Home / Publications / Unexpected transamination between 2-aminoazoles and N-iodoacetyl azoles

Unexpected transamination between 2-aminoazoles and N-iodoacetyl azoles

Nina Olegovna Yarosh 1
Nina Olegovna Yarosh
Ivan Aphanas'evich Dorofeev 1
Ivan Aphanas'evich Dorofeev
Larisa Vladimirovna Zhilitskaya 1
Larisa Vladimirovna Zhilitskaya
Bagrat Armenovich Shainyan 1
Bagrat Armenovich Shainyan
Published 2024-02-19
CommunicationVolume 34, Issue 2, 279-281
0
Share
Cite this
GOST
 | 
Cite this
GOST Copy
Yarosh N. O. et al. Unexpected transamination between 2-aminoazoles and N-iodoacetyl azoles // Mendeleev Communications. 2024. Vol. 34. No. 2. pp. 279-281.
GOST all authors (up to 50) Copy
Yarosh N. O., Dorofeev I. A., Zhilitskaya L. V., Shainyan B. A. Unexpected transamination between 2-aminoazoles and N-iodoacetyl azoles // Mendeleev Communications. 2024. Vol. 34. No. 2. pp. 279-281.
RIS
 | 
Cite this
RIS Copy
TY - JOUR
DO - 10.1016/j.mencom.2024.02.039
UR - https://mendcomm.colab.ws/publications/10.1016/j.mencom.2024.02.039
TI - Unexpected transamination between 2-aminoazoles and N-iodoacetyl azoles
T2 - Mendeleev Communications
AU - Yarosh, Nina Olegovna
AU - Dorofeev, Ivan Aphanas'evich
AU - Zhilitskaya, Larisa Vladimirovna
AU - Shainyan, Bagrat Armenovich
PY - 2024
DA - 2024/02/19
PB - Mendeleev Communications
SP - 279-281
IS - 2
VL - 34
ER -
BibTex
 | 
Cite this
BibTex (up to 50 authors) Copy
@article{2024_Yarosh,
author = {Nina Olegovna Yarosh and Ivan Aphanas'evich Dorofeev and Larisa Vladimirovna Zhilitskaya and Bagrat Armenovich Shainyan},
title = {Unexpected transamination between 2-aminoazoles and N-iodoacetyl azoles},
journal = {Mendeleev Communications},
year = {2024},
volume = {34},
publisher = {Mendeleev Communications},
month = {Feb},
url = {https://mendcomm.colab.ws/publications/10.1016/j.mencom.2024.02.039},
number = {2},
pages = {279--281},
doi = {10.1016/j.mencom.2024.02.039}
}
MLA
Cite this
MLA Copy
Yarosh, Nina Olegovna, et al. “Unexpected transamination between 2-aminoazoles and N-iodoacetyl azoles.” Mendeleev Communications, vol. 34, no. 2, Feb. 2024, pp. 279-281. https://mendcomm.colab.ws/publications/10.1016/j.mencom.2024.02.039.

Keywords

2-a]benzimidazol-9-ium salts
aminoazoles
Cyclization
imidazo[1
iodoacetyl azoles
quantum chemical calculations.
transamination

Abstract

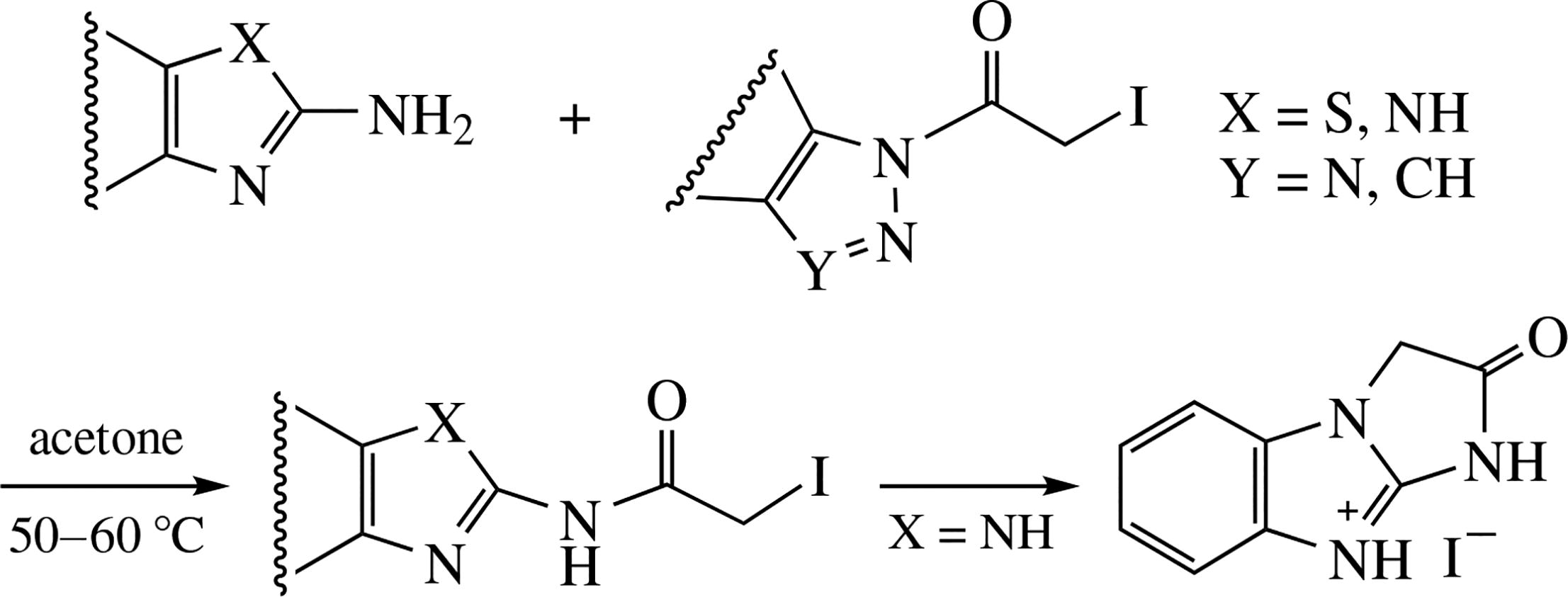
N-Iodoacetyl-substituted azoles undergo transfer of iodoacetyl group from heterocyclic N atom toward the amino group of amino azoles, unlike the earlier investigated iodomethyl ketones. The proposed mechanism explaining the observed difference in such transamination is confirmed by calculations. The product derived from 2-aminobenzimidazole is cyclized into fused imidazo[1,2-α]benzimidazol- 9-ium salt.

References

.
Benzotriazole-Mediated Synthesis of Aza-peptides: En Route to an Aza-Leuenkephalin Analogue
Abo-Dya N.E., Biswas S., Basak A., Avan I., Alamry K.A., Katritzky A.R.
Journal of Organic Chemistry, 2013
.
Synthesis of novel derivatives of 7,8-dihydro-6H -imidazo[2,1-b ][1,3]benzothiazol-5-one and their virus-inhibiting activity against influenza A virus
Galochkina A.V., Bollikanda R.K., Zarubaev V.V., Tentler D.G., Lavrenteva I.N., Slita A.V., Chirra N., Kantevari S.
Archiv der Pharmazie, 2018
.
Synthesis of new 1,3-thiazol derivatives of maleopimaric acid as anticancer, antibacterial and antifungal agents
Sultanova R.M., Lobov A.N., Shumadalova A.V., Meshcheryakova S.A., Zileeva Z.R., Khusnutdinova N.S., Vakhitov V.A., Vakhitova Y.V.
Natural Product Research, 2019
.
Reaction of Imidazoles and Triazoles with 1-(Benzotriazol-1-yl)-2-iodoethanone
Zhilitskaya L.V., Shagun L.G., Dorofeev I.A., Yarosh N.O., Larina L.I.
Russian Journal of Organic Chemistry, 2018
.
Design, synthesis and biological evaluation of 1,2,3-triazole based 2-aminobenzimidazoles as novel inhibitors of LasR dependent quorum sensing in Pseudomonas aeruginosa
Srinivasarao S., Nandikolla A., Nizalapur S., Yu T.T., Pulya S., Ghosh B., Murugesan S., Kumar N., Chandra Sekhar K.V.
RSC Advances, 2019
.
Design and synthesis of benzothiazole-6-sulfonamides acting as highly potent inhibitors of carbonic anhydrase isoforms I, II, IX and XII
Ibrahim D.A., Lasheen D.S., Zaky M.Y., Ibrahim A.W., Vullo D., Ceruso M., Supuran C.T., Abou El Ella D.A.
Bioorganic and Medicinal Chemistry, 2015
.
Design, synthesis, and AChE inhibitory activity of new benzothiazole–piperazines
Demir Özkay Ü., Can Ö.D., Sağlık B.N., Acar Çevik U., Levent S., Özkay Y., Ilgın S., Atlı Ö.
Bioorganic and Medicinal Chemistry Letters, 2016
.
Evaluation of imidazo[2,1–b]thiazole-based anticancer agents in one decade (2011–2020): Current status and future prospects
Sbenati R.M., Semreen M.H., Semreen A.M., Shehata M.K., Alsaghir F.M., El-Gamal M.I.
Bioorganic and Medicinal Chemistry, 2021
.
Synthesis and Biological Activity of Some Aminothiazole Derivatives as Antileishmanial Agents
Rezaei Z., Sarkari B., Khabnadideh S., Farjami M., Mehrjou M., Yazdi A., Riazimontazer E., Fararouei M.
Anti-Infective Agents, 2019
.
2-Amino-1,3-benzothiazole: Endo N-Alkylation with α-Iodo Methyl Ketones Followed by Cyclization
.
Discovery of novel potent human chondrosarcoma (SW1353) inhibitors: 4-(2/3/4-pyridyl)thiazole 2-acetamide derivatives
Coşkun G.P., Sahin Z., Erdoğan Ö., Çevik Ö., Biltekin S.N., Yurttas L., Berk B., Ülgen M., Demirayak Ş.
Journal of Molecular Structure, 2023