Home / Publications / Synthesis and cytotoxicity of 7,8-dihalopyrido[1,2-a]benzimidazole-6,9-dione and its 1,2,3,4-tetrahydro analogue

Synthesis and cytotoxicity of 7,8-dihalopyrido[1,2-a]benzimidazole-6,9-dione and its 1,2,3,4-tetrahydro analogue

Roman Sergeevich Begunov 1
Roman Sergeevich Begunov
Ekaterina Yur'evna Yandulova 2
Ekaterina Yur'evna Yandulova
Natalia Sergeevna Nikolaeva 2
Natalia Sergeevna Nikolaeva
1 P.G. Demidov Yaroslavl State University, Yaroslavl, Russian Federation
2 Institute of Physiologically Active Compounds, Federal Research Center of Problems of Chemical Physics and Medicinal Chemistry, Russian Academy of Sciences, Chernogolovka, Moscow Region, Russian Federation
Published 2023-02-13
CommunicationVolume 33, Issue 2, 237-239
2
Share
Cite this
GOST
 | 
Cite this
GOST Copy
Begunov R. S. et al. Synthesis and cytotoxicity of 7,8-dihalopyrido[1,2-a]benzimidazole-6,9-dione and its 1,2,3,4-tetrahydro analogue // Mendeleev Communications. 2023. Vol. 33. No. 2. pp. 237-239.
GOST all authors (up to 50) Copy
Begunov R. S., Aleksandrova Y. R., Yandulova E. Y., Nikolaeva N. S., Neganova M. E. Synthesis and cytotoxicity of 7,8-dihalopyrido[1,2-a]benzimidazole-6,9-dione and its 1,2,3,4-tetrahydro analogue // Mendeleev Communications. 2023. Vol. 33. No. 2. pp. 237-239.
RIS
 | 
Cite this
RIS Copy
TY - JOUR
DO - 10.1016/j.mencom.2023.02.028
UR - https://mendcomm.colab.ws/publications/10.1016/j.mencom.2023.02.028
TI - Synthesis and cytotoxicity of 7,8-dihalopyrido[1,2-a]benzimidazole-6,9-dione and its 1,2,3,4-tetrahydro analogue
T2 - Mendeleev Communications
AU - Begunov, Roman Sergeevich
AU - Aleksandrova, Yulia Romanovna
AU - Yandulova, Ekaterina Yur'evna
AU - Nikolaeva, Natalia Sergeevna
AU - Neganova, Margarita Evgenievna
PY - 2023
DA - 2023/02/13
PB - Mendeleev Communications
SP - 237-239
IS - 2
VL - 33
ER -
BibTex
 | 
Cite this
BibTex (up to 50 authors) Copy
@article{2023_Begunov,
author = {Roman Sergeevich Begunov and Yulia Romanovna Aleksandrova and Ekaterina Yur'evna Yandulova and Natalia Sergeevna Nikolaeva and Margarita Evgenievna Neganova},
title = {Synthesis and cytotoxicity of 7,8-dihalopyrido[1,2-a]benzimidazole-6,9-dione and its 1,2,3,4-tetrahydro analogue},
journal = {Mendeleev Communications},
year = {2023},
volume = {33},
publisher = {Mendeleev Communications},
month = {Feb},
url = {https://mendcomm.colab.ws/publications/10.1016/j.mencom.2023.02.028},
number = {2},
pages = {237--239},
doi = {10.1016/j.mencom.2023.02.028}
}
MLA
Cite this
MLA Copy
Begunov, Roman Sergeevich, et al. “Synthesis and cytotoxicity of 7,8-dihalopyrido[1,2-a]benzimidazole-6,9-dione and its 1,2,3,4-tetrahydro analogue.” Mendeleev Communications, vol. 33, no. 2, Feb. 2023, pp. 237-239. https://mendcomm.colab.ws/publications/10.1016/j.mencom.2023.02.028.

Keywords

2-a]benzimidazole-6
2-bromo-3-chloro-1
4-benzoquinones
9-diones
cytotoxicity.
flow-through catalytic hydrogenation
hetero- cyclization
intramolecular reductive reactions
prooxidant activity
pyrido[1

Abstract

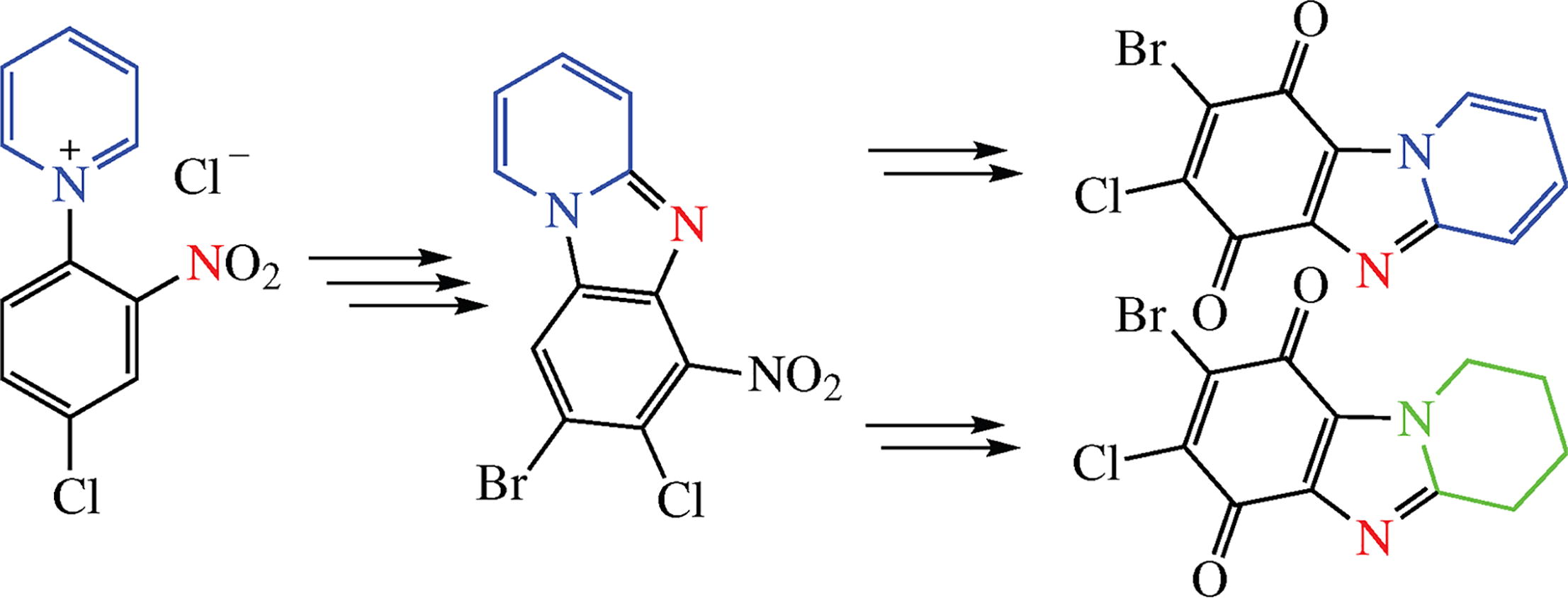
An efficient synthesis of 8-bromo-7-chloropyrido[1,2-a]-benzimidazole-6,9-dione and its 1,2,3,4-tetrahydro analogue from N-(4-chloro-2-nitrophenyl)pyridinium chloride has been accomplished. The study for antitumour activity against cancer cell lines such as A549, SH-SY5Y, Hep-2, HeLa and MCF-7 revealed that the cytotoxic effect of the compounds obtained was several times higher than that of Mitomycin C.

References

.
Advances in the Synthesis of Ring-Fused Benzimidazoles and Imidazobenzimidazoles
Sweeney M., Conboy D., Mirallai S.I., Aldabbagh F.
Molecules, 2021
.
Antitumour quinones.
Asche C.
Mini-Reviews in Medicinal Chemistry, 2005
.
Synthesis by Radical Cyclization and Cytotoxicity of Highly Potent Bioreductive Alicyclic Ring Fused [1,2-a]Benzimidazolequinones
Lynch M., Hehir S., Kavanagh P., Leech D., O'Shaughnessy J., Carty M., Aldabbagh F.
Chemistry - A European Journal, 2007
.
Comparative study of human neuronal and glial cell sensitivity for in vitro neurogenotoxicity testing
Laffon B., Fernández-Bertólez N., Costa C., Pásaro E., Valdiglesias V.
Food and Chemical Toxicology, 2017
.
Effects of Mitomycin-C and Etoposide in Cell Culture and in Nude Mice: The Role of G-CSF Mutein
Fujii M., Ohnuma T., Szrajer L., Holland J.F., Biller H., Okabe M.
Cancer Investigation, 1993
.
Begunov R.S., Sokolov A.A., Fedyanin I.V., Sakulina V.O., Syroeshkin M.A.
Mendeleev Communications, 2019
.
Wang Y., Ren J., Xia K., Wang S., Yin T., Xie D., Li L.
Journal of Zhejiang University: Science B, 2012