Home / Publications / Synthesis of a new apiol-derived cyclotriveratrylene analog

Synthesis of a new apiol-derived cyclotriveratrylene analog

Alexander Viktorovich Samet 1
Alexander Viktorovich Samet
Dmitry Vadimovich Tsyganov 1
Dmitry Vadimovich Tsyganov
Victor Petrovich Kislyi 1
Victor Petrovich Kislyi
Victor Vladimirovich Semenov 1
Victor Vladimirovich Semenov
Published 2023-10-18
CommunicationVolume 33, Issue 6, 774-775
2
Share
Cite this
GOST
 | 
Cite this
GOST Copy
Samet A. V. et al. Synthesis of a new apiol-derived cyclotriveratrylene analog // Mendeleev Communications. 2023. Vol. 33. No. 6. pp. 774-775.
GOST all authors (up to 50) Copy
Samet A. V., Tsyganov D. V., Kislyi V. P., Tujarov E. I., Semenov V. V. Synthesis of a new apiol-derived cyclotriveratrylene analog // Mendeleev Communications. 2023. Vol. 33. No. 6. pp. 774-775.
RIS
 | 
Cite this
RIS Copy
TY - JOUR
DO - 10.1016/j.mencom.2023.10.011
UR - https://mendcomm.colab.ws/publications/10.1016/j.mencom.2023.10.011
TI - Synthesis of a new apiol-derived cyclotriveratrylene analog
T2 - Mendeleev Communications
AU - Samet, Alexander Viktorovich
AU - Tsyganov, Dmitry Vadimovich
AU - Kislyi, Victor Petrovich
AU - Tujarov, Egor Igorevich
AU - Semenov, Victor Vladimirovich
PY - 2023
DA - 2023/10/18
PB - Mendeleev Communications
SP - 774-775
IS - 6
VL - 33
ER -
BibTex
 | 
Cite this
BibTex (up to 50 authors) Copy
@article{2023_Samet,
author = {Alexander Viktorovich Samet and Dmitry Vadimovich Tsyganov and Victor Petrovich Kislyi and Egor Igorevich Tujarov and Victor Vladimirovich Semenov},
title = {Synthesis of a new apiol-derived cyclotriveratrylene analog},
journal = {Mendeleev Communications},
year = {2023},
volume = {33},
publisher = {Mendeleev Communications},
month = {Oct},
url = {https://mendcomm.colab.ws/publications/10.1016/j.mencom.2023.10.011},
number = {6},
pages = {774--775},
doi = {10.1016/j.mencom.2023.10.011}
}
MLA
Cite this
MLA Copy
Samet, Alexander Viktorovich, et al. “Synthesis of a new apiol-derived cyclotriveratrylene analog.” Mendeleev Communications, vol. 33, no. 6, Oct. 2023, pp. 774-775. https://mendcomm.colab.ws/publications/10.1016/j.mencom.2023.10.011.

Keywords

2,5-dimethoxy-3,4-(methylenedioxy)benzyl alcohol
apiol
cyclotriveratrylene
molecular hosts
tribenzo[a,d,g][9]annulenes
trimerization

Abstract

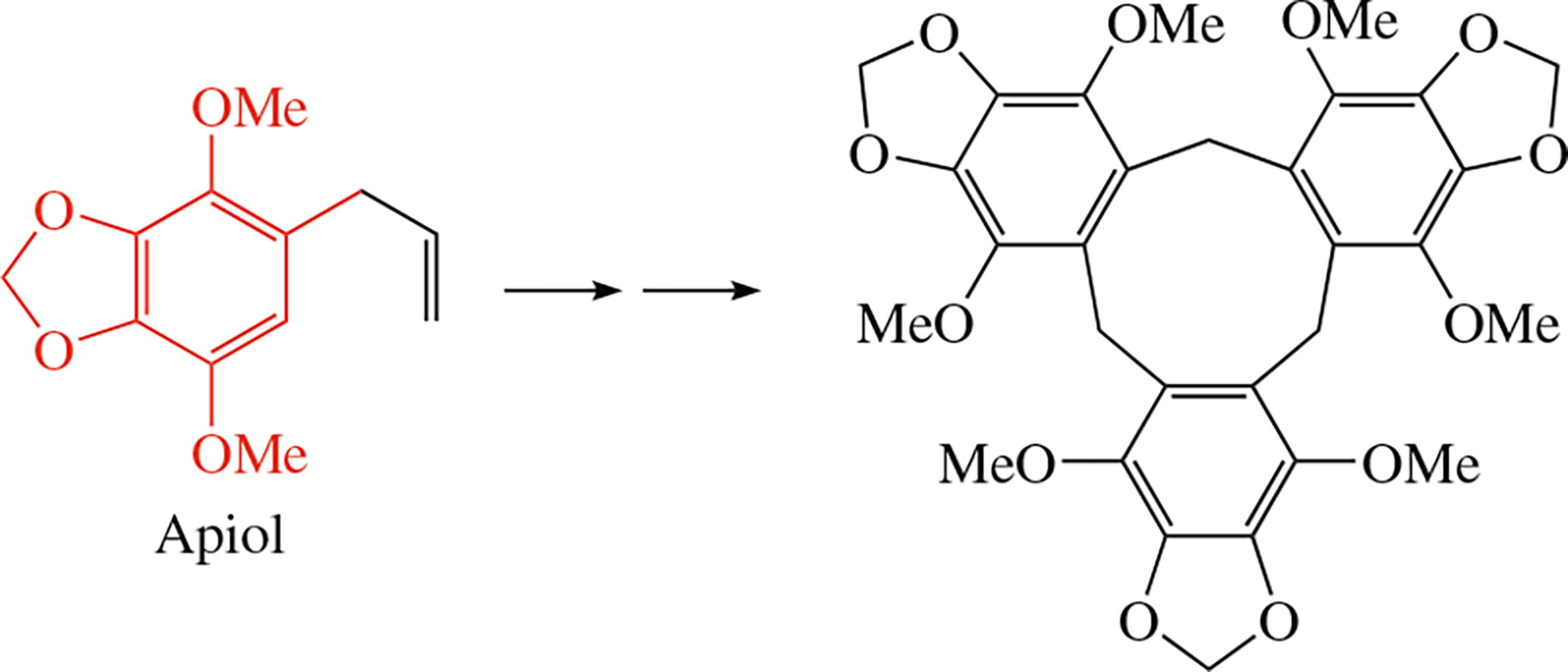
1,4,6,9,11,14-Hexamethoxy-2,3,7,8,12,13-tris(methylene-dioxy)-10,15-dihydro-5H-tribenzo[a,d,g][9] annulene, a new representative of a cyclotriveratrylene family, was prepared in high yield by acid-catalyzed trimerization of 2,5-di-methoxy-3,4-(methylenedioxy)benzyl alcohol. Structure of the product was confirmed by X-ray diffraction.

References

1.
OLEX2: a complete structure solution, refinement and analysis program
Dolomanov O.V., Bourhis L.J., Gildea R.J., Howard J.A., Puschmann H.
Journal of Applied Crystallography, 2009
2.
Synthesis of Antimitotic Polyalkoxyphenyl Derivatives of Combretastatin Using Plant Allylpolyalkoxybenzenes
Semenov V.V., Kiselyov A.S., Titov I.Y., Sagamanova I.K., Ikizalp N.N., Chernysheva N.B., Tsyganov D.V., Konyushkin L.D., Firgang S.I., Semenov R.V., Karmanova I.B., Raihstat M.M., Semenova M.N.
Journal of Natural Products, 2010
3.
Cryptophanes and their complexes--present and future.
Brotin T., Dutasta J.
Chemical Reviews, 2008
4.
Recent advances in the chemistry of cyclotriveratrylene.
5.
The saddle form of cyclotriveratrylene
Zimmermann H., Tolstoy P., Limbach H., Poupko R., Luz Z.
Journal of Physical Chemistry B, 2004
7.
Erdtman H., Haglid F., Ryhage R., Ryhage R., Stevens R.
Acta Chemica Scandinavica, 1964
9.
Antioxidant Activity of Natural Allylpolyalkoxybenzene Plant Essential Oil Constituents
Samet A.V., Shevchenko O.G., Rusak V.V., Chartov E.M., Myshlyavtsev A.B., Rusanov D.A., Semenova M.N., Semenov V.V.
Journal of Natural Products, 2019
10.
A CTV Analogue: Arene-Persubstituted Cyclotrixylohydroquinoylene and Its Derivatives
Jiao J., Sun B., Ding Y., Zheng H., Zhao Y., Jiang J., Lin C., Wang L.
Organic Letters, 2020
11.
Synthesis and Antiproliferative Activity of Triphenylphosphonium Derivatives of Natural Allylpolyalkoxybenzenes
Tsyganov D.V., Samet A.V., Silyanova E.A., Ushkarov V.I., Varakutin A.E., Chernysheva N.B., Chuprov-Netochin R.N., Khomutov A.A., Volkova A.S., Leonov S.V., Semenova M.N., Semenov V.V.
ACS Omega, 2022
16.
Silyanova E.A., Ushkarov V.I., Samet A.V., Maksimenko A.S., Koblov I.A., Kislyi V.P., Semenova M.N., Semenov V.V.
Mendeleev Communications, 2022
17.
Synthesis and pharmacological evaluation of substituted naphth[1,2,3- de ]isoquinolines (dinapsoline analogues) as D 1 and D 2 dopamine receptor ligands
Qandil A.M., Lewis M.M., Jassen A., Leonard S.K., Mailman R.B., Nichols D.E.
Bioorganic and Medicinal Chemistry, 2003
18.
Cyclotriveratrylene (CTV): Rise of an untapped supramolecular prodigy providing a new generation of sensors
Patel N., Modi K., Bhatt K., Mohan B., Parikh J., Liska A., Ludvik J., Patel C., Jain V.K., Mishra D.
Journal of Molecular Structure, 2023
19.
Tsyganov D.V., Demchuk D.V., Adaeva O.I., Konyushkin L.D., Minyaev M.E., Khrustalev V.N., Semenov V.V.
Mendeleev Communications, 2023