Home / Publications / Antitumor activity of phaeosphaeride A modified with nitrogen heterocyclic groups

Antitumor activity of phaeosphaeride A modified with nitrogen heterocyclic groups

Sofiya Andreevna Zakharenkova 1
Sofiya Andreevna Zakharenkova
Victoria Vadimovna Abzianidze 1
Victoria Vadimovna Abzianidze
Natalia Ivanovna Moiseeva 2
Natalia Ivanovna Moiseeva
Diana Sergeevna Lukina 1
Diana Sergeevna Lukina
Leonid Sergeevich Chistyi 1
Leonid Sergeevich Chistyi
Denis Victorovich Krivorotov 1
Denis Victorovich Krivorotov
Yury Georgievich Trishin 3
Yury Georgievich Trishin
Published 2021-09-08
CommunicationVolume 31, Issue 5, 662-663
4
Share
Cite this
GOST
 | 
Cite this
GOST Copy
Zakharenkova S. A. et al. Antitumor activity of phaeosphaeride A modified with nitrogen heterocyclic groups // Mendeleev Communications. 2021. Vol. 31. No. 5. pp. 662-663.
GOST all authors (up to 50) Copy
Zakharenkova S. A., Abzianidze V. V., Moiseeva N. I., Lukina D. S., Chistyi L. S., Krivorotov D. V., Trishin Y. G. Antitumor activity of phaeosphaeride A modified with nitrogen heterocyclic groups // Mendeleev Communications. 2021. Vol. 31. No. 5. pp. 662-663.
RIS
 | 
Cite this
RIS Copy
TY - JOUR
DO - 10.1016/j.mencom.2021.09.023
UR - https://mendcomm.colab.ws/publications/10.1016/j.mencom.2021.09.023
TI - Antitumor activity of phaeosphaeride A modified with nitrogen heterocyclic groups
T2 - Mendeleev Communications
AU - Zakharenkova, Sofiya Andreevna
AU - Abzianidze, Victoria Vadimovna
AU - Moiseeva, Natalia Ivanovna
AU - Lukina, Diana Sergeevna
AU - Chistyi, Leonid Sergeevich
AU - Krivorotov, Denis Victorovich
AU - Trishin, Yury Georgievich
PY - 2021
DA - 2021/09/08
PB - Mendeleev Communications
SP - 662-663
IS - 5
VL - 31
ER -
BibTex
 | 
Cite this
BibTex (up to 50 authors) Copy
@article{2021_Zakharenkova,
author = {Sofiya Andreevna Zakharenkova and Victoria Vadimovna Abzianidze and Natalia Ivanovna Moiseeva and Diana Sergeevna Lukina and Leonid Sergeevich Chistyi and Denis Victorovich Krivorotov and Yury Georgievich Trishin},
title = {Antitumor activity of phaeosphaeride A modified with nitrogen heterocyclic groups},
journal = {Mendeleev Communications},
year = {2021},
volume = {31},
publisher = {Mendeleev Communications},
month = {Sep},
url = {https://mendcomm.colab.ws/publications/10.1016/j.mencom.2021.09.023},
number = {5},
pages = {662--663},
doi = {10.1016/j.mencom.2021.09.023}
}
MLA
Cite this
MLA Copy
Zakharenkova, Sofiya Andreevna, et al. “Antitumor activity of phaeosphaeride A modified with nitrogen heterocyclic groups.” Mendeleev Communications, vol. 31, no. 5, Sep. 2021, pp. 662-663. https://mendcomm.colab.ws/publications/10.1016/j.mencom.2021.09.023.

Keywords

in vitro studies
anticancer agents
antitumor activity
etoposide
N-heterocyclic compounds
natural products
phaeosphaeride A
sulfides

Abstract

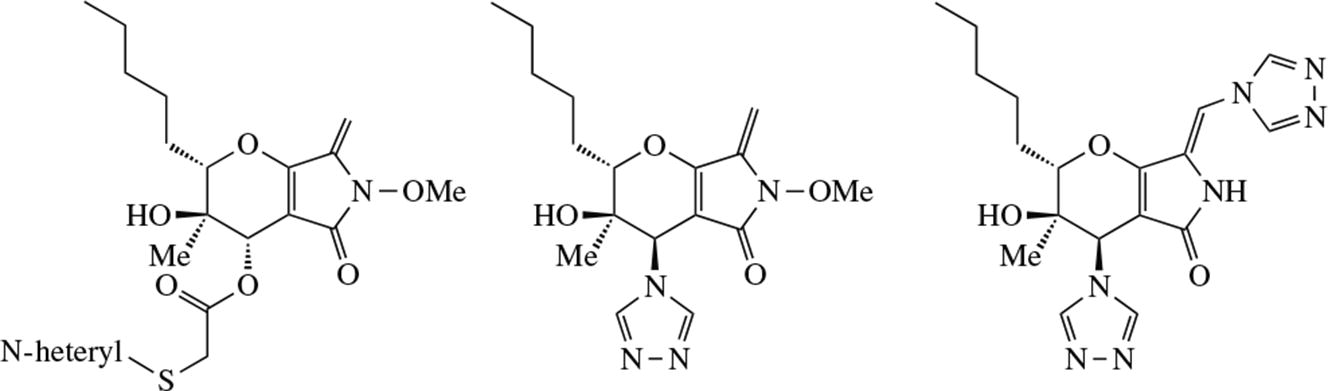
New C(6)-derivatives of natural phaeosphaeride A (PPA) modified with pharmacophoric nitrogen heterocyclic groups have been synthesized. The reaction of 1,2,4-triazole with PPA mesylate produced both the product of the expected substitution of the methanesulfonate group and the PPA derivative with two 1,2,4-triazole groups: at the C(6) atom and the exocyclic C=C bond. The synthesized compounds, with the exception of those containing two 1,2,4-triazole groups, are superior in cytotoxic activity to the original phaeosphaeride and the positive control, etoposide.

References

2.
Plants as a source of anti-cancer agents
Cragg G.M., Newman D.J.
Journal of Ethnopharmacology, 2005
3.
Natural products: A continuing source of novel drug leads
Cragg G.M., Newman D.J.
Biochimica et Biophysica Acta - General Subjects, 2013
4.
Natural Products as Sources of New Drugs from 1981 to 2014
Newman D.J., Cragg G.M.
Journal of Natural Products, 2016
5.
Phaeosphaeride A, an Inhibitor of STAT3-Dependent Signaling Isolated from an Endophytic Fungus
Maloney K.N., Hao W., Xu J., Gibbons J., Hucul J., Roll D., Brady S.F., Schroeder F.C., Clardy J.
Organic Letters, 2006
6.
A. O. Berestetskiy, E. V. Poluektova, S. V. Sokornova and Yu. S. Tokarev, Patent RF 2596928, 2016.
7.
Synthesis of natural phaeosphaeride A derivatives and an in vitro evaluation of their anti-cancer potential
Abzianidze V.V., Prokofieva D.S., Chisty L.A., Bolshakova K.P., Berestetskiy A.O., Panikorovskii T.L., Bogachenkov A.S., Holder A.A.
Bioorganic and Medicinal Chemistry Letters, 2015
8.
Abzianidze V.V., Bolshakova K.P., Prokofieva D.S., Berestetskiy A.O., Kuznetsov V.A., Trishin Y.G.
Mendeleev Communications, 2017
9.
Abzianidze V.V., Efimova K.P., Poluektova E.V., Trishin Y.G., Kuznetsov V.A.
Mendeleev Communications, 2017
10.
Synthesis and Biological Evaluation of Phaeosphaeride A Derivatives as Antitumor Agents
Abzianidze V., Beltyukov P., Zakharenkova S., Moiseeva N., Mejia J., Holder A., Trishin Y., Berestetskiy A., Kuznetsov V.
Molecules, 2018
11.
Towards lead compounds as anti-cancer agents via new phaeosphaeride A derivatives
Abzianidze V.V., Zakharenkova S.A., Moiseeva N.I., Beltyukov P.P., Polukeev V.A., Dubrovskii Y.A., Kuznetsov V.A., Trishin Y.G., Mejia J.E., Holder A.A.
Bioorganic and Medicinal Chemistry Letters, 2019
12.
Synthesis of novel β-substituted α,β-dehydroamino acid derivatives
Ferreira P.M., Maia H.L., Monteiro L.S., Sacramento J.
Tetrahedron Letters, 2000
13.
2-((Benzimidazol-2-yl)thio)-1-arylethan-1-ones: Synthesis, crystal study and cancer stem cells CD133 targeting potential
Abdel-Aziz H.A., Ghabbour H.A., Eldehna W.M., Al-Rashood S.T., Al-Rashood K.A., Fun H., Al-Tahhan M., Al-Dhfyan A.
European Journal of Medicinal Chemistry, 2015