Home / Publications / 2-Aminooxazoles as novel dienophiles in the inverse demand Diels–Alder reaction with 1,2,4-triazines

2-Aminooxazoles as novel dienophiles in the inverse demand Diels–Alder reaction with 1,2,4-triazines

Alexey P Krinochkin 1, 2
Alexey P Krinochkin
Guda Mallikarjuna Reddy 2
Guda Mallikarjuna Reddy
Dmitrii Sergeevich Kopchuk 1, 2
Dmitrii Sergeevich Kopchuk
Pavel Alexandrovich Slepukhin 1, 2
Pavel Alexandrovich Slepukhin
Yaroslav Konstantinovich Shtaitz 2
Yaroslav Konstantinovich Shtaitz
Igor Alekseevich Khalymbadzha 1, 2
Igor Alekseevich Khalymbadzha
Igor Sergeevich Kovalev 2
Igor Sergeevich Kovalev
Grigory Andreevich Kim
Il’ya Nikolaevich Ganebnykh 1
Il’ya Nikolaevich Ganebnykh
Grigory Vasil'evich Zyryanov 1, 2
Grigory Vasil'evich Zyryanov
Oleg Nikolaevich Chupakhin 1, 2
Oleg Nikolaevich Chupakhin
Valery Nikolaevich Charushin
Published 2021-07-07
CommunicationVolume 31, Issue 4, 542-544
29
Share
Cite this
GOST
 | 
Cite this
GOST Copy
Krinochkin A. P. et al. 2-Aminooxazoles as novel dienophiles in the inverse demand Diels–Alder reaction with 1,2,4-triazines // Mendeleev Communications. 2021. Vol. 31. No. 4. pp. 542-544.
GOST all authors (up to 50) Copy
Krinochkin A. P., Reddy G. M., Kopchuk D. S., Slepukhin P. A., Shtaitz Y. K., Khalymbadzha I. A., Kovalev I. S., Kim G. A., Ganebnykh I. N., Zyryanov G. V., Chupakhin O. N., Charushin V. N. 2-Aminooxazoles as novel dienophiles in the inverse demand Diels–Alder reaction with 1,2,4-triazines // Mendeleev Communications. 2021. Vol. 31. No. 4. pp. 542-544.
RIS
 | 
Cite this
RIS Copy
TY - JOUR
DO - 10.1016/j.mencom.2021.07.035
UR - https://mendcomm.colab.ws/publications/10.1016/j.mencom.2021.07.035
TI - 2-Aminooxazoles as novel dienophiles in the inverse demand Diels–Alder reaction with 1,2,4-triazines
T2 - Mendeleev Communications
AU - Krinochkin, Alexey P
AU - Reddy, Guda Mallikarjuna
AU - Kopchuk, Dmitrii Sergeevich
AU - Slepukhin, Pavel Alexandrovich
AU - Shtaitz, Yaroslav Konstantinovich
AU - Khalymbadzha, Igor Alekseevich
AU - Kovalev, Igor Sergeevich
AU - Kim, Grigory Andreevich
AU - Ganebnykh, Il’ya Nikolaevich
AU - Zyryanov, Grigory Vasil'evich
AU - Chupakhin, Oleg Nikolaevich
AU - Charushin, Valery Nikolaevich
PY - 2021
DA - 2021/07/07
PB - Mendeleev Communications
SP - 542-544
IS - 4
VL - 31
ER -
BibTex
 | 
Cite this
BibTex (up to 50 authors) Copy
@article{2021_Krinochkin,
author = {Alexey P Krinochkin and Guda Mallikarjuna Reddy and Dmitrii Sergeevich Kopchuk and Pavel Alexandrovich Slepukhin and Yaroslav Konstantinovich Shtaitz and Igor Alekseevich Khalymbadzha and Igor Sergeevich Kovalev and Grigory Andreevich Kim and Il’ya Nikolaevich Ganebnykh and Grigory Vasil'evich Zyryanov and Oleg Nikolaevich Chupakhin and Valery Nikolaevich Charushin},
title = {2-Aminooxazoles as novel dienophiles in the inverse demand Diels–Alder reaction with 1,2,4-triazines},
journal = {Mendeleev Communications},
year = {2021},
volume = {31},
publisher = {Mendeleev Communications},
month = {Jul},
url = {https://mendcomm.colab.ws/publications/10.1016/j.mencom.2021.07.035},
number = {4},
pages = {542--544},
doi = {10.1016/j.mencom.2021.07.035}
}
MLA
Cite this
MLA Copy
Krinochkin, Alexey P., et al. “2-Aminooxazoles as novel dienophiles in the inverse demand Diels–Alder reaction with 1,2,4-triazines.” Mendeleev Communications, vol. 31, no. 4, Jul. 2021, pp. 542-544. https://mendcomm.colab.ws/publications/10.1016/j.mencom.2021.07.035.

Abstract

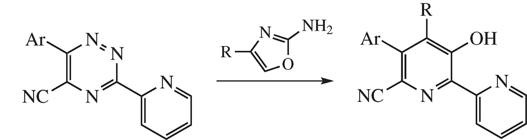
High temperature coupling of 6-aryl-5-cyano-3-(pyridin-2-yl)-1,2,4-triazines with 2-amino-4-aryloxazoles proceeds as the inverse demand Diels–Alder reaction between the oxazole moiety as dienophile and the 1,2,4-triazine moiety as diene to construct new 4,5-diaryl-6-cyano-3-hydroxypyridin-2-yl fragment. A reaction mechanism is proposed, and the structure of the key-product is proved by the X-ray diffraction analysis.

References

1.
Reactions of triazines and tetrazines with dienophiles (Review)
Prokhorov A.M., Kozhevnikov D.N.
Chemistry of Heterocyclic Compounds, 2012
3.
Consecutive nucleophilic substitution and aza Diels–Alder reaction—an efficient strategy to functionalized 2,2′-bipyridines
Kozhevnikov D.N., Kozhevnikov V.N., Prokhorov A.M., Ustinova M.M., Rusinov V.L., Chupakhin O.N., Aleksandrov G.G., König B.
Tetrahedron Letters, 2006
4.
Direct C H/C Li coupling of 1,2,4-triazines with C6F5Li followed by aza-Diels-Alder reaction as a pot, atom, and step economy (PASE) approach towards novel fluorinated 2,2′-bipyridine fluorophores
Moseev T.D., Varaksin M.V., Gorlov D.A., Nikiforov E.A., Kopchuk D.S., Starnovskaya E.S., Khasanov A.F., Zyryanov G.V., Charushin V.N., Chupakhin O.N.
Journal of Fluorine Chemistry, 2019
5.
A Convenient Synthetic Approach to Phenazone Derivatives Containing a 1,2,4-Triazine or Pyridine Fragment
Kovalev I.S., Savchuk M.I., Kopchuk D.S., Zyryanov G.V., Pospelova T.A., Rusinov V.L., Chupakhin O.N.
Russian Journal of Organic Chemistry, 2019
6.
Fatykhov R.F., Savchuk M.I., Starnovskaya E.S., Bobkina M.V., Kopchuk D.S., Nosova E.V., Zyryanov G.V., Khalymbadzha I.A., Chupakhin O.N., Charushin V.N., Kartsev V.G.
Mendeleev Communications, 2019
7.
A Versatile Strategy for the Synthesis of Functionalized 2,2‘-Bi- and 2,2‘:6‘,2‘ ‘-Terpyridines via Their 1,2,4-Triazine Analogues
Kozhevnikov V.N., Kozhevnikov D.N., Nikitina T.V., Rusinov V.L., Chupakhin O.N., Zabel M., König B.
Journal of Organic Chemistry, 2003
8.
10.1016/j.mencom.2021.07.035_b0040
Catozzi
Synlett, 2007
9.
S. V. Shorshnev, S. E. Esipov, A. I. Chernyshev, A. F. Pozharskii, V. V. Kuz’menko and A. V. Gulevskaya, Chem. Heterocycl. Compd., 1990, 26, 191 (Khim. Geterotsikl. Soedin., 1990, 26, 224).
10.
Cycloaddition Reactions with Azabenzenes, XVIII. Synthesis of [2]Pyrindines
Neunhoeffer H., Neuhoeffer H., Philipp B., Schildhauer B., Eckrich R., Krichbaum U.
Heterocycles, 1993
11.
Synthesis of isoquinolines by cycloaddition of arynes to 1,2,4-triazines
Gonsalves A.M., Pinho e Melo T.M., Gilchrist T.L.
Tetrahedron, 1992
12.
Preparation of 3-Cyano-1-(2-Pyridyl)Isoquinolines by Using Aryne Intermediates
Kopchuk D.S., Nikonov I.L., Zyryanov G.V., Kovalev I.S., Rusinov V.L., Chupakhin O.N.
Chemistry of Heterocyclic Compounds, 2014
13.
One-step synthesis of 1,4-bis(het)arylisoquinolines by the reaction of 1,2,4-triazines with arynes
Kopchuk D.S., Nikonov I.L., Khasanov A.F., Gundala S., Krinochkin A.P., Slepukhin P.А., Zyryanov G.V., Venkatapuram P., Chupakhin O.N., Charushin V.N.
Chemistry of Heterocyclic Compounds, 2019
14.
A Rational Protocol for the Synthesis of Arylated Bipyridine Ligands via a Cycloaddition Pathway
15.
Studies on as-triazine derivatives. XVI. Reaction of 1,2,4-triazinecarbonitriles with carbanions.
OHBA S., KONNO S., YAMANAKA H.
Chemical and Pharmaceutical Bulletin, 2011
16.
S N H reactions of pyrazine N-oxides and 1,2,4-triazine 4-oxides with CH-active compounds
Kozhevnikov D.N., Kovalev I.S., Prokhorov A.M., Rusinov V.L., Chupakhin O.N.
Russian Chemical Bulletin, 2003
18.
Transformations of 1,2,4-Triazines in Reactions with Nucleophiles: V. SNH and ipso-Substitution in the Synthesis and Transformations of 5-Cyano-1,2,4-triazines
Kozhevnikov D.N., Kozhevnikov V.N., Kovalev I.S., Rusinov V.L., Chupakhin O.N., Aleksandrov G.G.
Russian Journal of Organic Chemistry, 2002
19.
V. L. Rusinov, G. V. Zyryanov, I. N. Egorov, E. N. Ulomskii, G. G. Aleksandrov and O. N. Chupakhin, Russ. J. Org. Chem., 2004, 40, 85 (Zh. Org. Khim., 2044, 40, 94).
20.
A facile synthesis of triazine integrated antipyrine derivatives through ecofriendly approach
Rammohan A., Reddy G.M., Krinochkin A.P., Kopchuk D.S., Savchuk M.I., Shtaitz Y.K., Zyryanov G.V., Rusinov V.L., Chupakhin O.N.
Synthetic Communications, 2020
21.
D. S. Kopchuk, Doctoral Thesis, 2019.
22.
Direct Introduction of a Methyl Group at the C5‐Position of 1,2,4‐Triazines: Convenient Synthesis of 6‐Functionalized 5‐Aryl‐2,2′‐bipyridines
Krinochkin A.P., Kopchuk D.S., Kovalev I.S., Santra S., Zyryanov G.V., Majee A., Rusinov V.L., Chupakhin O.N.
ChemistrySelect, 2020
23.
Carborane-Functionalized Polyaza Aromatic Ligands:  Synthesis, Crystal Structure, and a Copper(II) Complex
Prokhorov A.M., Kozhevnikov D.N., Rusinov V.L., Chupakhin O.N., Glukhov I.V., Antipin M.Y., Kazheva O.N., Chekhlov A.N., Dyachenko O.A.
Organometallics, 2006
24.
New Push-Pull Fluorophores on the Basis of 6-Alkoxy-2,2'-Bipyridines: Rational Synthetic Approach and Photophysical Properties
Savchuk M.I., Khasanov A.F., Kopchuk D.S., Krinochkin A.P., Nikonov I.L., Starnovskaya E.S., Shtaitz Y.K., Kovalev I.S., Zyryanov G.V., Chupakhin O.N.
Chemistry of Heterocyclic Compounds, 2019
25.
M. I. Savchuk, E. S. Starnovskaya, Y. K. Shtaitz, D. S. Kopchuk, E. V. Nosova, G. V. Zyryanov, V. L. Rusinov and O. N. Chupakhin, Russ. J. Gen. Chem., 2018, 88, 2213 (Zh. Obshch. Khim., 2018, 88, 1728).
26.
Solvent-free synthesis of 5-(aryl/alkyl)amino-1,2,4-triazines and α-arylamino-2,2′-bipyridines with greener prospects
Kopchuk D.S., Chepchugov N.V., Kovalev I.S., Santra S., Rahman M., Giri K., Zyryanov G.V., Majee A., Charushin V.N., Chupakhin O.N.
RSC Advances, 2017
27.
6-Arylamino-2,2′-bipyridine “Push-Pull” Fluorophores: Solvent-Free Synthesis and Photophysical Studies
Kopchuk D.S., Krinochkin A.P., Starnovskaya E.S., Shtaitz Y.K., Khasanov A.F., Taniya O.S., Santra S., Zyryanov G.V., Majee A., Rusinov V.L., Chupakhin O.N.
ChemistrySelect, 2018
28.
10.1016/j.mencom.2021.07.035_b0140
Starnovskaya
Proc., 2019
29.
10.1016/j.mencom.2021.07.035_b0145
Kopchuk
Proc., 2020
30.
Selected Methodologies Convenient for the Synthesis ofN,5-Diaryloxazole-2-amine Pharmacophore
Lintnerová L., Kováčiková L., Hanquet G., Boháč A.
Journal of Heterocyclic Chemistry, 2014
31.
CrysAlisPro, version 1.171.39.38a, Data Collection, Reduction and Correction Program, Rigaku Oxford Diffraction, 2017.
32.
A short history of SHELX
Sheldrick G.M.
Acta Crystallographica Section A Foundations of Crystallography, 2007
33.
Oxazoles as Dienophiles in Diels-Alder Reactions
Dondoni A., Fogagnolo M., Mastellari A., Pedrini P., Ugozzoli F.
Tetrahedron Letters, 1986
34.
Unusual cycloadditions of o-quinone methides with oxazoles
36.
Coupling of Functional Hydrogen Bonds in Pyridoxal-5‘-phosphate−Enzyme Model Systems Observed by Solid-State NMR Spectroscopy
37.
10.1016/j.mencom.2021.07.035_h0185
Tolstikov
J. Org. Chem., 1984
38.
Evaluation of 2-methyl-3-hydroxy-4-pyridinecarboxylic acid as a possible chelating agent for iron and aluminium
Dean A., Ferlin M.G., Brun P., Castagliuolo I., Badocco D., Pastore P., Venzo A., Bombi G.G., Di Marco V.B.
Dalton Transactions, 2008
39.
10.1016/j.mencom.2021.07.035_b0190
Guda
Commun. Rev., 2021
41.
10.1016/j.mencom.2021.07.035_b0200
Zhu
Patent US, 2019
42.
10.1016/j.mencom.2021.07.035_b0205
Weber
Patent WO, 2007
43.
T. Murata, S. Sakakibara, T. Yoshino, Y. Ikegami, T. Masuda, M. Shimada, T. Shintani, M. Shimazaki, T. B. Lowinger, K. B. Ziegelbauer, K. Fuchikami, M. Umeda, H. Komura and N. Yoshida, Patent WO 2002/44153 A1, 2002.
44.
Dipyrimicin A and B, microbial compounds isolated from Amycolatopsis sp. K16-0194
Izuta S., Kosaka S., Kawai M., Miyano R., Matsuo H., Matsumoto A., Nonaka K., Takahashi Y., Ōmura S., Nakashima T.
Journal of Antibiotics, 2018
45.
The secondary metabolites of rare actinomycetes: chemistry and bioactivity