Home / Publications / Reactions of 1-amino-2-nitroguanidine with 3-nitroacrylates

Reactions of 1-amino-2-nitroguanidine with 3-nitroacrylates

Olga Yur'evna Ozerova 1
Olga Yur'evna Ozerova
Tatiana Petrovna Efimova 1
Tatiana Petrovna Efimova
Tamara Aleksandrovna Novikova 1
Tamara Aleksandrovna Novikova
Igor Anatol'evich Litvinov 2
Igor Anatol'evich Litvinov
Sergey Valentinovich Makarenko 1
Sergey Valentinovich Makarenko
1 Herzen State Pedagogical University of Russia, St. Petersburg, Russian Federation
2 A.E. Arbuzov Institute of Organic and Physical Chemistry, FRC Kazan Scientific Center of the Russian Academy of Sciences, Kazan, Russian Federation
Published 2024-02-19
CommunicationVolume 34, Issue 2, 265-267
1
Share
Cite this
GOST
 | 
Cite this
GOST Copy
Ozerova O. Y. et al. Reactions of 1-amino-2-nitroguanidine with 3-nitroacrylates // Mendeleev Communications. 2024. Vol. 34. No. 2. pp. 265-267.
GOST all authors (up to 50) Copy
Ozerova O. Y., Efimova T. P., Novikova T. A., Litvinov I. A., Makarenko S. V. Reactions of 1-amino-2-nitroguanidine with 3-nitroacrylates // Mendeleev Communications. 2024. Vol. 34. No. 2. pp. 265-267.
RIS
 | 
Cite this
RIS Copy
TY - JOUR
DO - 10.1016/j.mencom.2024.02.033
UR - https://mendcomm.colab.ws/publications/10.1016/j.mencom.2024.02.033
TI - Reactions of 1-amino-2-nitroguanidine with 3-nitroacrylates
T2 - Mendeleev Communications
AU - Ozerova, Olga Yur'evna
AU - Efimova, Tatiana Petrovna
AU - Novikova, Tamara Aleksandrovna
AU - Litvinov, Igor Anatol'evich
AU - Makarenko, Sergey Valentinovich
PY - 2024
DA - 2024/02/19
PB - Mendeleev Communications
SP - 265-267
IS - 2
VL - 34
ER -
BibTex
 | 
Cite this
BibTex (up to 50 authors) Copy
@article{2024_Ozerova,
author = {Olga Yur'evna Ozerova and Tatiana Petrovna Efimova and Tamara Aleksandrovna Novikova and Igor Anatol'evich Litvinov and Sergey Valentinovich Makarenko},
title = {Reactions of 1-amino-2-nitroguanidine with 3-nitroacrylates},
journal = {Mendeleev Communications},
year = {2024},
volume = {34},
publisher = {Mendeleev Communications},
month = {Feb},
url = {https://mendcomm.colab.ws/publications/10.1016/j.mencom.2024.02.033},
number = {2},
pages = {265--267},
doi = {10.1016/j.mencom.2024.02.033}
}
MLA
Cite this
MLA Copy
Ozerova, Olga Yur'evna, et al. “Reactions of 1-amino-2-nitroguanidine with 3-nitroacrylates.” Mendeleev Communications, vol. 34, no. 2, Feb. 2024, pp. 265-267. https://mendcomm.colab.ws/publications/10.1016/j.mencom.2024.02.033.

Keywords

aminonitroguanidine
aza-Michael adduct.
hydrazone
nitroacrylate
nitroguanidine
nucleophilic addition
pyruvates

Abstract

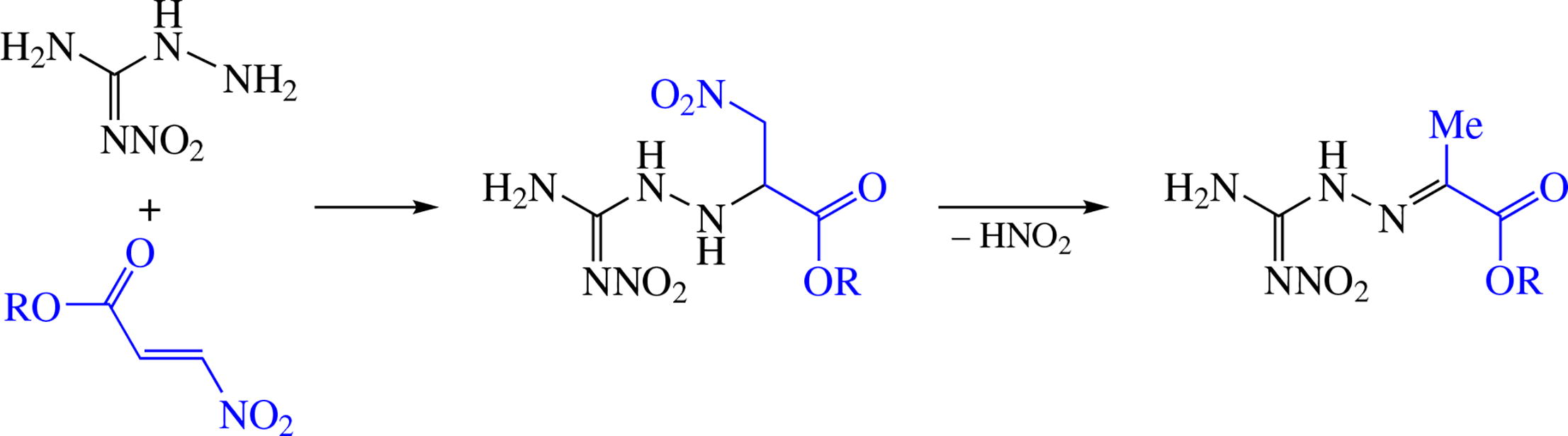
The reactions of 1-amino-2-nitroguanidine with 3-nitro- acrylates afford aza-Michael adducts. The latter when refluxed in an aqueous alkaline medium undergo elimination of nitrous acid followed by shift of the resulting C=C bond into C=N position giving finally N-substituted alkylpyruvate hydrazones. These compounds can also be prepared in a one-pot procedure; NMR spectroscopy and X-ray diffraction analysis confirmed the existence of the obtained hydrazones as E-isomers.

References

.
SHELXT– Integrated space-group and crystal-structure determination
Sheldrick G.M.
Acta Crystallographica Section A: Foundations and Advances, 2015
.
WinGXandORTEP for Windows: an update
Farrugia L.J.
Journal of Applied Crystallography, 2012
.
Mercury: visualization and analysis of crystal structures
Macrae C.F., Edgington P.R., McCabe P., Pidcock E., Shields G.P., Taylor R., Towler M., van de Streek J.
Journal of Applied Crystallography, 2006
.
Alkyl 3-Nitroacrylates in Reactions with Substituted Hydrazines
Pelipko V.V., Adyukov I.S., Baichurin R.I., Makarenko S.V.
Russian Journal of General Chemistry, 2022
.
Pelipko V.V., Pilipenko I.A., Gomonov K.A., Baichurin R.I., Lyssenko K.A., Makarenko S.V.
Mendeleev Communications, 2023
.
Novel Aminoguanidine Hydrazone Analogues: From Potential Antimicrobial Agents to Potent Cholinesterase Inhibitors
Krátký M., Štěpánková Š., Konečná K., Svrčková K., Maixnerová J., Švarcová M., Janďourek O., Trejtnar F., Vinšová J.
Pharmaceuticals, 2021
.
Alkyl 3-nitroacrylates: Synthesis and reactions with cyclohexane-1,3-diones and Meldrum’s acid
Pelipko V.V., Makarenko S.V., Baichurin R.I., Berestovitskaya V.M., Kovalenko K.S.
Russian Journal of Organic Chemistry, 2017
.
Preparation of Nitroaminoguanidine
Henry R.A., Makosky R.C., Smith G.B.
Journal of the American Chemical Society, 1951
.
Spectrometric Identification of Organic Compounds.
Rodig O.R.
Journal of Medicinal Chemistry, 1963
.
1-Amino-2-nitroguanidine in reactions with α-ketocarboxylic acids
Ozerova O.Y., Efimova T.P., Novikova T.A.
Chemistry of Heterocyclic Compounds, 2020
.
Anis’kov A.A., Sazonov A.A., Klochkova I.N.
Mendeleev Communications, 2009