Home / Publications / Influence of noble metals on thermoacoustic oscillations and boundaries of the region of negative temperature coefficient during combustion of n-pentane – air mixtures

Influence of noble metals on thermoacoustic oscillations and boundaries of the region of negative temperature coefficient during combustion of n-pentane – air mixtures

0
Share
Cite this
GOST
 | 
Cite this
GOST Copy
Rubtsov N. M. et al. Influence of noble metals on thermoacoustic oscillations and boundaries of the region of negative temperature coefficient during combustion of n-pentane – air mixtures // Mendeleev Communications. 2022. Vol. 32. No. 5. pp. 693-696.
GOST all authors (up to 50) Copy
Rubtsov N. M., Tsvetkov G. I., Chernysh V. I., Troshin K. Y. Influence of noble metals on thermoacoustic oscillations and boundaries of the region of negative temperature coefficient during combustion of n-pentane – air mixtures // Mendeleev Communications. 2022. Vol. 32. No. 5. pp. 693-696.
RIS
 | 
Cite this
RIS Copy
TY - JOUR
DO - 10.1016/j.mencom.2022.09.043
UR - https://mendcomm.colab.ws/publications/10.1016/j.mencom.2022.09.043
TI - Influence of noble metals on thermoacoustic oscillations and boundaries of the region of negative temperature coefficient during combustion of n-pentane – air mixtures
T2 - Mendeleev Communications
AU - Rubtsov, Nikolai Mihailovich
AU - Tsvetkov, Georgii Igorevich
AU - Chernysh, Victor Iosifovich
AU - Troshin, Kirill Yakovlevich
PY - 2022
DA - 2022/09/05
PB - Mendeleev Communications
SP - 693-696
IS - 5
VL - 32
ER -
BibTex
 | 
Cite this
BibTex (up to 50 authors) Copy
@article{2022_Rubtsov,
author = {Nikolai Mihailovich Rubtsov and Georgii Igorevich Tsvetkov and Victor Iosifovich Chernysh and Kirill Yakovlevich Troshin},
title = {Influence of noble metals on thermoacoustic oscillations and boundaries of the region of negative temperature coefficient during combustion of n-pentane – air mixtures},
journal = {Mendeleev Communications},
year = {2022},
volume = {32},
publisher = {Mendeleev Communications},
month = {Sep},
url = {https://mendcomm.colab.ws/publications/10.1016/j.mencom.2022.09.043},
number = {5},
pages = {693--696},
doi = {10.1016/j.mencom.2022.09.043}
}
MLA
Cite this
MLA Copy
Rubtsov, Nikolai Mihailovich, et al. “Influence of noble metals on thermoacoustic oscillations and boundaries of the region of negative temperature coefficient during combustion of n-pentane – air mixtures.” Mendeleev Communications, vol. 32, no. 5, Sep. 2022, pp. 693-696. https://mendcomm.colab.ws/publications/10.1016/j.mencom.2022.09.043.

Keywords

n-pentane–air
ignition
negative temperature coefficient
palladium
platinum
premixed
thermoacoustic

Abstract

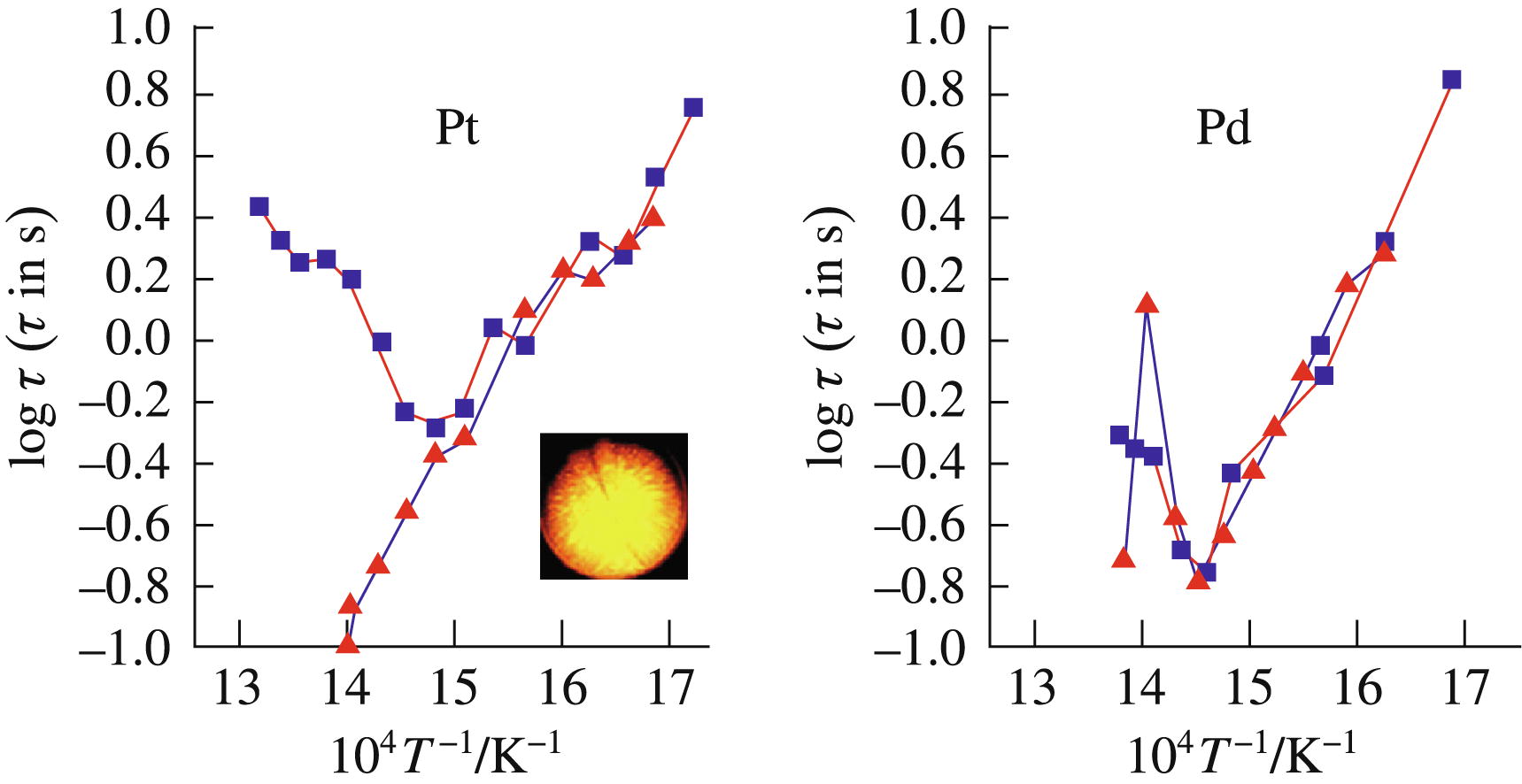
Using the combustion of n-pentane – air mixtures as an example, it was shown that thermoacoustic regimes of ignition disappear in the presence of a platinum surface, which generates catalytic centers propagating into the volume. Thus, the platinum catalyst eliminates a certain stage of kinetic mechanism, and the negative temperature coefficient phenomenon vanishes. In the presence of a palladium catalytic surface that does not generate catalytic centers propagating into the volume, the phenomenon of a negative temperature coefficient occurs.

References

1.
10.1016/j.mencom.2022.09.043_b0005
Merzhanov
Teoriya voln goreniya v gomogennykh sredakh (Theory of Combustion Waves in Homogeneous Media), 1992
2.
10.1016/j.mencom.2022.09.043_b0010
Warnatz
Combustion: Physical and Chemical Fundamentals, Modeling and Simulation, Experiments, Pollutant Formation, 2006
5.
Development of an Experimental Database and Kinetic Models for Surrogate Diesel Fuels
Farrell J.T., Cernansky N.P., Dryer F.L., Law C.K., Friend D.G., Hergart C.A., McDavid R.M., Patel A.K., Mueller C.J., Pitsch H.
SAE Technical Papers, 2007
6.
Chemical Kinetics Study on Two-Stage Main Heat Release in Ignition Process of Highly Diluted Mixtures
Kuwahara K., Tada T., Furutani M., Sakai Y., Ando H.
SAE International Journal of Engines, 2013
8.
Study of combustion of an adiabatically-heated gas mixture
Saytzev S.G., Soloukhin R.I.
Symposium (International) on Combustion, 1961
9.
Autoignition by Rapid Compression.
Livengood J.C., Leary W.A.
Industrial & Engineering Chemistry, 1951
10.
11.
Rubtsov N.M., Borisov A.A., Skachkov G.I., Troshin K.Y.
International Journal of Chemical and Process Engineering Research, 2014
12.
10.1016/j.mencom.2022.09.043_b0060
Borisov
Che. Phys. Rep., 1998
13.
Rubtsov N.M., Chernysh V.I., Tsvetkov G.I., Troshin K.Y., Shamshin I.O.
Mendeleev Communications, 2017
14.
C. Burley Goates, MS Thesis, Brigham Young University, 2019.
15.
J. W. Strutt, The Theory of Sound, 2nd edn., Macmillan and Co., London, 1894, vol. 2.
16.
Mechanism and Kinetics of Hydrogen Peroxide Decomposition on Platinum Nanocatalysts
Serra-Maia R., Bellier M., Chastka S., Tranhuu K., Subowo A., Rimstidt J.D., Usov P.M., Morris A.J., Michel F.M.
ACS applied materials & interfaces, 2018
18.
Rubtsov N.M., Chernysh V.I., Tsvetkov G.I., Troshin K.Y., Shamshin I.O.
Mendeleev Communications, 2019
19.
10.1016/j.mencom.2022.09.043_b0095
Rubtsov
The Modes of Gaseous Combustion, 2016
20.
Rubtsov N.M., Chernysh V.I., Tsvetkov G.I., Troshin K.Y., Kalinin A.P.
Mendeleev Communications, 2020
22.
10.1016/j.mencom.2022.09.043_b0110
Backstrom
Simple Fields of Physics by Finite Element Analysis, 2005