Home / Publications / Theoretical study of formation mechanism for 4-methyl-3-phenylbenzonitrile in the course of the Hiyama and Suzuki-Miyaura reactions

Theoretical study of formation mechanism for 4-methyl-3-phenylbenzonitrile in the course of the Hiyama and Suzuki-Miyaura reactions

Zeinab Ahmadvand 1
Zeinab Ahmadvand
Mehdi Bayat 1
Mehdi Bayat
1 Faculty of Chemistry, Bu-Ali Sina University, Hamadan, Iran
Published 2023-02-13
CommunicationVolume 33, Issue 2, 252-254
0
Share
Cite this
GOST
 | 
Cite this
GOST Copy
Ahmadvand Z., Bayat M. Theoretical study of formation mechanism for 4-methyl-3-phenylbenzonitrile in the course of the Hiyama and Suzuki-Miyaura reactions // Mendeleev Communications. 2023. Vol. 33. No. 2. pp. 252-254.
GOST all authors (up to 50) Copy
Ahmadvand Z., Bayat M. Theoretical study of formation mechanism for 4-methyl-3-phenylbenzonitrile in the course of the Hiyama and Suzuki-Miyaura reactions // Mendeleev Communications. 2023. Vol. 33. No. 2. pp. 252-254.
RIS
 | 
Cite this
RIS Copy
TY - JOUR
DO - 10.1016/j.mencom.2023.02.033
UR - https://mendcomm.colab.ws/publications/10.1016/j.mencom.2023.02.033
TI - Theoretical study of formation mechanism for 4-methyl-3-phenylbenzonitrile in the course of the Hiyama and Suzuki-Miyaura reactions
T2 - Mendeleev Communications
AU - Ahmadvand, Zeinab
AU - Bayat, Mehdi
PY - 2023
DA - 2023/02/13
PB - Mendeleev Communications
SP - 252-254
IS - 2
VL - 33
ER -
BibTex
 | 
Cite this
BibTex (up to 50 authors) Copy
@article{2023_Ahmadvand,
author = {Zeinab Ahmadvand and Mehdi Bayat},
title = {Theoretical study of formation mechanism for 4-methyl-3-phenylbenzonitrile in the course of the Hiyama and Suzuki-Miyaura reactions},
journal = {Mendeleev Communications},
year = {2023},
volume = {33},
publisher = {Mendeleev Communications},
month = {Feb},
url = {https://mendcomm.colab.ws/publications/10.1016/j.mencom.2023.02.033},
number = {2},
pages = {252--254},
doi = {10.1016/j.mencom.2023.02.033}
}
MLA
Cite this
MLA Copy
Ahmadvand, Zeinab, and Mehdi Bayat. “Theoretical study of formation mechanism for 4-methyl-3-phenylbenzonitrile in the course of the Hiyama and Suzuki-Miyaura reactions.” Mendeleev Communications, vol. 33, no. 2, Feb. 2023, pp. 252-254. https://mendcomm.colab.ws/publications/10.1016/j.mencom.2023.02.033.

Keywords

cross-coupling
DFT study
Hiyama−Denmark reaction
mechanism.
N-heterocyclic carbenes
Suzuki–Miyaura reaction

Abstract

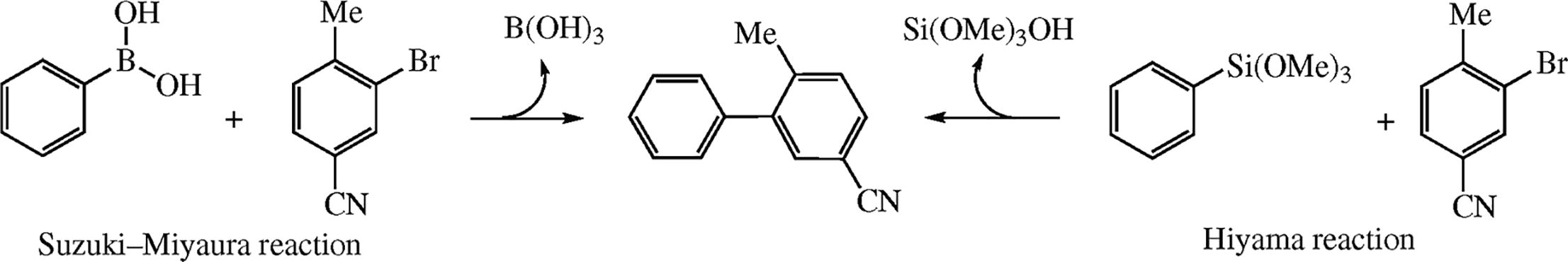
A theoretical study on the mechanism of conversion of 3-bromo-4-methylbenzonitrile into 4-methyl-3-phenylbenzo-nitrile in the course of the Suzuki-Miyaura and Hiyama−Denmark cross-coupling reactions has been performed at Cam-B3LYP-D3 level of theory. With the use of Pd-NHC type complex as the catalyst, the Hiyama−Denmark cross-coupling is best suited for this process from both thermodynamic and kinetic aspects.

References

.
Pd-PEPPSI: Pd-NHC Precatalyst for Suzuki–Miyaura Cross-Coupling Reactions of Amides
Lei P., Meng G., Ling Y., An J., Szostak M.
Journal of Organic Chemistry, 2017
.
Efficient PEPPSI-Themed Palladium N-Heterocyclic Carbene Precatalysts for the Mizoroki–Heck Reaction
Lin Y., Hsueh H., Kanne S., Chang L., Liu F., Lin I.J., Lee G., Peng S.
Organometallics, 2013
.
Designing Pd–N-Heterocyclic Carbene Complexes for High Reactivity and Selectivity for Cross-Coupling Applications
Froese R.D., Lombardi C., Pompeo M., Rucker R.P., Organ M.G.
Accounts of Chemical Research, 2017
.
Suzuki–Miyaura and Hiyama coupling catalyzed by PEPPSI-type complexes with non-bulky NHC ligand
Osińska M., Gniewek A., Trzeciak A.M.
Journal of Molecular Catalysis A Chemical, 2016
.
Suzuki Coupling of Potassium Cyclopropyl- and Alkoxymethyltrifluoroborates with Benzyl Chlorides
Colombel V., Rombouts F., Oehlrich D., Molander G.A.
Journal of Organic Chemistry, 2012
.
[Pd(IPr*)(3-Cl-pyridinyl)Cl2]: A Novel and Efficient PEPPSI Precatalyst
Chartoire A., Frogneux X., Boreux A., Slawin A.M., Nolan S.P.
Organometallics, 2012
.
Regioselective Cross-Coupling of Allylboronic Acid Pinacol Ester Derivatives with Aryl Halides via Pd-PEPPSI-IPent
.
Fluoride-free Hiyama coupling by palladium abnormal N-heterocyclic carbene complexes
Modak S., Gangwar M.K., Nageswar Rao M., Madasu M., Kalita A.C., Dorcet V., Shejale M.A., Butcher R.J., Ghosh P.
Dalton Transactions, 2015