Home / Publications / Synthesis of disaccharides for the study of human blood antibodies capable of recognizing the inner Glcβ1-3GalNAc disaccharide fragment of bacterial polysaccharides

Synthesis of disaccharides for the study of human blood antibodies capable of recognizing the inner Glcβ1-3GalNAc disaccharide fragment of bacterial polysaccharides

Galina Valentinovna Pazynina 1
Galina Valentinovna Pazynina
Svetlana Vladimirovna Tsygankova 1
Svetlana Vladimirovna Tsygankova
Polina Sergeevna Obukhova 1, 2
Polina Sergeevna Obukhova
Nadezhda Vladimirovna Shilova 1, 2
Nadezhda Vladimirovna Shilova
Alexander Sergeyevich Paramonov
Alexander Olegovich Chizhov 3
Alexander Olegovich Chizhov
Yuriy Aleksandrovich Knirel 3
Yuriy Aleksandrovich Knirel
Nicolai Vladimirovich Bovin 1
Nicolai Vladimirovich Bovin
1 M.M. Shemyakin-Yu.A. Ovchinnikov Institute of Bioorganic Chemistry, Russian Academy of Sciences, Moscow, Russian Federation
2 National Medical Research Center for Obstetrics, Gynecology and Perinatology named after Academician V.I. Kulakov, Moscow, Russian Federation
Published 2023-06-13
CommunicationVolume 33, Issue 4, 476-478
1
Share
Cite this
GOST
 | 
Cite this
GOST Copy
Pazynina G. V. et al. Synthesis of disaccharides for the study of human blood antibodies capable of recognizing the inner Glcβ1-3GalNAc disaccharide fragment of bacterial polysaccharides // Mendeleev Communications. 2023. Vol. 33. No. 4. pp. 476-478.
GOST all authors (up to 50) Copy
Pazynina G. V., Tsygankova S. V., Obukhova P. S., Shilova N. V., Paramonov A. S., Chizhov A. O., Knirel Y. A., Bovin N. V. Synthesis of disaccharides for the study of human blood antibodies capable of recognizing the inner Glcβ1-3GalNAc disaccharide fragment of bacterial polysaccharides // Mendeleev Communications. 2023. Vol. 33. No. 4. pp. 476-478.
RIS
 | 
Cite this
RIS Copy
TY - JOUR
DO - 10.1016/j.mencom.2023.06.011
UR - https://mendcomm.colab.ws/publications/10.1016/j.mencom.2023.06.011
TI - Synthesis of disaccharides for the study of human blood antibodies capable of recognizing the inner Glcβ1-3GalNAc disaccharide fragment of bacterial polysaccharides
T2 - Mendeleev Communications
AU - Pazynina, Galina Valentinovna
AU - Tsygankova, Svetlana Vladimirovna
AU - Obukhova, Polina Sergeevna
AU - Shilova, Nadezhda Vladimirovna
AU - Paramonov, Alexander Sergeyevich
AU - Chizhov, Alexander Olegovich
AU - Knirel, Yuriy Aleksandrovich
AU - Bovin, Nicolai Vladimirovich
PY - 2023
DA - 2023/06/13
PB - Mendeleev Communications
SP - 476-478
IS - 4
VL - 33
ER -
BibTex
 | 
Cite this
BibTex (up to 50 authors) Copy
@article{2023_Pazynina,
author = {Galina Valentinovna Pazynina and Svetlana Vladimirovna Tsygankova and Polina Sergeevna Obukhova and Nadezhda Vladimirovna Shilova and Alexander Sergeyevich Paramonov and Alexander Olegovich Chizhov and Yuriy Aleksandrovich Knirel and Nicolai Vladimirovich Bovin},
title = {Synthesis of disaccharides for the study of human blood antibodies capable of recognizing the inner Glcβ1-3GalNAc disaccharide fragment of bacterial polysaccharides},
journal = {Mendeleev Communications},
year = {2023},
volume = {33},
publisher = {Mendeleev Communications},
month = {Jun},
url = {https://mendcomm.colab.ws/publications/10.1016/j.mencom.2023.06.011},
number = {4},
pages = {476--478},
doi = {10.1016/j.mencom.2023.06.011}
}
MLA
Cite this
MLA Copy
Pazynina, Galina Valentinovna, et al. “Synthesis of disaccharides for the study of human blood antibodies capable of recognizing the inner Glcβ1-3GalNAc disaccharide fragment of bacterial polysaccharides.” Mendeleev Communications, vol. 33, no. 4, Jun. 2023, pp. 476-478. https://mendcomm.colab.ws/publications/10.1016/j.mencom.2023.06.011.

Keywords

bacterial polysaccharides
epitope.
glycan synthesis
natural antibodies
printed glycan array

Abstract

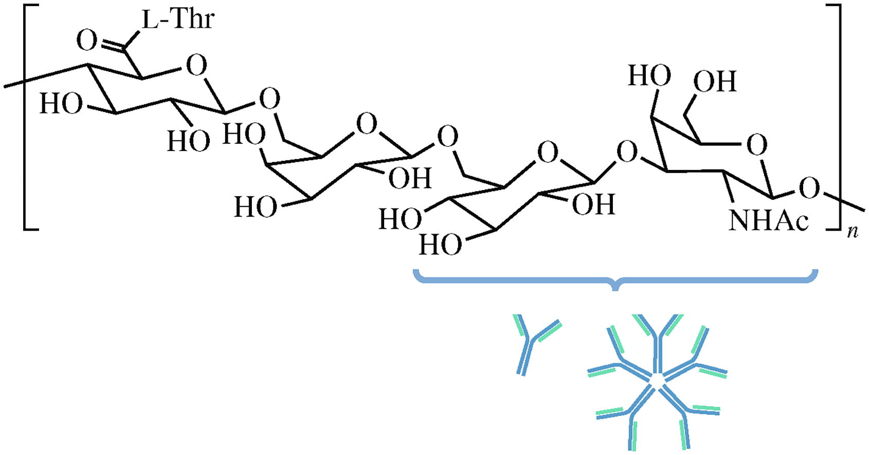
Disaccharides with the terminal Glcβ1-3 motif were synthesized as probes for studying human blood antibodies. An antibody isolated using Glcβ1-3GalNAcα-Sepharose was found to bind the inner part of the polysaccharide [-4GlcA6LThr3Acβ1-6Galβ1-6Glcβ1-3GalNAc6Acβ1-]n as evidenced by the use of a printed glycan array and inhibition assays.

References

.
Structure and genetics of Escherichia coli O antigens
Liu B., Furevi A., Perepelov A.V., Guo X., Cao H., Wang Q., Reeves P.R., Knirel Y.A., Wang L., Widmalm G.
FEMS Microbiology Reviews, 2019
.
The synthesis of linear trilactosamine
Pazynina G.V., Severov V.V., Bovin N.V.
Russian Journal of Bioorganic Chemistry, 2008
.
Artificial antigens and affinity sorbents with groups specificities Lea, Leb, and Led
Bovin N.V., Zemlyanukhina T.V., Chagiashvili T.N., Khorlin A.Y.
Chemistry of Natural Compounds, 1988
.
Mild one-pot preparation of glycosyl bromides
Hunsen M., Long D.A., D’Ardenne C.R., Smith A.L.
Carbohydrate Research, 2005
.
Recent advances and future perspectives on carbohydrate-based cancer vaccines and therapeutics
Sorieul C., Papi F., Carboni F., Pecetta S., Phogat S., Adamo R.
Pharmacology and Therapeutics, 2022
.
The Glycan Array Platform as a Tool to Identify Carbohydrate Antigens
Xia L., Gildersleeve J.C.
Methods in Molecular Biology, 2015