Home / Publications / New n-type semiconductor material based on styryl fullerene for organic field-effect transistors

New n-type semiconductor material based on styryl fullerene for organic field-effect transistors

Airat Ramilevich Tuktarov 1
Airat Ramilevich Tuktarov
Nuri Mamedeevich Chobanov 1
Nuri Mamedeevich Chobanov
Zarema Rashitovna Sadretdinova 1
Zarema Rashitovna Sadretdinova
Renat Bayazitovich Salikhov 2
Renat Bayazitovich Salikhov
Ilnur Nailevich Mullagaliev 2
Ilnur Nailevich Mullagaliev
Timur Renatovich Salikhov 2
Timur Renatovich Salikhov
Published 2021-09-08
CommunicationVolume 31, Issue 5, 641-643
7
Share
Cite this
GOST
 | 
Cite this
GOST Copy
Tuktarov A. R. et al. New n-type semiconductor material based on styryl fullerene for organic field-effect transistors // Mendeleev Communications. 2021. Vol. 31. No. 5. pp. 641-643.
GOST all authors (up to 50) Copy
Tuktarov A. R., Chobanov N. M., Sadretdinova Z. R., Salikhov R. B., Mullagaliev I. N., Salikhov T. R., Dzhemilev U. M. New n-type semiconductor material based on styryl fullerene for organic field-effect transistors // Mendeleev Communications. 2021. Vol. 31. No. 5. pp. 641-643.
RIS
 | 
Cite this
RIS Copy
TY - JOUR
DO - 10.1016/j.mencom.2021.09.016
UR - https://mendcomm.colab.ws/publications/10.1016/j.mencom.2021.09.016
TI - New n-type semiconductor material based on styryl fullerene for organic field-effect transistors
T2 - Mendeleev Communications
AU - Tuktarov, Airat Ramilevich
AU - Chobanov, Nuri Mamedeevich
AU - Sadretdinova, Zarema Rashitovna
AU - Salikhov, Renat Bayazitovich
AU - Mullagaliev, Ilnur Nailevich
AU - Salikhov, Timur Renatovich
AU - Dzhemilev, Usein Memetovich
PY - 2021
DA - 2021/09/08
PB - Mendeleev Communications
SP - 641-643
IS - 5
VL - 31
ER -
BibTex
 | 
Cite this
BibTex (up to 50 authors) Copy
@article{2021_Tuktarov,
author = {Airat Ramilevich Tuktarov and Nuri Mamedeevich Chobanov and Zarema Rashitovna Sadretdinova and Renat Bayazitovich Salikhov and Ilnur Nailevich Mullagaliev and Timur Renatovich Salikhov and Usein Memetovich Dzhemilev},
title = {New n-type semiconductor material based on styryl fullerene for organic field-effect transistors},
journal = {Mendeleev Communications},
year = {2021},
volume = {31},
publisher = {Mendeleev Communications},
month = {Sep},
url = {https://mendcomm.colab.ws/publications/10.1016/j.mencom.2021.09.016},
number = {5},
pages = {641--643},
doi = {10.1016/j.mencom.2021.09.016}
}
MLA
Cite this
MLA Copy
Tuktarov, Airat Ramilevich, et al. “New n-type semiconductor material based on styryl fullerene for organic field-effect transistors.” Mendeleev Communications, vol. 31, no. 5, Sep. 2021, pp. 641-643. https://mendcomm.colab.ws/publications/10.1016/j.mencom.2021.09.016.

Keywords

[60]fullerene
electron mobility
organic field-effect transistor
organic semiconductor
PCBM
styryl fullerene

Abstract

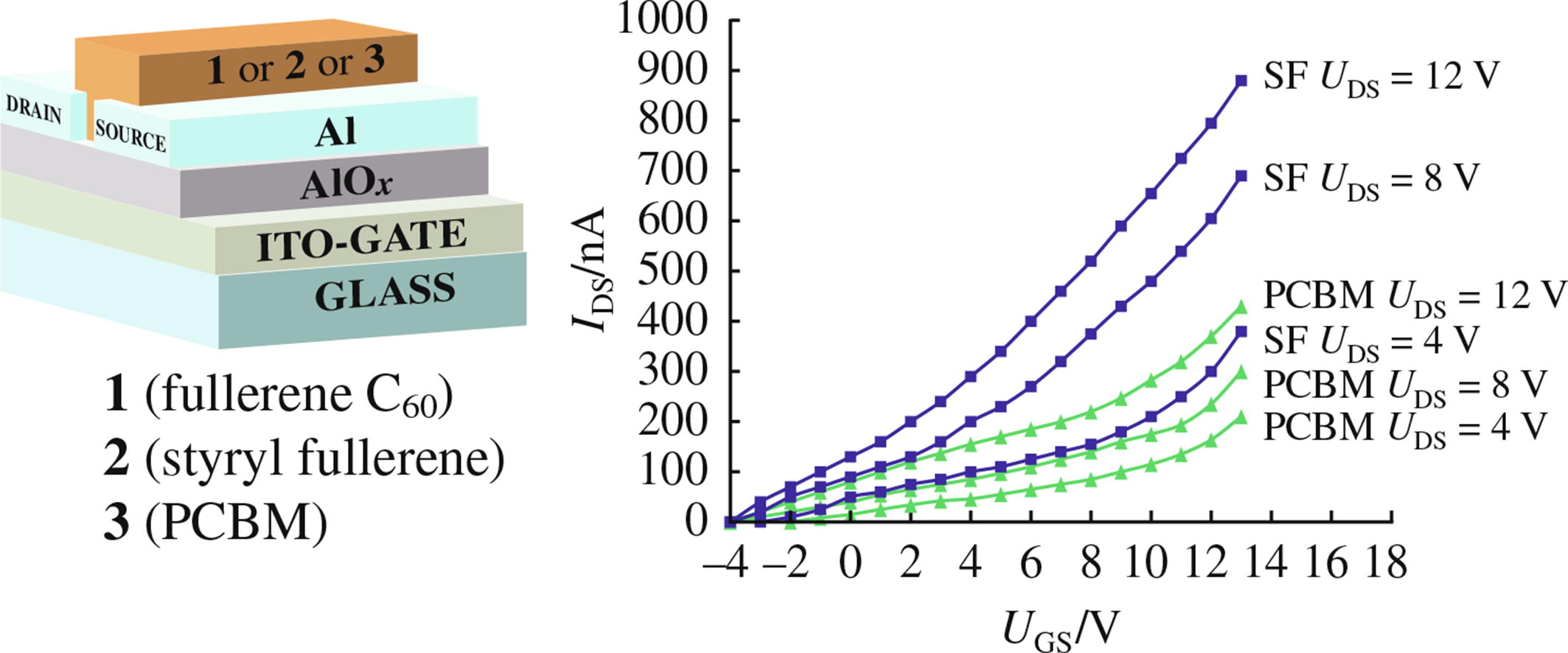
Organic field-effect transistors with styryl fullerene as a semi conductor layer applied by centrifugation are considered. Electron mobility in the transistors was 0.067 ± 10% cm2 V−1 s−1, whereas the mobility of electrons in these devices after the vacuum deposition of a semiconductor layer was much lower (0.023 ± 10% cm2 V−1 s−1).

References

1.
Organic crystalline materials in flexible electronics.
Wang Y., Sun L., Wang C., Yang F., Ren X., Zhang X., Dong H., Hu W.
Chemical Society Reviews, 2019
2.
Solution-processed semiconductors for next-generation photodetectors
García de Arquer F.P., Armin A., Meredith P., Sargent E.H.
Nature Reviews Materials, 2017
3.
Organic field-effect transistor-based gas sensors.
Zhang C., Chen P., Hu W.
Chemical Society Reviews, 2015
4.
Organic light emitting diodes: Energy saving lighting technology—A review
Thejo Kalyani N., Dhoble S.J.
Renewable and Sustainable Energy Reviews, 2012
6.
10.1016/j.mencom.2021.09.016_b0030
Tiwari
Handbook of Ecomaterials, 2018
7.
Critical review of the molecular design progress in non-fullerene electron acceptors towards commercially viable organic solar cells
Wadsworth A., Moser M., Marks A., Little M.S., Gasparini N., Brabec C.J., Baran D., McCulloch I.
Chemical Society Reviews, 2019
8.
Organic thin-film transistors.
Klauk H.
Chemical Society Reviews, 2010
9.
Tuktarov A.R., Salikhov R.B., Khuzin A.A., Safargalin I.N., Mullagaliev I.N., Venidiktova O.V., Valova T.M., Barachevsky V.A., Dzhemilev U.M.
Mendeleev Communications, 2019
10.
Self-assembled interface monolayers for organic and hybrid electronics
Sizov A.S., Agina E.V., Ponomarenko S.A.
Russian Chemical Reviews, 2019
11.
Review: Fullerene based acceptors for efficient bulk heterojunction organic solar cell applications
Ganesamoorthy R., Sathiyan G., Sakthivel P.
Solar Energy Materials and Solar Cells, 2017
12.
Preparation and Characterization of Fulleroid and Methanofullerene Derivatives
Hummelen J.C., Knight B.W., LePeq F., Wudl F., Yao J., Wilkins C.L.
Journal of Organic Chemistry, 1995
13.
Fullerene derivative induced morphology of bulk heterojunction blends: PIPCP:PC61BM
Huang T., Yan H., Abdelsamie M., Savikhin V., Schneider S.A., Ran N.A., Nguyen T., Bazan G.C., Toney M.F.
RSC Advances, 2019
14.
Biomimetic approach to inhibition of photooxidation in organic solar cells using beta-carotene as an additive.
Turkovic V., Prete M., Bregnhøj M., Inasaridze L., Volyniuk D., Obrezkov F.A., Grazulevicius J.V., Engmann S., Rubahn H., Troshin P.A., Ogilby P.R., Madsen M.
ACS applied materials & interfaces, 2019
15.
10.1016/j.mencom.2021.09.016_b0075
Handbook of Conducting Polymers, 2007
16.
Charge Photogeneration for a Series of Thiazolo-Thiazole Donor Polymers Blended with the Fullerene Electron Acceptors PCBM and ICBA
Shoaee S., Subramaniyan S., Xin H., Keiderling C., Tuladhar P.S., Jamieson F., Jenekhe S.A., Durrant J.R.
Advanced Functional Materials, 2013
17.
Material Solubility-Photovoltaic Performance Relationship in the Design of Novel Fullerene Derivatives for Bulk Heterojunction Solar Cells
Troshin P.A., Hoppe H., Renz J., Egginger M., Mayorova J.Y., Goryachev A.E., Peregudov A.S., Lyubovskaya R.N., Gobsch G., Sariciftci N.S., Razumov V.F.
Advanced Functional Materials, 2009
18.
Facile synthesis of isomeric fullerene derivatives as acceptors for high performance organic photovoltaic
Lin G., Cui R., Huang H., Guo X., Yang S., Li C., Dong J., Sun B.
Tetrahedron, 2015
19.
Controlling the Polarity of Fullerene Derivatives to Optimize Nanomorphology in Blend Films.
Matsumoto F., Iwai T., Moriwaki K., Takao Y., Ito T., Mizuno T., Ohno T.
ACS applied materials & interfaces, 2016
20.
New C84 Derivative and Its Application in a Bulk Heterojunction Solar Cell
Kooistra F.B., Mihailetchi V.D., Popescu L.M., Kronholm D., Blom P.W., Hummelen J.C.
Chemistry of Materials, 2006
23.
Synthesis and Electrochemical Properties of Fullerenylstyrenes
Tuktarov A.R., Chobanov N.M., Budnikova Y.H., Dudkina Y.B., Dzhemilev U.M.
Journal of Organic Chemistry, 2019
26.
Ultraviolet photoelectron spectroscopy and inverse photoemission spectroscopy of [6,6]-phenyl-C61-butyric acid methyl ester in gas and solid phases
Akaike K., Kanai K., Yoshida H., Tsutsumi J., Nishi T., Sato N., Ouchi Y., Seki K.
Journal of Applied Physics, 2008
27.
Quaterthiophene-based multipods as promising materials for solution-processible organic solar cells and field effect transistors
Troshin P.A., Ponomarenko S.A., Luponosov Y.N., Khakina E.A., Egginger M., Meyer-Friedrichsen T., Elschner A., Peregudova S.M., Buzin M.I., Razumov V.F.
Solar Energy Materials and Solar Cells, 2010
28.
Photoresponsive ambipolar transport characteristics of organic thin film transistors using soluble HB-ant-THT and PCBM composites
Yang S.H., Cho M.Y., Jo S.G., Jung J.S., Jung K.H., Bae S.Y., Choi D.H., Kim S., Joo J.
Synthetic Metals, 2012
29.
10.1016/j.mencom.2021.09.016_b0145
Dimitrakopoulos
J. Res. Dev., 2001
30.
10.1016/j.mencom.2021.09.016_b0150
Köhler
Electronic Processes in Organic Semiconductors: An Introduction, 2015