Home / Publications / Simultaneous formation of P–C/P–O-cage phosphoranes in the reaction of 2-[(2-methylcarbonyl)phenyloxy]-4,4,5,5-tetramethyl-1,3,2-dioxaphospholane with hexafluoroacetone

Simultaneous formation of P–C/P–O-cage phosphoranes in the reaction of 2-[(2-methylcarbonyl)phenyloxy]-4,4,5,5-tetramethyl-1,3,2-dioxaphospholane with hexafluoroacetone

Mudaris Nurgaleevich Dimukhametov 1
Mudaris Nurgaleevich Dimukhametov
Igor Anatol'evich Litvinov 1
Igor Anatol'evich Litvinov
Aidar Timergalievich Gubaidullin 1
Aidar Timergalievich Gubaidullin
Published 2022-09-05
CommunicationVolume 32, Issue 5, 615-618
1
Share
Cite this
GOST
 | 
Cite this
GOST Copy
Mironov V. F. et al. Simultaneous formation of P–C/P–O-cage phosphoranes in the reaction of 2-[(2-methylcarbonyl)phenyloxy]-4,4,5,5-tetramethyl-1,3,2-dioxaphospholane with hexafluoroacetone // Mendeleev Communications. 2022. Vol. 32. No. 5. pp. 615-618.
GOST all authors (up to 50) Copy
Mironov V. F., Dimukhametov M. N., Litvinov I. A., Gubaidullin A. T. Simultaneous formation of P–C/P–O-cage phosphoranes in the reaction of 2-[(2-methylcarbonyl)phenyloxy]-4,4,5,5-tetramethyl-1,3,2-dioxaphospholane with hexafluoroacetone // Mendeleev Communications. 2022. Vol. 32. No. 5. pp. 615-618.
RIS
 | 
Cite this
RIS Copy
TY - JOUR
DO - 10.1016/j.mencom.2022.09.015
UR - https://mendcomm.colab.ws/publications/10.1016/j.mencom.2022.09.015
TI - Simultaneous formation of P–C/P–O-cage phosphoranes in the reaction of 2-[(2-methylcarbonyl)phenyloxy]-4,4,5,5-tetramethyl-1,3,2-dioxaphospholane with hexafluoroacetone
T2 - Mendeleev Communications
AU - Mironov, Vladimir Fedorovich
AU - Dimukhametov, Mudaris Nurgaleevich
AU - Litvinov, Igor Anatol'evich
AU - Gubaidullin, Aidar Timergalievich
PY - 2022
DA - 2022/09/05
PB - Mendeleev Communications
SP - 615-618
IS - 5
VL - 32
ER -
BibTex
 | 
Cite this
BibTex (up to 50 authors) Copy
@article{2022_Mironov,
author = {Vladimir Fedorovich Mironov and Mudaris Nurgaleevich Dimukhametov and Igor Anatol'evich Litvinov and Aidar Timergalievich Gubaidullin},
title = {Simultaneous formation of P–C/P–O-cage phosphoranes in the reaction of 2-[(2-methylcarbonyl)phenyloxy]-4,4,5,5-tetramethyl-1,3,2-dioxaphospholane with hexafluoroacetone},
journal = {Mendeleev Communications},
year = {2022},
volume = {32},
publisher = {Mendeleev Communications},
month = {Sep},
url = {https://mendcomm.colab.ws/publications/10.1016/j.mencom.2022.09.015},
number = {5},
pages = {615--618},
doi = {10.1016/j.mencom.2022.09.015}
}
MLA
Cite this
MLA Copy
Mironov, Vladimir Fedorovich, et al. “Simultaneous formation of P–C/P–O-cage phosphoranes in the reaction of 2-[(2-methylcarbonyl)phenyloxy]-4,4,5,5-tetramethyl-1,3,2-dioxaphospholane with hexafluoroacetone.” Mendeleev Communications, vol. 32, no. 5, Sep. 2022, pp. 615-618. https://mendcomm.colab.ws/publications/10.1016/j.mencom.2022.09.015.

Keywords

1,3,2-dioxaphospholanes
aldol reaction
cage phosphoranes
hexafluoroacetone
PCO/POC-rearrangement
spirophosphoranes

Abstract

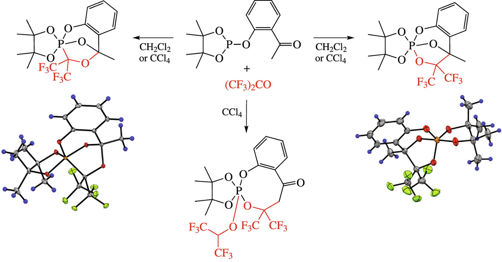
Reaction of 2-[(2-methylcarbonyl)phenyloxy]-4,4,5,5-tetra-methyl-1,3,2-dioxaphospholane with hexafluoroacetone leads to the simultaneous formation of two P–C/P–O-cage phosphoranes. The P–C-cage species does not convert to the P–O-cage one neither under the kinetically (3 years, 20–25 °C, dichloromethane) nor under the thermo-dynamically controlled conditions (110 °C, toluene, 8 h).

References

1.
Nucleophilic substitution at phosphorus: stereochemistry and mechanisms
2.
Nucleophilic Neutralization of Organophosphates: Lack of Selectivity or Plenty of Versatility?
Silva V.B., Campos R.B., Pavez P., Medeiros M., Orth E.S.
Chemical Record, 2021
3.
Mechanistic Insights into Promoted Hydrolysis of Phosphoester Bonds by MoO2Cl2(DMF)2
Lanuza J., Sánchez−González Á., Bandeira N.A., Lopez X., Gil A.
Inorganic Chemistry, 2021
8.
10.1016/j.mencom.2022.09.015_h0040
Wilson
Ribozymes, 2021
9.
10.1016/j.mencom.2022.09.015_h0045
2021
10.
10.1016/j.mencom.2022.09.015_h0050
2021
11.
Nucleic Acid Catalysis under Potential Prebiotic Conditions
Le Vay K., Salibi E., Song E.Y., Mutschler H.
Chemistry - An Asian Journal, 2019
12.
Computational Exploration of a Redox-Neutral Organocatalytic Mitsunobu Reaction
Zou Y., Wong J.J., Houk K.N.
Journal of the American Chemical Society, 2020
14.
Heterobiaryl synthesis by contractive C–C coupling via P(V) intermediates
Hilton M.C., Zhang X., Boyle B.T., Alegre-Requena J.V., Paton R.S., McNally A.
Science, 2018
15.
Phosphorus-mediated sp2–sp3 couplings for C–H fluoroalkylation of azines
Zhang X., Nottingham K.G., Patel C., Alegre-Requena J.V., Levy J.N., Paton R.S., McNally A.
Nature, 2021
16.
P-Functionalized tetrathiafulvalenes from 1,3-dithiole-2-thiones?
Gese A., Akter M., Schnakenburg G., García Alcaraz A., Espinosa Ferao A., Streubel R.
New Journal of Chemistry, 2020
18.
Phosphine-Catalyzed Intermolecular Acylfluorination of Alkynes via a P(V) Intermediate
Fujimoto H., Kodama T., Yamanaka M., Tobisu M.
Journal of the American Chemical Society, 2020
19.
Three-Component Coupling of Acyl Fluorides, Silyl Enol Ethers, and Alkynes by P(III)/P(V) Catalysis
Fujimoto H., Kusano M., Kodama T., Tobisu M.
Journal of the American Chemical Society, 2021
22.
All-carbon phosphoranes via difluorocarbene trapping.
Smirnov V.O., Volodin A.D., Korlyukov A.A., Dilman A.D.
Chemical Communications, 2021
23.
Easy wide scope access to luminescent fluorophosphoranes
Ponce-de-León J., Infante R., Espinet P.
Chemical Communications, 2021
26.
Rapid interconversion of diastereomers of [PdCl{P(OC6H4NMe)2}{P(OC6H4NMe)OC6H4NHMe}]
Carroll H.K., Brown M.L., Yap V.C., Magnuson J.R., Reich N.A., Macdonald A.G., Montgomery C.D.
Inorganica Chimica Acta, 2020
28.
Nemtarev A.V., Nasibullin I.O., Fayzullin R.R., Grigor’eva L.R., Mironov V.F.
Mendeleev Communications, 2020
29.
10.1016/j.mencom.2022.09.015_h0145
Ma
Tetrahedron, 2020
30.
Lewis Superacidic Catecholato Phosphonium Ions: Phosphorus–Ligand Cooperative C–H Bond Activation
Roth D., Stirn J., Stephan D.W., Greb L.
Journal of the American Chemical Society, 2021
31.
Oxyphosphoranes as precursors to bridging phosphate-catecholate ligands.
Yang X., Wei R., Shi Y., Liu L.L., Wu Y., Zhao Y., Stephan D.W.
Chemical Communications, 2021
32.
Tris(pentafluoroethyl)difluorophosphorane and N ‐Heterocyclic Carbenes: Adduct Formation and Frustrated Lewis Pair Reactivity
Föhrenbacher S.A., Zeh V., Krahfuss M.J., Ignat'ev N.V., Finze M., Radius U.
European Journal of Inorganic Chemistry, 2021
33.
Tris(pentafluoroethyl)difluorophosphorane: A Versatile Fluoride Acceptor for Transition Metal Chemistry
Föhrenbacher S.A., Krahfuss M.J., Zapf L., Friedrich A., Ignat'ev N.V., Finze M., Radius U.
Chemistry - A European Journal, 2021
34.
Investigation of the Stereochemical Mechanism of the Nucleophilic Substitution Reaction at Pentacoordinate Phosphorus of Spirophosphorane.
35.
A convenient access to fluorophosphonium triflate salts by electrophilic fluorination and anion exchange
Guo C., Yogendra S., Gomila R.M., Frontera A., Hennersdorf F., Steup J., Schwedtmann K., Weigand J.J.
Inorganic Chemistry Frontiers, 2021
36.
Ishikawa's Reagent – a Valuable Source for Fluoroorganic Iminium Salts
Keßler M., Neumann B., Stammler H., Hoge B.
Zeitschrift fur Anorganische und Allgemeine Chemie, 2020
37.
Pajkert R., Röschenthaler G.
Organophosphorus Chemistry, 2021
39.
Stereoselective PCO/POC-Rearrangement of P-C-Cage Phosphorane in the Reaction of 4,5-Dimethyl-2-(2-oxo-1,2-diphenyl)ethoxy-1,3,2-dioxaphospholane with Hexafluoroacetone
Mironov V.F., Dimukhametov M.N., Efimov S.V., Aminova R.M., Karataeva F.K., Krivolapov D.B., Mironova E.V., Klochkov V.V.
Journal of Organic Chemistry, 2016
41.
G. Sheldrick, SADABS, Program for Empirical X-ray Absorption Correction, Bruker-Nonius, 1990–2004.
42.
APEX2 (Version 2.1), SAINTPlus, Data Reduction and Correction Program (Version 7.31A), Bruker AXS, Madison, WI, 2006.
43.
SHELXT– Integrated space-group and crystal-structure determination
Sheldrick G.M.
Acta Crystallographica Section A: Foundations and Advances, 2015
44.
Crystal structure refinement withSHELXL
Sheldrick G.M.
Acta crystallographica. Section C, Structural chemistry, 2015
45.
WinGXandORTEP for Windows: an update
Farrugia L.J.
Journal of Applied Crystallography, 2012
46.
10.1016/j.mencom.2022.09.015_b0100
Spek
Acta Crystallogr., 2009
47.
Mercury: visualization and analysis of crystal structures
Macrae C.F., Edgington P.R., McCabe P., Pidcock E., Shields G.P., Taylor R., Towler M., van de Streek J.
Journal of Applied Crystallography, 2006