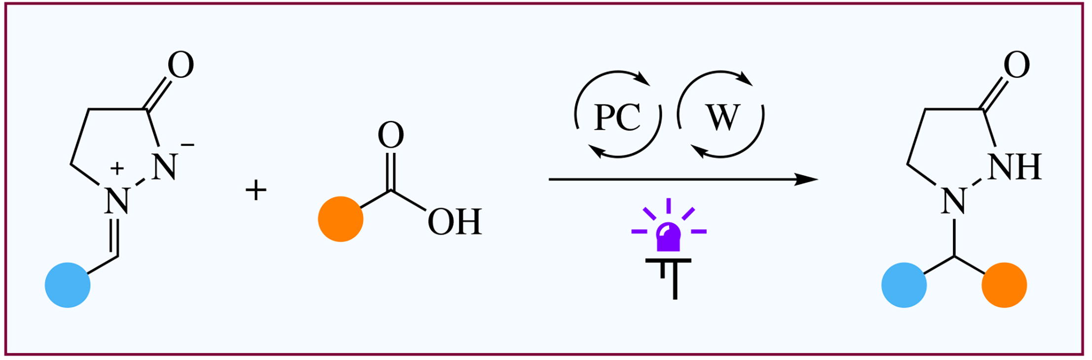
The alkylation of cyclic five-membered azomethine imines with carboxylic acids proceeds under irradiation with 400 nm light using a dual catalytic system consisting of 9-arylacridine and tetrabutylammonium decatungstate. Azomethine imines containing aromatic, heterocyclic and aliphatic groups are suitable for the process providing pyrazolidin-3-ones in 42-98% yields.

References

.
Visible light photocatalysis in the late-stage functionalization of pharmaceutically relevant compounds.
Cannalire R., Pelliccia S., Sancineto L., Novellino E., Tron G.C., Giustiniano M.
Chemical Society Reviews, 2021
.
Photocatalysis in the Life Science Industry.
Candish L., Collins K.D., Cook G.C., Douglas J.J., Gómez-Suárez A., Jolit A., Keess S.
Chemical Reviews, 2021
.
Advances in catalytic routes for the production of carboxylic acids from biomass: a step forward for sustainable polymers
Iglesias J., Martínez-Salazar I., Maireles-Torres P., Martin Alonso D., Mariscal R., López Granados M.
Chemical Society Reviews, 2020
.
Organic Photoredox Catalysis
Romero N.A., Nicewicz D.A.
Chemical Reviews, 2016
.
1,3-Dipolar cycloadditions of azomethine imines
Nájera C., Sansano J.M., Yus M.
Organic and Biomolecular Chemistry, 2015
.
Copper-Catalyzed Azomethine Imine–Alkyne Cycloadditions (CuAIAC)
Svete J., Grošelj U., Požgan F., Štefane B.
Synthesis, 2018
.
Medium chain carboxylic acids production from waste biomass: Current advances and perspectives.
Wu Q., Bao X., Guo W., Wang B., Li Y., Luo H., Wang H., Ren N.
Biotechnology Advances, 2019
.
Visible-Light-Induced Decarboxylative Functionalization of Carboxylic Acids and Their Derivatives.
.
Photocatalytic decarboxylative amidosulfonation enables direct transformation of carboxylic acids to sulfonamides
Nguyen V.T., Haug G.C., Nguyen V.D., Vuong N.T., Arman H.D., Larionov O.V.
Chemical Science, 2021
.
Acridine Photocatalysis: Insights into the Mechanism and Development of a Dual-Catalytic Direct Decarboxylative Conjugate Addition
Dang H.T., Haug G.C., Nguyen V.T., Vuong N.T., Nguyen V.D., Arman H.D., Larionov O.V.
ACS Catalysis, 2020
.
Energy transfer catalysis mediated by visible light: principles, applications, directions.
Strieth-Kalthoff F., James M.J., Teders M., Pitzer L., Glorius F.
Chemical Society Reviews, 2018
.
Visible‐Light‐Enabled Direct Decarboxylative N‐Alkylation
Nguyen V.T., Nguyen V.D., Haug G.C., Vuong N.T., Dang H.T., Arman H.D., Larionov O.V.
Angewandte Chemie - International Edition, 2020
.
Photochemical reaction of benzopyridines with alkanoic acids
Noyori R., Katô M., Kawanisi M., Nozaki H.
Tetrahedron, 1969
.
Carbamoylation of Azomethine Imines via Visible-Light Photoredox Catalysis
Matsuo B.T., Oliveira P.H., Correia J.T., Paixão M.W.
Organic Letters, 2021
.
Photocatalytic reductive radical–radical coupling of N,N′-cyclicazomethine imines with difluorobromo derivatives
Xia P., Ye Z., Song D., Ren J., Wu H., Xiao J., Xiang H., Chen X., Yang H.
Chemical Communications, 2019
.
An overview of the reactions involving azomethine imines over half a decade
Deepthi A., Thomas N.V., Sruthi S.L.
New Journal of Chemistry, 2021
.
Utilization of C(sp3)‐Carboxylic Acids and Their Redox‐Active Esters in Decarboxylative Carbon−Carbon Bond Formation
Karmakar S., Silamkoti A., Meanwell N.A., Mathur A., Gupta A.K.
Advanced Synthesis and Catalysis, 2021
.
Expedient Organocatalytic Syntheses of 4-Substituted Pyrazolidines and Isoxazolidines
Yousfi T., Elliott A., Hanane M., Merdes R., Moyano A.
Molecules, 2016
.
Kinetic Resolutions of Azomethine Imines via Copper-Catalyzed [3 + 2] Cycloadditions
Suárez A., Downey C.W., Fu G.C.
Journal of the American Chemical Society, 2005
.
Rhodium-Catalyzed Asymmetric Arylation of Azomethine Imines
Shintani R., Soh Y., Hayashi T.
Organic Letters, 2010
.
Phosphine-Catalyzed Annulations of Azomethine Imines: Allene-Dependent [3 + 2], [3 + 3], [4 + 3], and [3 + 2 + 3] Pathways
Na R., Jing C., Xu Q., Jiang H., Wu X., Shi J., Zhong J., Wang M., Benitez D., Tkatchouk E., Goddard W.A., Guo H., Kwon O.
Journal of the American Chemical Society, 2011
.
Natural Products Containing a Nitrogen–Nitrogen Bond
Blair L.M., Sperry J.
Journal of Natural Products, 2013
.
N-Heterocyclic Carbene-Catalyzed [3+4] Cycloaddition and Kinetic Resolution of Azomethine Imines
Wang M., Huang Z., Xu J., Chi Y.R.
Journal of the American Chemical Society, 2014
.
4-Nitropyrazolin-5-ones as Readily Available Fungicides of the Novel Structural Type for Crop Protection: Atom-Efficient Scalable Synthesis and Key Structural Features Responsible for Activity
Budnikov A.S., Lopat’eva E.R., Krylov I.B., Segida O.O., Lastovko A.V., Ilovaisky A.I., Nikishin G.I., Glinushkin A.P., Terent’ev A.O.
Journal of Agricultural and Food Chemistry, 2022
.
Preparation and Evaluation of Sterically Hindered Acridine Photocatalysts
Zhilyaev K.A., Lipilin D.L., Kosobokov M.D., Samigullina A.I., Dilman A.D.
Advanced Synthesis and Catalysis, 2022
.
Photocatalytic Direct Decarboxylation of Carboxylic Acids to Derivatize or Degrade Polymers
Adili A., Korpusik A.B., Seidel D., Sumerlin B.S.
Angewandte Chemie - International Edition, 2022
.
Functional group divergence and the structural basis of acridine photocatalysis revealed by direct decarboxysulfonylation
Nguyen V.T., Haug G.C., Nguyen V.D., Vuong N.T., Karki G.B., Arman H.D., Larionov O.V.
Chemical Science, 2022
.
Diastereoselective addition of redox active esters to azomethine imines by electrosynthesis
Leleu L., Martzel T., Fall A., Sanselme M., Levacher V., Oudeyer S., Brière J.
Chemical Communications, 2022
.
Asymmetric cyanation of imines via dipeptide-derived organophosphine dual-reagent catalysis
Wang H., Zheng C., Chai Z., Zhang J., Zhao G.
Nature Communications, 2016
.
Pyrazoline Containing Compounds as Therapeutic Targets for Neurodegenerative Disorders
Ahsan M.J., Ali A., Ali A., Thiriveedhi A., Bakht M.A., Yusuf M., Salahuddin, Afzal O., Altamimi A.S.
ACS Omega, 2022
.
Catalytic Enantioselective Trifluoromethylation of Azomethine Imines with Trimethyl(trifluoromethyl)silane
Kawai H., Kusuda A., Nakamura S., Shiro M., Shibata N.
Angewandte Chemie - International Edition, 2009
.
The Anti-inflammatory Drugs Phenylbutazone and Dipyrone in the Treatment of Field Cases of Bovine Mastitis
.
Synthesis of novel 1,2-diarylpyrazolidin-3-one–based compounds and their evaluation as broad spectrum antibacterial agents
Mokbel S.A., Fathalla R.K., El-Sharkawy L.Y., Abadi A.H., Engel M., Abdel-Halim M.
Bioorganic Chemistry, 2020
.
Chemical reactivity and uses of 1-phenyl-3-methyl-5-pyrazolone (PMP), also known as edaravone
Bailly C., Hecquet P., Kouach M., Thuru X., Goossens J.
Bioorganic and Medicinal Chemistry, 2020
.
Nonsteroidal anti-inflammatory drugs
Moses V.S., Bertone A.L.
Veterinary Clinics of North America. Equine Practice, 2002
.
Decarboxylative Triazolation Enables Direct Construction of Triazoles from Carboxylic Acids
Dang H.T., Nguyen V.D., Haug G.C., Arman H.D., Larionov O.V.
JACS Au, 2023
.
Synthesis of Non-anomeric C-Glycosyl Pyrazolidinones Derivatives via Visible-Light Photoredox Catalysis
Paixao M.W., Gonçalves R.O., Ramos de Oliveira P.H., Ludtke D., de Jesus I.S., Debia N.P.
Organic and Biomolecular Chemistry, 2023
.
Photocatalyc Hydrodecarboxylation of Fatty Acids for Drop‐In Biofuels Production
Leandro de Araujo J.G., Bezerra da Silva M.D., Celeste Viana Bento J.C., Medeiros de Azevêdo A., de Morais Araújo A.M., Dantas dos Anjos A.S., Martinez Huitle C.A., Vieira Dos Santos E., Gondim A.D., Cavalcanti L.
Chemistry - A European Journal, 2023
.
Photocatalytic Carboxylate to Sulfinamide Switching Delivers a Divergent Synthesis of Sulfonamides and Sulfonimidamides
Andrews J.A., Kalepu J., Palmer C.F., Poole D.L., Christensen K.E., Willis M.C.
Journal of the American Chemical Society, 2023
.
Organocatalytic Alkylation and Photoorganocatalyst-Free Acylation of Azomethine Imines by Hantzsch Esters under Blue LED Light
li J., Phetcharawetch J., Qi M., Kyne S.H., Kuhakarn C., Zhong B., Chan P.W.
New Journal of Chemistry, 2023
.
Cobalt-Catalyzed Carbon–Heteroatom Transfer Enables Regioselective Tricomponent 1,4-Carboamination
Zhuang K., Haug G.C., Wang Y., Yin S., Sun H., Huang S., Trevino R., Shen K., Sun Y., Huang C., Qin B., Liu Y., Cheng M., Larionov O.V., Jin S., et. al.
Journal of the American Chemical Society, 2024
.
Recent advances of decatungstate photocatalyst in HAT process
Singh P.P., Sinha S., Gahtori P., Tivari S., Srivastava V.
Organic and Biomolecular Chemistry, 2024