Home / Publications / Novel (1H-tetrazol-5-yl-NNO-azoxy)furazans and their energetic salts: synthesis, characterization and energetic properties

Novel (1H-tetrazol-5-yl-NNO-azoxy)furazans and their energetic salts: synthesis, characterization and energetic properties

Nikita E Leonov 1
Nikita E Leonov
Artem Evgenievich Emel’yanov 1, 2
Artem Evgenievich Emel’yanov
Aleksandr Mikhailovich Churakov
Yurii Andreevich Strelenko 1
Yurii Andreevich Strelenko
Alevtina Nikolaevna Pivkina 3
Alevtina Nikolaevna Pivkina
Ivan Vladimirovich Fedyanin
Tatiana Sergeevna Kon'kova 3
Tatiana Sergeevna Kon'kova
Yurii Nikolaevich Matyushin 3
Yurii Nikolaevich Matyushin
Vladimir Alexandrovich Tartakovsky
Published 2022-10-21
CommunicationVolume 32, Issue 6, 714-716
7
Share
Cite this
GOST
 | 
Cite this
GOST Copy
Leonov N. E. et al. Novel (1H-tetrazol-5-yl-NNO-azoxy)furazans and their energetic salts: synthesis, characterization and energetic properties // Mendeleev Communications. 2022. Vol. 32. No. 6. pp. 714-716.
GOST all authors (up to 50) Copy
Leonov N. E., Emel’yanov A. E., Klenov M. S., Churakov A. M., Strelenko Y. A., Pivkina A. N., Fedyanin I. V., Lempert D. B., Kon'kova T. S., Matyushin Y. N., Tartakovsky V. A. Novel (1H-tetrazol-5-yl-NNO-azoxy)furazans and their energetic salts: synthesis, characterization and energetic properties // Mendeleev Communications. 2022. Vol. 32. No. 6. pp. 714-716.
RIS
 | 
Cite this
RIS Copy
TY - JOUR
DO - 10.1016/j.mencom.2022.11.002
UR - https://mendcomm.colab.ws/publications/10.1016/j.mencom.2022.11.002
TI - Novel (1H-tetrazol-5-yl-NNO-azoxy)furazans and their energetic salts: synthesis, characterization and energetic properties
T2 - Mendeleev Communications
AU - Leonov, Nikita E
AU - Emel’yanov, Artem Evgenievich
AU - Klenov, Michael Sergeevich
AU - Churakov, Aleksandr Mikhailovich
AU - Strelenko, Yurii Andreevich
AU - Pivkina, Alevtina Nikolaevna
AU - Fedyanin, Ivan Vladimirovich
AU - Lempert, David Borisovich
AU - Kon'kova, Tatiana Sergeevna
AU - Matyushin, Yurii Nikolaevich
AU - Tartakovsky, Vladimir Alexandrovich
PY - 2022
DA - 2022/10/21
PB - Mendeleev Communications
SP - 714-716
IS - 6
VL - 32
ER -
BibTex
 | 
Cite this
BibTex (up to 50 authors) Copy
@article{2022_Leonov,
author = {Nikita E Leonov and Artem Evgenievich Emel’yanov and Michael Sergeevich Klenov and Aleksandr Mikhailovich Churakov and Yurii Andreevich Strelenko and Alevtina Nikolaevna Pivkina and Ivan Vladimirovich Fedyanin and David Borisovich Lempert and Tatiana Sergeevna Kon'kova and Yurii Nikolaevich Matyushin and Vladimir Alexandrovich Tartakovsky},
title = {Novel (1H-tetrazol-5-yl-NNO-azoxy)furazans and their energetic salts: synthesis, characterization and energetic properties},
journal = {Mendeleev Communications},
year = {2022},
volume = {32},
publisher = {Mendeleev Communications},
month = {Oct},
url = {https://mendcomm.colab.ws/publications/10.1016/j.mencom.2022.11.002},
number = {6},
pages = {714--716},
doi = {10.1016/j.mencom.2022.11.002}
}
MLA
Cite this
MLA Copy
Leonov, Nikita E., et al. “Novel (1H-tetrazol-5-yl-NNO-azoxy)furazans and their energetic salts: synthesis, characterization and energetic properties.” Mendeleev Communications, vol. 32, no. 6, Oct. 2022, pp. 714-716. https://mendcomm.colab.ws/publications/10.1016/j.mencom.2022.11.002.

Keywords

azoxy compounds
combustion calorimetry
differential scanning calorimetry
enthalpy of formation
furazans
tetrazoles
X-ray diffraction

Abstract

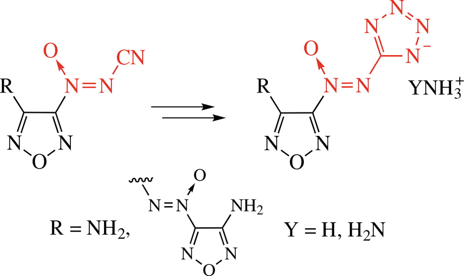
Six novel energetic furazans containing tetrazol-5-yl-NNO-azoxy moiety were synthesized using (cyano-NNO-azoxy)-furazans as starting compounds. The obtained compounds exhibit high enthalpies of formation (531–792 kcal kg–1), acceptable densities (1.70–1.76 g cm–3), good thermal stability (Tonset = 146–199 °C), and, as a result, excellent detonation performance (detonation velocities of 8.61–8.95 km s−1 and detonation pressures of 31.6–36.0 GPa).

References

1.
10.1016/j.mencom.2022.11.002_b0005
Agrawal
High Energy Materials: Propellants, 2010
2.
10.1016/j.mencom.2022.11.002_b0010
DeLuca
Chemical Rocket Propulsion: A Comprehensive Survey of Energetic Materials, 2017
3.
Zlotin S.G., Churakov A.M., Egorov M.P., Fershtat L.L., Klenov M.S., Kuchurov I.V., Makhova N.N., Smirnov G.A., Tomilov Y.V., Tartakovsky V.A.
Mendeleev Communications, 2021
4.
10.1016/j.mencom.2022.11.002_b0020
Dey
Cent. Eur. J. Energ. Mater., 2015
5.
10.1016/j.mencom.2022.11.002_b0025
Sutton
Rocket Propulsion Elements, 2001
6.
10.1016/j.mencom.2022.11.002_b0030
Kubota
Propellants and Explosives: Thermochemical Aspects of Combustion, 2002
7.
Evaluation of Effectiveness of Solid Fuels Based on High Enthalpy Dispersants for Rocket Ramjet Engines
Yanovskii L.S., Lempert D.B., Raznoschikov V.V., Aver’kov I.S.
Russian Journal of Applied Chemistry, 2019
8.
10.1016/j.mencom.2022.11.002_b0040
Lempert
Russ. Chem. Bull., 1856
9.
Kinetic Fundamental Aspects of Heat Release in Thermal Decomposition of 7-Amino-7H-difurazano[3,4-b:3′4′-f] furoxano[3″4″-d]azepine and Binary Fuel on Its Basis
Kazakov A.I., Lempert D.B., Nabatova A.V., Dashko D.V., Raznoschikov V.V., Yanovskii L.S., Aldoshin S.M.
Russian Journal of Applied Chemistry, 2019
11.
Nitrogen-Rich Azoles as High Density Energy Materials
Yin P., Shreeve J.M.
Advances in Heterocyclic Chemistry, 2017
12.
Energetic materials based on poly furazan and furoxan structures
Zhang J., Zhou J., Bi F., Wang B.
Chinese Chemical Letters, 2020
14.
Novel energetic CNO oxidizer: Pernitro-substituted pyrazolyl-furazan framework
Dalinger I.L., Shkineva T.K., Vatsadze I.A., Kormanov A.V., Kozeev A.M., Suponitsky K.Y., Pivkina A.N., Sheremetev A.B.
FirePhysChem, 2021
15.
10.1016/j.mencom.2022.11.002_b0075
Klapötke
Allg. Chem., 1867
16.
Azole-Based Energetic Salts
Gao H., Shreeve J.M.
Chemical Reviews, 2011
17.
Salts of 1H-Tetrazole - Synthesis, Characterization and Properties
Klapötke T.M., Stein M., Stierstorfer J.
Zeitschrift fur Anorganische und Allgemeine Chemie, 2008
18.
Synthesis and characterization of a new family of energetic salts based on a guanidinium cation containing a picryl moiety
19.
10.1016/j.mencom.2022.11.002_b0095
Voronin
Energy Mater., 2020
20.
Synthesis and properties of 4-amino-3-cyanofurazan
Andrianov V.G., Eremeev A.V.
Chemistry of Heterocyclic Compounds, 1994
21.
Synthesis of 5-(1,2,5-oxadiazol-3-yl)-1H-etrazoles from 3-cyano-1,2,5-oxadiazoles
Godovikova T.I., Vorontsova S.K., Konyushkin L.D., Firgang S.I., Rakitin O.A.
Russian Chemical Bulletin, 2009
22.
Furazan-Functionalized Tetrazolate-Based Salts: A New Family of Insensitive Energetic Materials
Wang R., Guo Y., Zeng Z., Twamley B., Shreeve J.
Chemistry - A European Journal, 2009
24.
Azotetrazolylfurazan and Nitrogenous Salt Derivatives
Leonard P.W., Chavez D.E., Pagoria P.F., by X-ray studies, Parrish D.L.
Propellants, Explosives, Pyrotechnics, 2011
26.
Thermally stable energetic salts based on 3-nitramino-4-tetrazolefurazan
Huang H., Shi Y., Li Y., Liu Y., Yang J.
RSC Advances, 2016
27.
[(3-Nitro-1H-1,2,4-triazol-1-yl)-NNO-azoxy]furazans: energetic materials containing an N(O)N–N fragment
Gulyaev D.A., Klenov M.S., Churakov A.M., Strelenko Y.A., Fedyanin I.V., Lempert D.B., Kosareva E.K., Kon'kova T.S., Matyushin Y.N., Tartakovsky V.A.
RSC Advances, 2021
28.
Synthesis of New Energetic Materials Based on Furazan Rings and Nitro‐ NNO ‐azoxy Groups
Leonov N.E., Klenov M.S., Anikin O.V., Churakov A.M., Strelenko Y.A., Voronin A.A., Lempert D.B., Muravyev N.V., Fedyanin I.V., Semenov S.E., Tartakovsky V.A.
ChemistrySelect, 2020
29.
Chemical properties of N'-cyanodiazene N-oxides. Reactions involving the nitrile group
Zlotin S.G., Podgurskii A.I., Airapetova N.V., Luk'yanov O.A.
Russian Chemical Bulletin, 1991
30.
An efficient access to (1H-tetrazol-5-yl)furoxan ammonium salts via a two-step dehydration/[3+2]-cycloaddition strategy
Fershtat L.L., Epishina M.A., Kulikov A.S., Ovchinnikov I.V., Ananyev I.V., Makhova N.N.
Tetrahedron, 2015
31.
Leonov N.E., Sidorov F.M., Klenov M.S., Churakov A.M., Strelenko Y.A., Pivkina A.N., Fedyanin I.V., Lempert D.B., Kon'kova T.S., Matyushin Y.N., Tartakovsky V.A.
Mendeleev Communications, 2021
34.
10.1016/j.mencom.2022.11.002_b0170
Sheldrick
Acta Crystallogr., 2015
38.
Energetic N-azidomethyl derivatives of polynitro hexaazaisowurtzitanes series: CL-20 analogues having the highest enthalpy
Luk′yanov O.A., Parakhin V.V., Shlykova N.I., Dmitrienko A.O., Melnikova E.K., Kon'kova T.S., Monogarov K.A., Meerov D.B.
New Journal of Chemistry, 2020
39.
10.1016/j.mencom.2022.11.002_b0195
Sumin
Transactions of the 11th International Detonation Symposium, 1998
40.
Sensitivity of energetic materials: Evidence of thermodynamic factor on a large array of CHNOFCl compounds
Muravyev N.V., Meerov D.B., Monogarov K.A., Melnikov I.N., Kosareva E.K., Fershtat L.L., Sheremetev A.B., Dalinger I.L., Fomenkov I.V., Pivkina A.N.
Chemical Engineering Journal, 2021
41.
10.1016/j.mencom.2022.11.002_b0205
Meyer
Explosives, 2016