Home / Publications / Design and synthesis of alepterolic acid and 5-fluorouracil conjugates as potential anticancer agents

Design and synthesis of alepterolic acid and 5-fluorouracil conjugates as potential anticancer agents

4
Share
Cite this
GOST
 | 
Cite this
GOST Copy
Jin X. et al. Design and synthesis of alepterolic acid and 5-fluorouracil conjugates as potential anticancer agents // Mendeleev Communications. 2022. Vol. 32. No. 3. pp. 364-366.
GOST all authors (up to 50) Copy
Jin X., Yang T., Xia C., Wang N., Liu Z., Cao J., Ma L., Huang G. Design and synthesis of alepterolic acid and 5-fluorouracil conjugates as potential anticancer agents // Mendeleev Communications. 2022. Vol. 32. No. 3. pp. 364-366.
RIS
 | 
Cite this
RIS Copy
TY - JOUR
DO - 10.1016/j.mencom.2022.05.024
UR - https://mendcomm.colab.ws/publications/10.1016/j.mencom.2022.05.024
TI - Design and synthesis of alepterolic acid and 5-fluorouracil conjugates as potential anticancer agents
T2 - Mendeleev Communications
AU - Jin, Xin
AU - Yang, Tingting
AU - Xia, Chenlu
AU - Wang, Nina
AU - Liu, Zi
AU - Cao, Jianguo
AU - Ma, Liang
AU - Huang, Guozheng
PY - 2022
DA - 2022/04/29
PB - Mendeleev Communications
SP - 364-366
IS - 3
VL - 32
ER -
BibTex
 | 
Cite this
BibTex (up to 50 authors) Copy
@article{2022_Jin,
author = {Xin Jin and Tingting Yang and Chenlu Xia and Nina Wang and Zi Liu and Jianguo Cao and Liang Ma and Guozheng Huang},
title = {Design and synthesis of alepterolic acid and 5-fluorouracil conjugates as potential anticancer agents},
journal = {Mendeleev Communications},
year = {2022},
volume = {32},
publisher = {Mendeleev Communications},
month = {Apr},
url = {https://mendcomm.colab.ws/publications/10.1016/j.mencom.2022.05.024},
number = {3},
pages = {364--366},
doi = {10.1016/j.mencom.2022.05.024}
}
MLA
Cite this
MLA Copy
Jin, Xin, et al. “Design and synthesis of alepterolic acid and 5-fluorouracil conjugates as potential anticancer agents.” Mendeleev Communications, vol. 32, no. 3, Apr. 2022, pp. 364-366. https://mendcomm.colab.ws/publications/10.1016/j.mencom.2022.05.024.

Keywords

5-fluorouracil
alepterolic acid
amination
anticancer
conjugate
coupling
piperazine

Abstract

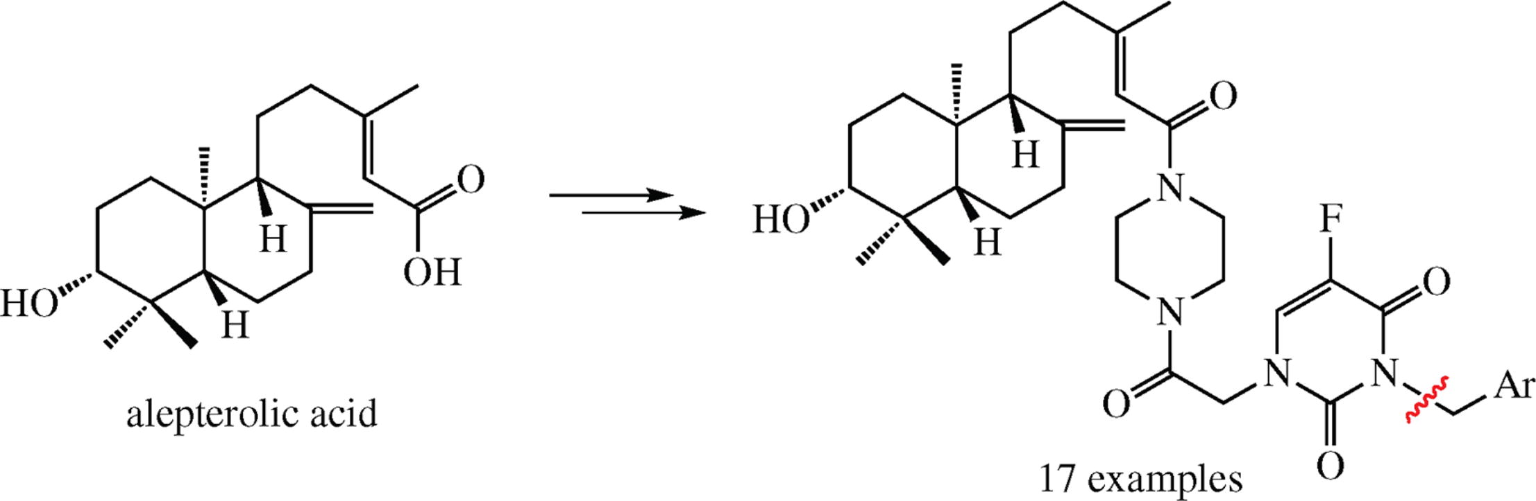
Conjugates of alepterolic acid with 5-fluorouracil derivatives have been synthesized in 70–90% yields. The cytotoxic evaluation against two human cancer cell lines, viz. MCF-7 (breast) and A549 (lung), using MTT assay showed anticancer activities of the obtained compounds.

References

1.
10.1016/j.mencom.2022.05.024_b0005
Ageta
Proc. Symp. Nat. Org. Compd., 1962
2.
Diterpenes of Cheilanthes argentea, a Fern from Asia
Wollenweber E., Rüedi P., Seigler D.S.
Zeitschrift fur Naturforschung - Section C Journal of Biosciences, 1982
3.
Copalic acid analogs down-regulate androgen receptor and inhibit small chaperone protein
Idippily N.D., Zheng Q., Gan C., Quamine A., Ashcraft M.M., Zhong B., Su B.
Bioorganic and Medicinal Chemistry Letters, 2017
4.
Incorporation of amino moiety to alepterolic acid improve activity against cancer cell lines: Synthesis and biological evaluation
Zhang S., Feng N., Huang J., Wang M., Zhang L., Yu J., Dai X., Cao J., Huang G.
Bioorganic Chemistry, 2020
5.
5-Fluorouracil: mechanisms of action and clinical strategies
Longley D.B., Harkin D.P., Johnston P.G.
Nature Reviews Cancer, 2003
6.
Development of 5-Fluorouracil Derivatives as Anticancer Agents
Pan X., Wang C., Wang F., Li P., Hu Z., Shan Y., Zhang J.
Current Medicinal Chemistry, 2011
7.
10.1016/j.mencom.2022.05.024_b0035
Chang
J. Med. Chem., 2021
8.
The synergism and attenuation effect of Selenium (Se)-enriched Grifola frondosa (Se)-polysaccharide on 5-Fluorouracil (5-Fu) in Heps-bearing mice
Mao G., Li Q., Deng C., Wang Y., Ding Y., Zhang W., Chen Y., Zhao T., Wei F., Yang L., Wu X.
International Journal of Biological Macromolecules, 2018
9.
Immunological evaluation of personalized peptide vaccination in combination with a 5-fluorouracil derivative (TS-1) for advanced gastric or colorectal carcinoma patients
Sato Y., Fujiwara T., Mine T., Shomura H., Homma S., Maeda Y., Tokunaga N., Ikeda Y., Ishihara Y., Yamada A., Tanaka N., Itoh K., Harada M., Todo S.
Cancer Science, 2007
10.
Fluoropyrimidin-2,4-dihydroxy-5-isopropylbenzamides as antitumor agents against CRC and NSCLC cancer cells
Wu W., Liu Y., Liao Y., Hsu K., Lien S., Chen I., Lai M., Li Y., Pan S., Chen M., Liou J.
European Journal of Medicinal Chemistry, 2020
11.
Small molecule-drug conjugates: A novel strategy for cancer-targeted treatment
Zhuang C., Guan X., Ma H., Cong H., Zhang W., Miao Z.
European Journal of Medicinal Chemistry, 2019
13.
Design and synthesis of parthenolide and 5-fluorouracil conjugates as potential anticancer agents against drug resistant hepatocellular carcinoma
Ding Y., Li S., Ge W., Liu Z., Zhang X., Wang M., Chen T., Chen Y., Zhang Q.
European Journal of Medicinal Chemistry, 2019
15.
A Designed 5-Fluorouracil-Based Bridged Silsesquioxane as an Autonomous Acid-Triggered Drug-Delivery System
Giret S., Théron C., Gallud A., Maynadier M., Gary-Bobo M., Garcia M., Wong Chi Man M., Carcel C.
Chemistry - A European Journal, 2013
16.
Improved Chemical Syntheses of 5,6-Dihydro-5-fluorouracil
LaFrate A.L., Katzenellenbogen J.A.
Journal of Organic Chemistry, 2007