Home / Publications / Synthesis and properties of novel energetic (cyano-NNO-azoxy)furazans

Synthesis and properties of novel energetic (cyano-NNO-azoxy)furazans

Nikita E Leonov 1
Nikita E Leonov
Fedor Mikhailovich Sidorov 1, 2
Fedor Mikhailovich Sidorov
Aleksandr Mikhailovich Churakov
Yurii Andreevich Strelenko 1
Yurii Andreevich Strelenko
Alevtina Nikolaevna Pivkina 3
Alevtina Nikolaevna Pivkina
Ivan Vladimirovich Fedyanin
Tatiana Sergeevna Kon'kova 3
Tatiana Sergeevna Kon'kova
Yurii Nikolaevich Matyushin 3
Yurii Nikolaevich Matyushin
Vladimir Alexandrovich Tartakovsky
Published 2021-11-08
CommunicationVolume 31, Issue 6, 792-794
11
Share
Cite this
GOST
 | 
Cite this
GOST Copy
Leonov N. E. et al. Synthesis and properties of novel energetic (cyano-NNO-azoxy)furazans // Mendeleev Communications. 2021. Vol. 31. No. 6. pp. 792-794.
GOST all authors (up to 50) Copy
Leonov N. E., Sidorov F. M., Klenov M. S., Churakov A. M., Strelenko Y. A., Pivkina A. N., Fedyanin I. V., Lempert D. B., Kon'kova T. S., Matyushin Y. N., Tartakovsky V. A. Synthesis and properties of novel energetic (cyano-NNO-azoxy)furazans // Mendeleev Communications. 2021. Vol. 31. No. 6. pp. 792-794.
RIS
 | 
Cite this
RIS Copy
TY - JOUR
DO - 10.1016/j.mencom.2021.11.007
UR - https://mendcomm.colab.ws/publications/10.1016/j.mencom.2021.11.007
TI - Synthesis and properties of novel energetic (cyano-NNO-azoxy)furazans
T2 - Mendeleev Communications
AU - Leonov, Nikita E
AU - Sidorov, Fedor Mikhailovich
AU - Klenov, Michael Sergeevich
AU - Churakov, Aleksandr Mikhailovich
AU - Strelenko, Yurii Andreevich
AU - Pivkina, Alevtina Nikolaevna
AU - Fedyanin, Ivan Vladimirovich
AU - Lempert, David Borisovich
AU - Kon'kova, Tatiana Sergeevna
AU - Matyushin, Yurii Nikolaevich
AU - Tartakovsky, Vladimir Alexandrovich
PY - 2021
DA - 2021/11/08
PB - Mendeleev Communications
SP - 792-794
IS - 6
VL - 31
ER -
BibTex
 | 
Cite this
BibTex (up to 50 authors) Copy
@article{2021_Leonov,
author = {Nikita E Leonov and Fedor Mikhailovich Sidorov and Michael Sergeevich Klenov and Aleksandr Mikhailovich Churakov and Yurii Andreevich Strelenko and Alevtina Nikolaevna Pivkina and Ivan Vladimirovich Fedyanin and David Borisovich Lempert and Tatiana Sergeevna Kon'kova and Yurii Nikolaevich Matyushin and Vladimir Alexandrovich Tartakovsky},
title = {Synthesis and properties of novel energetic (cyano-NNO-azoxy)furazans},
journal = {Mendeleev Communications},
year = {2021},
volume = {31},
publisher = {Mendeleev Communications},
month = {Nov},
url = {https://mendcomm.colab.ws/publications/10.1016/j.mencom.2021.11.007},
number = {6},
pages = {792--794},
doi = {10.1016/j.mencom.2021.11.007}
}
MLA
Cite this
MLA Copy
Leonov, Nikita E., et al. “Synthesis and properties of novel energetic (cyano-NNO-azoxy)furazans.” Mendeleev Communications, vol. 31, no. 6, Nov. 2021, pp. 792-794. https://mendcomm.colab.ws/publications/10.1016/j.mencom.2021.11.007.

Keywords

azoxy compounds
combustion calorimetry
cyano compounds
differential scanning calorimetry
enthalpy of formation
furazans
X-ray diffraction analysis

Abstract

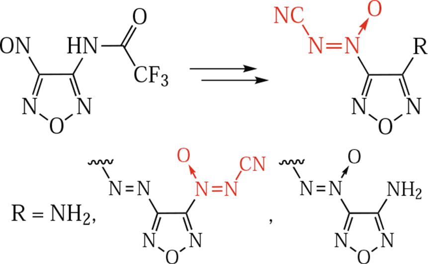
Three novel energetic furazans with a cyano-NNO-azoxy group were synthesized using cyanamide and 2,2,2-tri- fluoro-N-(4-nitrosofurazan-3-yl)acetamide as the starting compounds. (Cyano-NNO-azoxy)furazans obtained display high experimental enthalpies of formation (+742 to +1073 kcal kg−1), good thermal stability (Tonset = 193–222 °C) and moderate mechanical sensitivity. These compounds may be of interest as energetic fillers in solid fuels for ramjet engines and in solid composite propellants.

References

1.
An antibacterial and antifungal compound from .
Gasco A., Serafino A., Mortarini V., Menziani E., Bianco M.A., Ceruti Scurti J.
Tetrahedron Letters, 1974
2.
A new antibiotic, calvatic acid.
UMEZAWA H., TAKEUCHI T., IINUMA H., ITO M., ISHIZUKA M., KURAKATA Y., UMEDA Y., NAKANISHI Y., NAKAMURA T., OBAYASHI A., TANABE O.
Journal of Antibiotics, 1975
3.
Chemical and biological studies on calvatic acid and its analogs.
CALVINO R., FRUTTERO R., GASCO A., MIGLIETTA A., GABRIEL L.
Journal of Antibiotics, 1986
4.
10.1016/j.mencom.2021.11.007_b0020
Fruttero
Pharmazie, 1988
5.
10.1016/j.mencom.2021.11.007_b0025
Mortarini
Eur. J. Med. Chem. Ther., 1977
6.
Synthesis and in vitro antimicrobial activities of new (cyano-NNO-azoxy)pyrazole derivatives
Boschi D., Guglielmo S., Aiello S., Morace G., Borghi E., Fruttero R.
Bioorganic and Medicinal Chemistry Letters, 2011
7.
Calvatic Acid and Its Analogues as Agricultural Fungicides
Gray A.C., Kremp G., Naisby T.W., Petry T., Simon W., Wilkin J., Wood W.W.
ACS Symposium Series, 2001
8.
6-Cyclohexylmethoxy-5-(cyano-NNO-azoxy)pyrimidine-4-amine: A new scaffold endowed with potent CDK2 inhibitory activity
Boschi D., Tosco P., Chandra N., Chaurasia S., Fruttero R., Griffin R., Wang L., Gasco A.
European Journal of Medicinal Chemistry, 2013
10.
Phenylazoxycyanide damages microtubular protein more than its reference antibiotic, calvatic acid
11.
Antimicrotubular effect of calvatic acid and of some related compounds
Gadoni E., Gabriel L., Olivero A., Bocca C., Miglietta A.
Cell Biochemistry and Function, 1995
12.
10.1016/j.mencom.2021.11.007_b0060
Caccuri
Biochem. Mol. Biol. Int., 1994
13.
10.1016/j.mencom.2021.11.007_b0065
Brossa
Res. Commun. Chem. Pathol. Pharmacol., 1990
14.
The cyano-NNO-azoxy function in the design of an irreversible label for α1 adrenoreceptors
Sorba G., Di Stilo A., Medana C., Cena C., Gasco A., Orsetti M.
Bioorganic and Medicinal Chemistry, 1995
15.
10.1016/j.mencom.2021.11.007_b0075
Pepekin
Proceedings of 36th International Annual Conference of ICT, 2005
16.
Troitskaya-Markova N.A., Vlasova O.G., Godovikova T.I., Zlotin S.G., Rakitin O.A.
Mendeleev Communications, 2017
17.
Evaluation of Effectiveness of Solid Fuels Based on High Enthalpy Dispersants for Rocket Ramjet Engines
Yanovskii L.S., Lempert D.B., Raznoschikov V.V., Aver’kov I.S.
Russian Journal of Applied Chemistry, 2019
18.
D. B. Lempert, A. I. Kazakov, A. B. Sheremetev, A. G. Gladyshkin, A. V. Nabatova and L. S. Yanovskii, Russ. Chem. Bull., Int. Ed., 2019, 68, 1856 (Izv. Akad. Nauk, Ser. Khim., 2019, 1856).
19.
A. I. Kazakov, D. B. Lempert, A. V. Nabatova, D. V. Dashko, V. V. Raznoschikov, L. S. Yanovskii and S. M. Aldoshin, Russ. J. Appl.Chem., 2019, 92, 1696 (Zh. Prikl. Khim., 2019, 92, 1657).
21.
New regiospecific methods for the synthesis of N?-cyanodiazene N-oxides
Zlotin S.G., Airapetova N.V., Vinogradova E.A., Podgurskii A.I., Strelenko Y.A., Luk'yanov O.A.
Russian Chemical Bulletin, 1990
22.
Synthesis of New Energetic Materials Based on Furazan Rings and Nitro‐ NNO ‐azoxy Groups
Leonov N.E., Klenov M.S., Anikin O.V., Churakov A.M., Strelenko Y.A., Voronin A.A., Lempert D.B., Muravyev N.V., Fedyanin I.V., Semenov S.E., Tartakovsky V.A.
ChemistrySelect, 2020
23.
L. V. Batog, V. Yu. Rozhkov, E. V. Shatunova and M. I. Struchkova, Russ. Chem. Bull., Int. Ed., 2008, 57, 165 (Izv. Akad. Nauk, Ser. Khim., 2008, 159).
24.
NMR spectroscopic study of 3-nitrofurazans
Dmitriev D.E., Strelenko Y.A., Sheremetev A.B.
Russian Chemical Bulletin, 2013
25.
SHELXT– Integrated space-group and crystal-structure determination
Sheldrick G.M.
Acta Crystallographica Section A: Foundations and Advances, 2015
28.
Review on Melt Cast Explosives
Ravi P., Badgujar D.M., Gore G.M., Tewari S.P., Sikder A.K.
Propellants, Explosives, Pyrotechnics, 2011
29.
Energetic N-azidomethyl derivatives of polynitro hexaazaisowurtzitanes series: CL-20 analogues having the highest enthalpy
Luk′yanov O.A., Parakhin V.V., Shlykova N.I., Dmitrienko A.O., Melnikova E.K., Kon'kova T.S., Monogarov K.A., Meerov D.B.
New Journal of Chemistry, 2020
30.
V. I. Pepekin and Yu. A. Lebedev, Dokl. Akad. Nauk SSSR, 1977, 234, 1391 (in Russian).
31.
Sensitivity of energetic materials: Evidence of thermodynamic factor on a large array of CHNOFCl compounds
Muravyev N.V., Meerov D.B., Monogarov K.A., Melnikov I.N., Kosareva E.K., Fershtat L.L., Sheremetev A.B., Dalinger I.L., Fomenkov I.V., Pivkina A.N.
Chemical Engineering Journal, 2021