Home / Publications / Cascade transformation of 4-hydroxymethyl-2-carene into novel cage methanopyrano[4,3-b]thieno[3,2-g]benzofuran derivative

Cascade transformation of 4-hydroxymethyl-2-carene into novel cage methanopyrano[4,3-b]thieno[3,2-g]benzofuran derivative

Nikolai Sergeevich Li-Zhulanov 1
Nikolai Sergeevich Li-Zhulanov
Irina Valer'evna Il'ina 1
Irina Valer'evna Il'ina
Alexander Yu Sidorenko 2
Alexander Yu Sidorenko
Dina Vladimirovna Korchagina 1
Dina Vladimirovna Korchagina
Konstantin Petrovich Volcho 1
Konstantin Petrovich Volcho
Vladimir Enokovich Agabekov 2
Vladimir Enokovich Agabekov
Nariman Faridovich Salakhutdinov 1
Nariman Faridovich Salakhutdinov
Published 2022-07-01
CommunicationVolume 32, Issue 4, 443-445
6
Share
Cite this
GOST
 | 
Cite this
GOST Copy
Li-Zhulanov N. S. et al. Cascade transformation of 4-hydroxymethyl-2-carene into novel cage methanopyrano[4,3-b]thieno[3,2-g]benzofuran derivative // Mendeleev Communications. 2022. Vol. 32. No. 4. pp. 443-445.
GOST all authors (up to 50) Copy
Li-Zhulanov N. S., Il'ina I. V., Sidorenko A. Yu., Korchagina D. V., Volcho K. P., Agabekov V. E., Salakhutdinov N. F. Cascade transformation of 4-hydroxymethyl-2-carene into novel cage methanopyrano[4,3-b]thieno[3,2-g]benzofuran derivative // Mendeleev Communications. 2022. Vol. 32. No. 4. pp. 443-445.
RIS
 | 
Cite this
RIS Copy
TY - JOUR
DO - 10.1016/j.mencom.2022.07.005
UR - https://mendcomm.colab.ws/publications/10.1016/j.mencom.2022.07.005
TI - Cascade transformation of 4-hydroxymethyl-2-carene into novel cage methanopyrano[4,3-b]thieno[3,2-g]benzofuran derivative
T2 - Mendeleev Communications
AU - Li-Zhulanov, Nikolai Sergeevich
AU - Il'ina, Irina Valer'evna
AU - Sidorenko, Alexander Yu
AU - Korchagina, Dina Vladimirovna
AU - Volcho, Konstantin Petrovich
AU - Agabekov, Vladimir Enokovich
AU - Salakhutdinov, Nariman Faridovich
PY - 2022
DA - 2022/07/01
PB - Mendeleev Communications
SP - 443-445
IS - 4
VL - 32
ER -
BibTex
 | 
Cite this
BibTex (up to 50 authors) Copy
@article{2022_Li-Zhulanov,
author = {Nikolai Sergeevich Li-Zhulanov and Irina Valer'evna Il'ina and Alexander Yu Sidorenko and Dina Vladimirovna Korchagina and Konstantin Petrovich Volcho and Vladimir Enokovich Agabekov and Nariman Faridovich Salakhutdinov},
title = {Cascade transformation of 4-hydroxymethyl-2-carene into novel cage methanopyrano[4,3-b]thieno[3,2-g]benzofuran derivative},
journal = {Mendeleev Communications},
year = {2022},
volume = {32},
publisher = {Mendeleev Communications},
month = {Jul},
url = {https://mendcomm.colab.ws/publications/10.1016/j.mencom.2022.07.005},
number = {4},
pages = {443--445},
doi = {10.1016/j.mencom.2022.07.005}
}
MLA
Cite this
MLA Copy
Li-Zhulanov, Nikolai Sergeevich, et al. “Cascade transformation of 4-hydroxymethyl-2-carene into novel cage methanopyrano[4,3-b]thieno[3,2-g]benzofuran derivative.” Mendeleev Communications, vol. 32, no. 4, Jul. 2022, pp. 443-445. https://mendcomm.colab.ws/publications/10.1016/j.mencom.2022.07.005.

Keywords

carene
clays
halloysite
heterogeneous catalysis
montmorillonite K10
pyrano[4,3-b]thieno[3,2-g]benzofuran
terpenoids
thiophene-2-carbaldehyde

Abstract

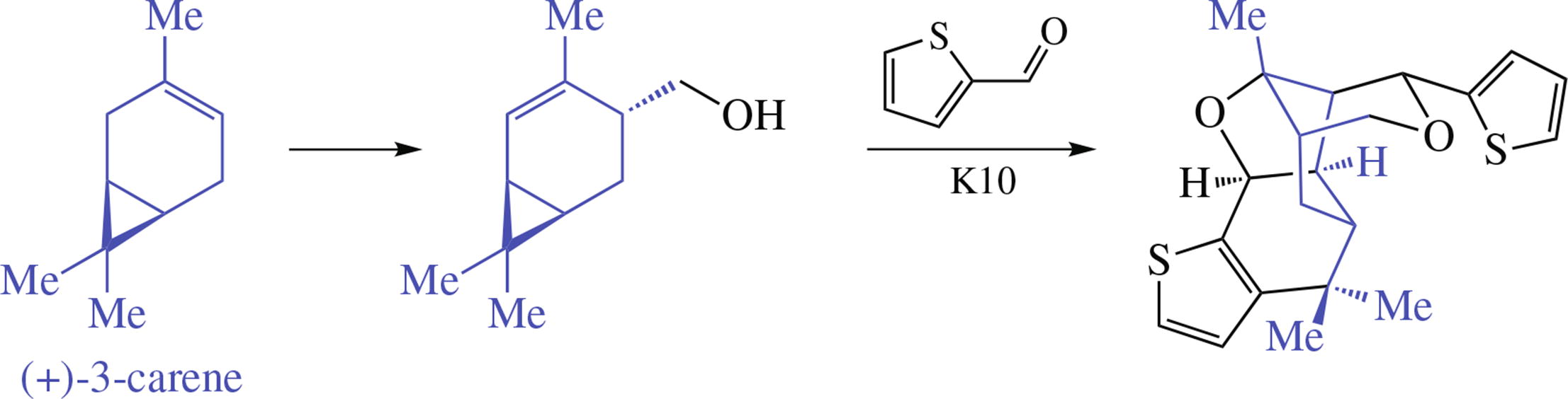
Reaction of trans-4-hydroxymethyl-2-carene with thiophene- 2-carbaldehyde under heterogeneous catalysis by K10 clay affordsubstitutedmethanopyrano[4,3-b]thieno[3,2-g]- benzofuran, a complex 5-membered chiral cage heterocyclic compound containing two thiophene moieties. Its structure was determined by 1D and 2D NMR experiments (HSQC, HMBC, COSY, NOESY) and HRMS.

References

1.
Catalytic synthesis of terpenoid-derived hexahydro-2H-chromenes with analgesic activity over halloysite nanotubes
Sidorenko A.Y., Kurban Y.M., Il'ina I.V., Li-Zhulanov N.S., Korchagina D.V., Ardashov O.V., Wärnå J., Volcho K.P., Salakhutdinov N.F., Murzin D.Y., Agabekov V.E.
Applied Catalysis A: General, 2021
2.
Synthesis of isobenzofuran derivatives from renewable 2-carene over halloysite nanotubes
Sidorenko A.Y., Kravtsova A.V., Mäki-Arvela P., Aho A., Sandberg T., Il'ina I.V., Li-Zhulanov N.S., Korchagina D.V., Volcho K.P., Salakhutdinov N.F., Murzin D.Y., Agabekov V.E.
Molecular Catalysis, 2020
3.
Monoterpenes as a renewable source of biologically active compounds
Salakhutdinov N.F., Volcho K.P., Yarovaya O.I.
Pure and Applied Chemistry, 2017
4.
Mono- and sesquiterpenes as a starting platform for the development of antiviral drugs
Yarovaya O.I., Salakhutdinov N.F.
Russian Chemical Reviews, 2021
5.
10.1016/j.mencom.2022.07.005_b0025
de Alvarenga
Crit. Rev. Food Sci. Nutr., 2021
7.
10.1016/j.mencom.2022.07.005_b0035
Kozioł
Med. Chem., 2014
8.
A Systematic Review of the Wound-Healing Effects of Monoterpenes and Iridoid Derivatives
Barreto R., Albuquerque-Júnior R., Araújo A., Almeida J., Santos M., Barreto A., DeSantana J., Siqueira-Lima P., Quintans J., Quintans-Júnior L.
Molecules, 2014
9.
10.1016/j.mencom.2022.07.005_b0045
Dragomanova
Scr. Sci. Pharm., 2018
10.
Antibacterial and antifungal activities of thymol: A brief review of the literature.
Marchese A., Orhan I.E., Daglia M., Barbieri R., Di Lorenzo A., Nabavi S.F., Gortzi O., Izadi M., Nabavi S.M.
Food Chemistry, 2016
11.
Thymol Chemistry: A Medicinal Toolbox
Jyoti, Dheer D., Singh D., Kumar G., Karnatak M., Chandra S., Prakash Verma V., Shankar R.
Current Bioactive Compounds, 2018
12.
Natural Monoterpenes: Much More than Only a Scent
Wojtunik‐Kulesza K.A., Kasprzak K., Oniszczuk T., Oniszczuk A.
Chemistry and Biodiversity, 2019
13.
Ten-Step Asymmetric Total Synthesis of (+)-Pepluanol A
Yuan P., Gerlinger C.K., Herberger J., Gaich T.
Journal of the American Chemical Society, 2021
14.
Total Synthesis of ent-Plagiochianin B
Jackson R.K., Wood J.L.
Organic Letters, 2021
15.
Synthesis and antifungal activity of monoterpenoids of the carane series
Nikitina L.E., Startseva V.A., Artemova N.P., Dorofeeva L.Y., Kuznetsov I.V., Lisovskaya S.A., Glushko N.P., Kutyreva M.P.
Pharmaceutical Chemistry Journal, 2012
16.
Antifungal activity of bicyclic monoterpenoids and terpenesulfides
Nikitina L.E., Startseva V.A., Dorofeeva L.Y., Artemova N.P., Kuznetsov I.V., Lisovskaya S.A., Glushko N.P.
Chemistry of Natural Compounds, 2010
17.
Stereoselective Synthesis of Carane-Type Hydroxythiols and Disulfides Based on Them
Banina O.A., Sudarikov D.V., Slepukhin P.A., Frolova L.L., Kuchin A.V.
Chemistry of Natural Compounds, 2016
18.
Synthesis from Δ3-Carene of Optically Active Macrolides with Fragments of Di- and Triethyleneglycol and Hydrazides of Dicarboxylic Acids
Yakovleva M.P., Denisova K.S., Mingaleeva G.R., Myasoedova Y.V., Garifullina L.R., Ishmuratova N.M., Ishmuratov G.Y.
Chemistry of Natural Compounds, 2020
19.
Transformations of Peroxide Ozonolysis Products of (–)-α-Pinene and (+)-3-Carene by the Action of 4-Hydroxybenzohydrazide
Myasoedova Y.V., Nurieva E.R., Garifullina L.R., Ishmuratov G.Y.
Russian Journal of Organic Chemistry, 2020
21.
Synthesis of Aminoalkylated Aziridines from (+)-3-Carene
Curlat S.N., Barba A.N., Boldescu V.V., Panekok K., Macaev F.Z.
Chemistry of Natural Compounds, 2019
23.
Clays catalyzed cascade Prins and Prins-Friedel-Crafts reactions for synthesis of terpenoid-derived polycyclic compounds
Sidorenko A.Y., Kurban Y.M., Kravtsova A.V., Il'ina I.V., Li-Zhulanov N.S., Korchagina D.V., Sánchez-Velandia J.E., Aho A., Volcho K.P., Salakhutdinov N.F., Murzin D.Y., Agabekov V.E.
Applied Catalysis A: General, 2022
24.
Synthesis of oxygen-containing heterocyclic compounds based on monoterpenoids
Patrusheva O.S., Volcho K.P., Salakhutdinov N.F.
Russian Chemical Reviews, 2018
25.
New reactions of isoprenoid olefins with aldehydes promoted by Al2O3-SiO2 catalysts
Salakhutdinov N.F., Volcho K.P., Il'ina I.V., Korchagina D.V., Tatarova L.E., Barkhash V.A.
Tetrahedron, 1998
26.
The short way to chiral compounds with hexahydrofluoreno[9,1-bc]furan framework: synthesis and cytotoxic activity.
Kurbakova S.Y., Il‘ina I.V., Mikhalchenko O.S., Pokrovsky M.A., Korchagina D.V., Volcho K.P., Pokrovsky A.G., Salakhutdinov N.F.
Bioorganic and Medicinal Chemistry, 2015
28.
Unusual Reactions of (+)-Car-2-ene and (+)-Car-3-ene with Aldehydes on K10 Clay
Il'ina I.V., Volcho K.P., Korchagina D.V., Salnikov G.E., Genaev A.M., Karpova E.V., Salakhutdinov N.F.
Helvetica Chimica Acta, 2010