Home / Publications / Dinuclear ReI complex based on 1,2,4,5-tetrakis(diphenylphosphino)- pyridine: synthesis and luminescence properties

Dinuclear ReI complex based on 1,2,4,5-tetrakis(diphenylphosphino)- pyridine: synthesis and luminescence properties

1
Share
Cite this
GOST
 | 
Cite this
GOST Copy
Petyuk M. Y. et al. Dinuclear ReI complex based on 1,2,4,5-tetrakis(diphenylphosphino)- pyridine: synthesis and luminescence properties // Mendeleev Communications. 2021. Vol. 31. No. 6. pp. 810-812.
GOST all authors (up to 50) Copy
Petyuk M. Y., Bagryanskaya I. Y., Artyushin O. I., Brel V. K., Artem’ev A. V. Dinuclear ReI complex based on 1,2,4,5-tetrakis(diphenylphosphino)- pyridine: synthesis and luminescence properties // Mendeleev Communications. 2021. Vol. 31. No. 6. pp. 810-812.
RIS
 | 
Cite this
RIS Copy
TY - JOUR
DO - 10.1016/j.mencom.2021.11.013
UR - https://mendcomm.colab.ws/publications/10.1016/j.mencom.2021.11.013
TI - Dinuclear ReI complex based on 1,2,4,5-tetrakis(diphenylphosphino)- pyridine: synthesis and luminescence properties
T2 - Mendeleev Communications
AU - Petyuk, Maxim Yuryevich
AU - Bagryanskaya, Irina Yur'evna
AU - Artyushin, Oleg Ivanovich
AU - Brel, Valery Kuzmich
AU - Artem’ev, Alexandr Viktorovich
PY - 2021
DA - 2021/11/08
PB - Mendeleev Communications
SP - 810-812
IS - 6
VL - 31
ER -
BibTex
 | 
Cite this
BibTex (up to 50 authors) Copy
@article{2021_Petyuk,
author = {Maxim Yuryevich Petyuk and Irina Yur'evna Bagryanskaya and Oleg Ivanovich Artyushin and Valery Kuzmich Brel and Alexandr Viktorovich Artem’ev},
title = {Dinuclear ReI complex based on 1,2,4,5-tetrakis(diphenylphosphino)- pyridine: synthesis and luminescence properties},
journal = {Mendeleev Communications},
year = {2021},
volume = {31},
publisher = {Mendeleev Communications},
month = {Nov},
url = {https://mendcomm.colab.ws/publications/10.1016/j.mencom.2021.11.013},
number = {6},
pages = {810--812},
doi = {10.1016/j.mencom.2021.11.013}
}
MLA
Cite this
MLA Copy
Petyuk, Maxim Yuryevich, et al. “Dinuclear ReI complex based on 1,2,4,5-tetrakis(diphenylphosphino)- pyridine: synthesis and luminescence properties.” Mendeleev Communications, vol. 31, no. 6, Nov. 2021, pp. 810-812. https://mendcomm.colab.ws/publications/10.1016/j.mencom.2021.11.013.

Keywords

halocarbonyl complexes
phosphorescence
rhenium (I)
synthesis
tetraphosphine ligands

Abstract

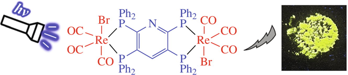
The reaction of 1,2,4,5-tetrakis(diphenylphosphino)pyridine (L) with Re(CO)5Br (in a molar ratio of 1:2) leads to the bis-chelated complex [Re2(CO)6(L)Br2] in 95% yield. At ambient temperature, the solid complex exhibits green phosphorescence (λmax = 535 nm) with a quantum yield of 12% and a lifetime of 90 μs.

References

2.
Long-lived, highly luminescent rhenium(I) complexes as molecular probes: intra- and intermolecular excited-state interactions
Sacksteder L., Lee M., Demas J.N., DeGraff B.A.
Journal of the American Chemical Society, 1993
3.
Luminescence Modulations of Rhenium Tricarbonyl Complexes Induced by Structural Variations
Bertrand H.C., Clède S., Guillot R., Lambert F., Policar C.
Inorganic Chemistry, 2014
5.
Long‐Lived Circularly Polarized Phosphorescence in Helicene‐NHC Rhenium(I) Complexes: The Influence of Helicene, Halogen, and Stereochemistry on Emission Properties
Gauthier E.S., Abella L., Hellou N., Darquié B., Caytan E., Roisnel T., Vanthuyne N., Favereau L., Srebro‐Hooper M., Williams J.A., Autschbach J., Crassous J.
Angewandte Chemie, 2020
6.
Rhenium (I) Complexes as Probes for Prokaryotic and Fungal Cells by Fluorescence Microscopy: Do Ligands Matter?
Otero C., Carreño A., Polanco R., Llancalahuen F.M., Arratia-Pérez R., Gacitúa M., Fuentes J.A.
Frontiers in Chemistry, 2019
7.
Substituted bidentate and ancillary ligands modulate the bioimaging properties of the classical Re(i) tricarbonyl core with yeasts and bacteria
Carreño A., Aros A.E., Otero C., Polanco R., Gacitúa M., Arratia-Pérez R., Fuentes J.A.
New Journal of Chemistry, 2017
10.
Recent Emergence of Rhenium(I) Tricarbonyl Complexes as Photosensitisers for Cancer Therapy
Liew H.S., Mai C., Zulkefeli M., Madheswaran T., Kiew L.V., Delsuc N., Low M.L.
Molecules, 2020
11.
Synthesis and Characterization of a Multicomponent Rhenium(I) Complex for Application as an OLED Dopant
Lundin N.J., Blackman A.G., Gordon K.C., Officer D.L.
Angewandte Chemie - International Edition, 2006
12.
Methylated Re(i) tetrazolato complexes: photophysical properties and Light Emitting Devices
Werrett M.V., Huff G.S., Muzzioli S., Fiorini V., Zacchini S., Skelton B.W., Maggiore A., Malicka J.M., Cocchi M., Gordon K.C., Stagni S., Massi M.
Dalton Transactions, 2015
14.
New dinuclear hydrido-carbonyl rhenium complexes designed as photosensitizers in dye-sensitized solar cells
Veronese L., Procopio E.Q., De Rossi F., Brown T.M., Mercandelli P., Mussini P., D'Alfonso G., Panigati M.
New Journal of Chemistry, 2016
15.
Triarylamine-based hydrido-carboxylate rhenium(i) complexes as photosensitizers for dye-sensitized solar cells
Veronese L., Quartapelle Procopio E., Moehl T., Panigati M., Nonomura K., Hagfeldt A.
Physical Chemistry Chemical Physics, 2019
16.
Photochemistry and photocatalysis of rhenium(I) diimine complexes
Takeda H., Koike K., Morimoto T., Inumaru H., Ishitani O.
Advances in Inorganic Chemistry, 2011
17.
Rhenium(I) Complexes with Alkynylphosphane Ligands: Structural, Photophysical, and Theoretical Studies
Kondrasenko I., Kisel K.S., Karttunen A.J., Jänis J., Grachova E.V., Tunik S.P., Koshevoy I.O.
European Journal of Inorganic Chemistry, 2015
19.
Dinuclear Ag(I) Complex Designed for Highly Efficient Thermally Activated Delayed Fluorescence.
Shafikov M.Z., Suleymanova A.F., Schinabeck A., Yersin H.
Journal of Physical Chemistry Letters, 2018
20.
Symmetry-Based Design Strategy for Unprecedentedly Fast Decaying Thermally Activated Delayed Fluorescence (TADF). Application to Dinuclear Cu(I) Compounds
Schinabeck A., Chen J., Kang L., Teng T., Homeier H.H., Suleymanova A.F., Shafikov M.Z., Yu R., Lu C., Yersin H.
Chemistry of Materials, 2019
21.
Luminescence Thermochromism of Gold(I) Phosphane-Iodide Complexes: A Rule or an Exception?
Glebko N., Dau T.M., Melnikov A.S., Grachova E.V., Solovyev I.V., Belyaev A., Karttunen A.J., Koshevoy I.O.
Chemistry - A European Journal, 2018
22.
A dinuclear Re(I) tricarbonyl complex showing thermochromic luminescence
Petyuk M.Y., Berezin A.S., Bagryanskaya I.Y., Artyushin O.I., Brel V.K., Artem'ev A.V.
Inorganic Chemistry Communication, 2020
23.
Artyushin O.I., Vologzhanina A.V., Turanov A.N., Karandashev V.K., Brel V.K.
Mendeleev Communications, 2021
24.
Crystal structure refinement withSHELXL
Sheldrick G.M.
Acta crystallographica. Section C, Structural chemistry, 2015
25.
SADABS, version 2008-1, Bruker AXS, Madison, WI, 2008.