Home / Publications / Acyclic enediynes fused to triazole and benzothiophene containing propargylamine moieties

Acyclic enediynes fused to triazole and benzothiophene containing propargylamine moieties

Anastasiya Iosifovna Govdi 1
Anastasiya Iosifovna Govdi
Sergey O Anisimov 2
Sergey O Anisimov
Natalya A Danilkina 1
Natalya A Danilkina
Alexander Siyasatovich Bunev 3
Alexander Siyasatovich Bunev
Irina Anatol'evna Balova 1
Irina Anatol'evna Balova
1 Institute of Chemistry, St. Petersburg State University, St. Petersburg, Russian Federation
2 St. Petersburg State Chemical and Pharmaceutical University, St. Petersburg, Russian Federation
3 Medicinal Chemistry Centre, Togliatti State University, Togliatti, Russian Federation
Published 2023-04-13
CommunicationVolume 33, Issue 3, 328-330
5
Share
Cite this
GOST
 | 
Cite this
GOST Copy
Govdi A. I. et al. Acyclic enediynes fused to triazole and benzothiophene containing propargylamine moieties // Mendeleev Communications. 2023. Vol. 33. No. 3. pp. 328-330.
GOST all authors (up to 50) Copy
Govdi A. I., Anisimov S. O., Danilkina N. A., Bunev A. S., Balova I. A. Acyclic enediynes fused to triazole and benzothiophene containing propargylamine moieties // Mendeleev Communications. 2023. Vol. 33. No. 3. pp. 328-330.
RIS
 | 
Cite this
RIS Copy
TY - JOUR
DO - 10.1016/j.mencom.2023.04.010
UR - https://mendcomm.colab.ws/publications/10.1016/j.mencom.2023.04.010
TI - Acyclic enediynes fused to triazole and benzothiophene containing propargylamine moieties
T2 - Mendeleev Communications
AU - Govdi, Anastasiya Iosifovna
AU - Anisimov, Sergey O
AU - Danilkina, Natalya A
AU - Bunev, Alexander Siyasatovich
AU - Balova, Irina Anatol'evna
PY - 2023
DA - 2023/04/13
PB - Mendeleev Communications
SP - 328-330
IS - 3
VL - 33
ER -
BibTex
 | 
Cite this
BibTex (up to 50 authors) Copy
@article{2023_Govdi,
author = {Anastasiya Iosifovna Govdi and Sergey O Anisimov and Natalya A Danilkina and Alexander Siyasatovich Bunev and Irina Anatol'evna Balova},
title = {Acyclic enediynes fused to triazole and benzothiophene containing propargylamine moieties},
journal = {Mendeleev Communications},
year = {2023},
volume = {33},
publisher = {Mendeleev Communications},
month = {Apr},
url = {https://mendcomm.colab.ws/publications/10.1016/j.mencom.2023.04.010},
number = {3},
pages = {328--330},
doi = {10.1016/j.mencom.2023.04.010}
}
MLA
Cite this
MLA Copy
Govdi, Anastasiya Iosifovna, et al. “Acyclic enediynes fused to triazole and benzothiophene containing propargylamine moieties.” Mendeleev Communications, vol. 33, no. 3, Apr. 2023, pp. 328-330. https://mendcomm.colab.ws/publications/10.1016/j.mencom.2023.04.010.

Keywords

1
2
3-triazoles
benzothiophene
cytotoxicity.
enediynes
Heterocycles
Mannich reaction
propargylamines
Sonogashira reaction

Abstract

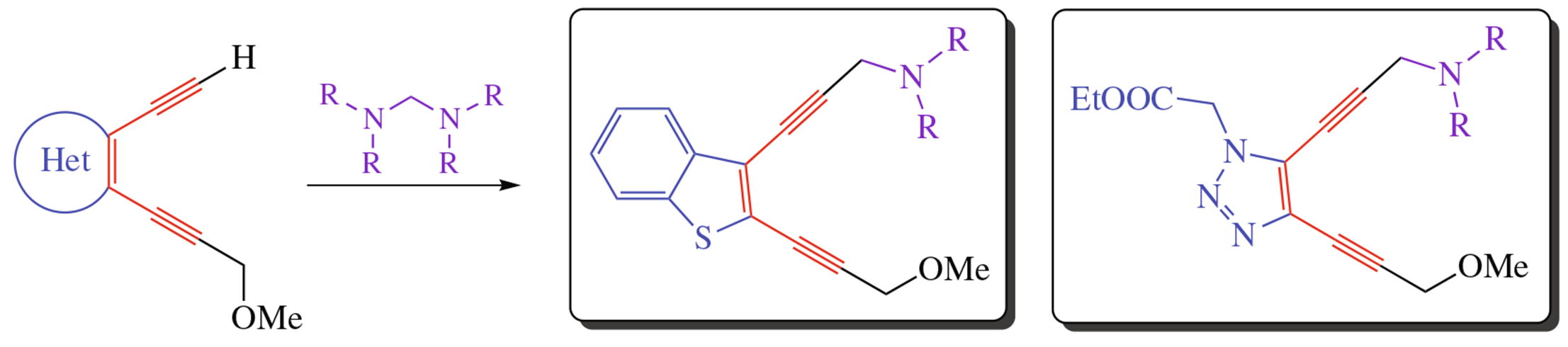
Synthesis of 3-(5-triazolyl)- and 3-(3-benzothienyl)-propargylamines includes the Mannich reaction of the corresponding ethynyl derivatives with diaminomethanes. The MTT test of the synthesized compounds toward the viability of NCI-H460 lung carcinoma cells and WI-26 VA4 normal lung fibroblast cells reveals one of them possessing a notable cytotoxic activity.

References

.
Acetylenic derivatives of betulonic acid amide as a new type of compounds possessing spasmolytic activity
Govdi A.I., Sorokina I.V., Baev D.S., Bryzgalov A.O., Tolstikova T.G., Tolstikov G.A., Vasilevsky S.F.
Russian Chemical Bulletin, 2015
.
Photochemical Activation of Enediyne Warheads: A Potential Tool for Targeted Antitumor Therapy
Bhattacharya P., Basak A., Campbell A., Alabugin I.V.
Molecular Pharmaceutics, 2018
.
Recent Advances in the A3 Coupling Reactions and their Applications
Jesin I., Nandi G.C.
European Journal of Organic Chemistry, 2019
.
Calichemicins, a novel family of antitumor antibiotics. 2. Chemistry and structure of calichemicin .gamma.1I
Lee M.D., Dunne T.S., Chang C.C., Ellestad G.A., Siegel M.M., Morton G.O., McGahren W.J., Borders D.B.
Journal of the American Chemical Society, 1987
.
Thermal generation of .alpha.,3-dehydrotoluene from (Z)-1,2,4-heptatrien-6-yne
Myers A.G., Kuo E.Y., Finney N.S.
Journal of the American Chemical Society, 1989
.
Intramolecular Nicholas Reactions in the Synthesis of Heteroenediynes fused to Indole, Triazole and Isocoumarin.
Danilkina N.A., D’yachenko A.S., Govdi A.I., Khlebnikov A.F., Kornyakov I.V., Bräse S., Balova I.A.
Journal of Organic Chemistry, 2020
.
Relative Reactivity of Benzothiophene-Fused Enediynes in the Bergman Cyclization.
Lyapunova A.G., Danilkina N.A., Rumyantsev A.M., Khlebnikov A.F., Chislov M.V., Starova G.L., Sambuk E.V., Govdi A.I., Bräse S., Balova I.A.
Journal of Organic Chemistry, 2018
.
Synthesis and Biological Activity of Unnatural Enediynes.
Romeo R., Giofre S.V., Chiacchio M.A.
Current Medicinal Chemistry, 2017
.
Functionalized 10-Membered Aza- and Oxaenediynes through the Nicholas Reaction
Danilkina N.A., Khmelevskaya E.A., Lyapunova A.G., D’yachenko A.S., Bunev A.S., Gasanov R.E., Gureev M.A., Balova I.A.
Molecules, 2022
.
When the nine-membered enediynes play hide and seek
Jean M., Tomasi S., van de Weghe P.
Organic and Biomolecular Chemistry, 2012
.
KONISHI M., OHKUMA H., SAITOH K., KAWAGUCHI H., GOLIK J., DUBAY G., GROENEWOLD G., KRISHNAN B., DOYLE T.W.
Journal of Antibiotics, 1985
.
Calichemicins, a novel family of antitumor antibiotics. 1. Chemistry and partial structure of calichemicin .gamma.1I
Lee M.D., Dunne T.S., Siegel M.M., Chang C.C., Morton G.O., Borders D.B.
Journal of the American Chemical Society, 1987
.
Sealutomicins, new enediyne antibiotics from the deep-sea actinomycete Nonomuraea sp. MM565M-173N2
Igarashi M., Sawa R., Umekita M., Hatano M., Arisaka R., Hayashi C., Ishizaki Y., Suzuki M., Kato C.
Journal of Antibiotics, 2021
.
Triggering the Antitumor Activity of Acyclic Enediyne through Maleimide-Assisted Rearrangement and Cycloaromatization
Zhang M., Li B., Chen H., Lu H., Ma H., Cheng X., Wang W., Wang Y., Ding Y., Hu A.
Journal of Organic Chemistry, 2020
.
Nucleophilic Addition to Diradicals Derived From Cycloaromatization of Maleimide‐Based Enediynes
Zhang M., Ma H., Li B., Sun K., Lu H., Wang W., Cheng X., Li X., Ding Y., Hu A.
Asian Journal of Organic Chemistry, 2021
.
Preparation of Maleimide‐Based Enediynes with Propargyl Ester for Efficient Tumor Cell Suppression
Chen H., Li B., Zhang M., Lu H., Wang Y., Wang W., Ding Y., Hu A.
ChemistrySelect, 2020
.
A 3 Coupling Reaction in the Synthesis of Heterocyclic Compounds
Volkova Y., Baranin S., Zavarzin I.
Advanced Synthesis and Catalysis, 2020
.
S,S-Complexes of Copper(I) Halides with 1,2-Bis(3,5-dimethyloxazol-4-ylmethylsulfanyl)ethane as New Catalysts for Phenylacetylene Aminomethylation
Akhmetova V.R., Akhmadiev N.S., Nurtdinova G.M., Yanybin V.M., Glazyrin A.B., Ibragimov A.G.
Russian Journal of General Chemistry, 2018
.
N,N,N′,N′-tetramethylmethanediamine—A new reagent for aminomethylation of acetylenes
Shaibakova M.G., Titova I.G., Ibragimov A.G., Dzhemilev U.M.
Russian Journal of Organic Chemistry, 2008
.
Über eine Synthese von organischen Basen mit dreifacher Bindung.
Mannich C., Chang F.T.
Berichte der deutschen chemischen Gesellschaft (A and B Series), 1933
.
Enediynes: Exploration of microbial genomics to discover new anticancer drug leads
Shen B., Hindra, Yan X., Huang T., Ge H., Yang D., Teng Q., Rudolf J.D., Lohman J.R.
Bioorganic and Medicinal Chemistry Letters, 2015