Home / Publications / Semicarbazones of alkyl 3-nitropyruvates: Synthesis and structural features

Semicarbazones of alkyl 3-nitropyruvates: Synthesis and structural features

Vasilii Vasil'evich Pelipko 1
Vasilii Vasil'evich Pelipko
Ilya Aleksandrovich Pilipenko 1
Ilya Aleksandrovich Pilipenko
Kirill Aleksandrovich Gomonov 1
Kirill Aleksandrovich Gomonov
Ruslan Izmailovich Baichurin 1
Ruslan Izmailovich Baichurin
Konstantin Alexandrovich Lyssenko
Sergey Valentinovich Makarenko 1
Sergey Valentinovich Makarenko
1 Herzen State Pedagogical University of Russia, St. Petersburg, Russian Federation
2 Department of Chemistry, M.V. Lomonosov Moscow State University, Moscow, Russian Federation
Published 2023-09-01
CommunicationVolume 33, Issue 5, 723-725
3
Share
Cite this
GOST
 | 
Cite this
GOST Copy
Pelipko V. V. et al. Semicarbazones of alkyl 3-nitropyruvates: Synthesis and structural features // Mendeleev Communications. 2023. Vol. 33. No. 5. pp. 723-725.
GOST all authors (up to 50) Copy
Pelipko V. V., Pilipenko I. A., Gomonov K. A., Baichurin R. I., Lyssenko K. A., Makarenko S. V. Semicarbazones of alkyl 3-nitropyruvates: Synthesis and structural features // Mendeleev Communications. 2023. Vol. 33. No. 5. pp. 723-725.
RIS
 | 
Cite this
RIS Copy
TY - JOUR
DO - 10.1016/j.mencom.2023.09.042
UR - https://mendcomm.colab.ws/publications/10.1016/j.mencom.2023.09.042
TI - Semicarbazones of alkyl 3-nitropyruvates: Synthesis and structural features
T2 - Mendeleev Communications
AU - Pelipko, Vasilii Vasil'evich
AU - Pilipenko, Ilya Aleksandrovich
AU - Gomonov, Kirill Aleksandrovich
AU - Baichurin, Ruslan Izmailovich
AU - Lyssenko, Konstantin Alexandrovich
AU - Makarenko, Sergey Valentinovich
PY - 2023
DA - 2023/09/01
PB - Mendeleev Communications
SP - 723-725
IS - 5
VL - 33
ER -
BibTex
 | 
Cite this
BibTex (up to 50 authors) Copy
@article{2023_Pelipko,
author = {Vasilii Vasil'evich Pelipko and Ilya Aleksandrovich Pilipenko and Kirill Aleksandrovich Gomonov and Ruslan Izmailovich Baichurin and Konstantin Alexandrovich Lyssenko and Sergey Valentinovich Makarenko},
title = {Semicarbazones of alkyl 3-nitropyruvates: Synthesis and structural features},
journal = {Mendeleev Communications},
year = {2023},
volume = {33},
publisher = {Mendeleev Communications},
month = {Sep},
url = {https://mendcomm.colab.ws/publications/10.1016/j.mencom.2023.09.042},
number = {5},
pages = {723--725},
doi = {10.1016/j.mencom.2023.09.042}
}
MLA
Cite this
MLA Copy
Pelipko, Vasilii Vasil'evich, et al. “Semicarbazones of alkyl 3-nitropyruvates: Synthesis and structural features.” Mendeleev Communications, vol. 33, no. 5, Sep. 2023, pp. 723-725. https://mendcomm.colab.ws/publications/10.1016/j.mencom.2023.09.042.

Keywords

aza-Michael adduct
elimination
nitroacrylates
nitropyruvates.
nucleophilic addition
semicarbazides
semicarbazones

Abstract

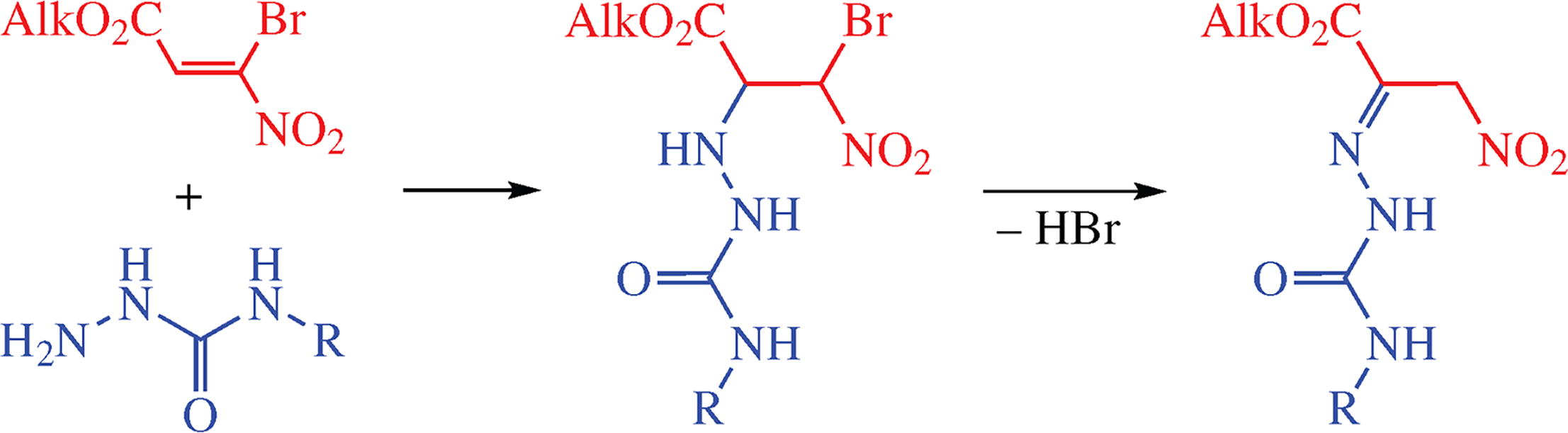
Semicarbazones of alkyl 3-nitropyruvates were obtained by the reaction between alkyl 3-bromo-3-nitroacrylates and semicarbazides. The products were formed as E/Z isomer mixtures from which some representatives of the individual isomers were isolated. The possibility of their isomerization was shown.

References

.
SHELXT– Integrated space-group and crystal-structure determination
Sheldrick G.M.
Acta Crystallographica Section A: Foundations and Advances, 2015
.
Effect of the damping function in dispersion corrected density functional theory
Grimme S., Ehrlich S., Goerigk L.
Journal of Computational Chemistry, 2011
.
Ethyl 3-halo-3-nitroacrylates: synthesis and reactions with primary aromatic amines
Kuritsyna M.A., Pelipko V.V., Kataeva O.N., Baichurin R.I., Sadikov K.D., Smirnov A.S., Makarenko S.V.
Russian Chemical Bulletin, 2021
.
Pelipko V.V., Baichurin R.I., Lyssenko K.A., Dotsenko V.V., Makarenko S.V.
Mendeleev Communications, 2022
.
Rationale for mixing exact exchange with density functional approximations
Perdew J.P., Ernzerhof M., Burke K.
Journal of Chemical Physics, 1996
.
Conformational behaviour and E/Z isomerization of N-acyl and N-aroylhydrazones
Palla G., Predieri G., Domiano P., Vignali C., Turner W.
Tetrahedron, 1986
.
The invariom model and its application: refinement ofD,L-serine at different temperatures and resolution
Dittrich B., Hübschle C.B., Messerschmidt M., Kalinowski R., Girnt D., Luger P.
Acta Crystallographica Section A Foundations of Crystallography, 2005
.
Reaction of alkyl 3-bromo-3-nitroacrylates with substituted hydrazines. Synthesis of N′-substituted alkyl 3-nitropyruvate hydrazones
Pelipko V.V., Gomonov K.A., Litvinov I.A., Baichurin R.I., Makarenko S.V.
Russian Chemical Bulletin, 2022
.
N-Acylhydrazones as drugs
Thota S., Rodrigues D.A., Pinheiro P.D., Lima L.M., Fraga C.A., Barreiro E.J.
Bioorganic and Medicinal Chemistry Letters, 2018
.
Berestovitskaya V.M., Ozerova O.Y., Efimova T.P., Gurzhiy V.V., Novikova T.A.
Mendeleev Communications, 2016
.
Pelipko V.V., Baichurin R.I., Lyssenko K.A., Kondrashov E.V., Makarenko S.V.
Mendeleev Communications, 2023