Home / Publications / Synthesis of spiro[chromane-2,4'-pyrimidines] by condensation of 6-styryldihydropyrimidin-2-ones with resorcinols

Synthesis of spiro[chromane-2,4'-pyrimidines] by condensation of 6-styryldihydropyrimidin-2-ones with resorcinols

Alena Sergeevna Karandeeva 1
Alena Sergeevna Karandeeva
Anastasia Mikhaylovna Uryadova 1
Anastasia Mikhaylovna Uryadova
Elena Sergeevna Makarova 1
Elena Sergeevna Makarova
Mariya Valer'evna Kabanova 1
Mariya Valer'evna Kabanova
S I Filimonov 1
S I Filimonov
Zhanna Vyacheslavovna Chirkova
Kirill Yu Suponitsky 2, 3
Kirill Yu Suponitsky
1 Department of Organic Chemistry, Yaroslavl State Technical University, Yaroslavl, Russian Federation
2 A.N. Nesmeyanov Institute of Organoelement Compounds of Russian Academy of Sciences, Moscow, Russian Federation
3 G.V. Plekhanov Russian University of Economics, Moscow, Russian Federation
Published 2023-10-18
CommunicationVolume 33, Issue 6, 779-781
2
Share
Cite this
GOST
 | 
Cite this
GOST Copy
Karandeeva A. S. et al. Synthesis of spiro[chromane-2,4'-pyrimidines] by condensation of 6-styryldihydropyrimidin-2-ones with resorcinols // Mendeleev Communications. 2023. Vol. 33. No. 6. pp. 779-781.
GOST all authors (up to 50) Copy
Karandeeva A. S., Uryadova A. M., Makarova E. S., Kabanova M. V., Filimonov S. I., Chirkova Z. V., Suponitsky K. Yu. Synthesis of spiro[chromane-2,4'-pyrimidines] by condensation of 6-styryldihydropyrimidin-2-ones with resorcinols // Mendeleev Communications. 2023. Vol. 33. No. 6. pp. 779-781.
RIS
 | 
Cite this
RIS Copy
TY - JOUR
DO - 10.1016/j.mencom.2023.10.013
UR - https://mendcomm.colab.ws/publications/10.1016/j.mencom.2023.10.013
TI - Synthesis of spiro[chromane-2,4'-pyrimidines] by condensation of 6-styryldihydropyrimidin-2-ones with resorcinols
T2 - Mendeleev Communications
AU - Karandeeva, Alena Sergeevna
AU - Uryadova, Anastasia Mikhaylovna
AU - Makarova, Elena Sergeevna
AU - Kabanova, Mariya Valer'evna
AU - Filimonov, S I
AU - Chirkova, Zhanna Vyacheslavovna
AU - Suponitsky, Kirill Yu
PY - 2023
DA - 2023/10/18
PB - Mendeleev Communications
SP - 779-781
IS - 6
VL - 33
ER -
BibTex
 | 
Cite this
BibTex (up to 50 authors) Copy
@article{2023_Karandeeva,
author = {Alena Sergeevna Karandeeva and Anastasia Mikhaylovna Uryadova and Elena Sergeevna Makarova and Mariya Valer'evna Kabanova and S I Filimonov and Zhanna Vyacheslavovna Chirkova and Kirill Yu Suponitsky},
title = {Synthesis of spiro[chromane-2,4'-pyrimidines] by condensation of 6-styryldihydropyrimidin-2-ones with resorcinols},
journal = {Mendeleev Communications},
year = {2023},
volume = {33},
publisher = {Mendeleev Communications},
month = {Oct},
url = {https://mendcomm.colab.ws/publications/10.1016/j.mencom.2023.10.013},
number = {6},
pages = {779--781},
doi = {10.1016/j.mencom.2023.10.013}
}
MLA
Cite this
MLA Copy
Karandeeva, Alena Sergeevna, et al. “Synthesis of spiro[chromane-2,4'-pyrimidines] by condensation of 6-styryldihydropyrimidin-2-ones with resorcinols.” Mendeleev Communications, vol. 33, no. 6, Oct. 2023, pp. 779-781. https://mendcomm.colab.ws/publications/10.1016/j.mencom.2023.10.013.

Keywords

2-methylresorcinol
4'-pyrimidines.
6-styryl-4-aryldihydropyrimidin-2-ones
acid catalysis
resorcinol
substituted spirochromane-2

Abstract

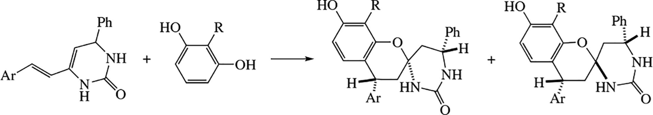
Substituted spiro[chromane-2,4'-pyrimidines] were obtained by the acid-catalyzed reaction between 4-aryl-6-styryl-3,4-dihydropyrimidin-2(1H)-ones and resorcinols. The structure of the resulting diastereomeric 4,6'-diaryl-7-hydroxy-5',6'-dihydro-1'H-spiro[chromane-2,4'-pyrimidin]-2'(3'H)-ones has been determined by 2D spectroscopy and single-crystal X-ray diffraction analysis

References

.
Anticancer potential of spirocompounds in medicinal chemistry: A pentennial expedition.
Bora D., Kaushal A., Shankaraiah N.
European Journal of Medicinal Chemistry, 2021
.
Synthesis and pharmacological characterization of mitochondrial KATP channel openers with enhanced mitochondriotropic effects
Testai L., Sestito S., Martelli A., Gorica E., Flori L., Calderone V., Rapposelli S.
Bioorganic Chemistry, 2021
.
Discovery of 7-Tetrahydropyran-2-yl Chromans: β-Site Amyloid Precursor Protein Cleaving Enzyme 1 (BACE1) Inhibitors That Reduce Amyloid β-Protein (Aβ) in the Central Nervous System
Thomas A.A., Hunt K.W., Volgraf M., Watts R.J., Liu X., Vigers G., Smith D., Sammond D., Tang T.P., Rhodes S.P., Metcalf A.T., Brown K.D., Otten J.N., Burkard M., Cox A.A., et. al.
Journal of Medicinal Chemistry, 2014
.
Enantioselective Organocatalytic Construction of Spirochroman Derivatives
Yoshida K., Inoue H., Oji Y., Suzuki H., Takao K.
Journal of Organic Chemistry, 2020
.
Synthesis of 3, 4‐dihydropyrimidin ‐2(  1 H  )‐one via Retro‐Biginelli reaction
.
Synthesis of substituted octahydrochromeno[3,2-i]quinazoline-2(1H)-thiones
Filimonov S.I., Filimonova S.A., Shashkov A.S., Firgang S.I., Stashina G.A.
Russian Chemical Bulletin, 2005
.
�ber Dihydro-2(1H)-pyrimidinthione
Zigeuner G., Frank A., Dujmovits H., Adam W.
Monatshefte fur Chemie, 1970
.
Design, synthesis and anticancer evaluation of novel spirobenzo[h]chromene and spirochromane derivatives with dual EGFR and B-RAF inhibitory activities
Abdelatef S.A., El-Saadi M.T., Amin N.H., Abdelazeem A.H., Omar H.A., Abdellatif K.R.
European Journal of Medicinal Chemistry, 2018
.
Spirocyclic sulfonamides with carbonic anhydrase inhibitory and anti-neuropathic pain activity
Kalisha Vali Y., Gundla R., Singh O.V., Tamboli Y., Di Cesare Manelli L., Ghelardini C., Al-Tamimi A.S., Carta F., Angeli A., Supuran C.T.
Bioorganic Chemistry, 2019
.
Synthesis of novel spirobibenzopyrans as potent anticancer leads inducing apoptosis in HeLa cells
Kar S., Ramamoorthy G., Mitra K., Shivalingegowda N., Mahesha, Mavileti S.K., Neratur Krishnappagowda L., Doble M., Golakoti N.R.
Bioorganic and Medicinal Chemistry Letters, 2020
.
A brief overview on recent advances in spiro[chromane-2,4′-piperidine]-4(3H)-one-functionalized compounds in medicinal chemistry research
Ghatpande N.G., Jadhav J.S., Kaproormath R.V., Soliman M.E., Shaikh M.M.
Bioorganic and Medicinal Chemistry, 2020
.
On water synthesis of the novel 2-oxo-1,2,3,4-tetrahydropyrimidines
Milović E., Janković N., Bogdanović G.A., Petronijević J., Joksimović N.
Tetrahedron, 2021
.
Filimonov S.I., Savinsky N.G., Evstigneeva E.M.
Mendeleev Communications, 2003
.
Recent Progress on Synthesis of Spirochromanone and Spirochromane Derivatives
V. B. Unnamatla M., Chakroborty S., Panda P., C. Ramírez-Loṕez S., A. Garcia Eleno M., C. Yañez E., Strekowski L.
Heterocycles, 2022