Home / Publications / A convenient route to conjugates of 1,2-diglycerides with functionalized oligoethylene glycol spacer arms

A convenient route to conjugates of 1,2-diglycerides with functionalized oligoethylene glycol spacer arms

Alexander Borisovich Tuzikov 1
Alexander Borisovich Tuzikov
Ekaterina Vasil'evna Ryabukhina 1
Ekaterina Vasil'evna Ryabukhina
Alexander Sergeyevich Paramonov
Alexander Olegovich Chizhov 2
Alexander Olegovich Chizhov
Elena L'vovna Vodovozova 1
Elena L'vovna Vodovozova
Published 2021-07-07
CommunicationVolume 31, Issue 4, 538-541
2
Share
Cite this
GOST
 | 
Cite this
GOST Copy
Tuzikov A. B. et al. A convenient route to conjugates of 1,2-diglycerides with functionalized oligoethylene glycol spacer arms // Mendeleev Communications. 2021. Vol. 31. No. 4. pp. 538-541.
GOST all authors (up to 50) Copy
Tuzikov A. B., Ryabukhina E. V., Paramonov A. S., Chizhov A. O., Bovin N. V., Vodovozova E. L. A convenient route to conjugates of 1,2-diglycerides with functionalized oligoethylene glycol spacer arms // Mendeleev Communications. 2021. Vol. 31. No. 4. pp. 538-541.
RIS
 | 
Cite this
RIS Copy
TY - JOUR
DO - 10.1016/j.mencom.2021.07.034
UR - https://mendcomm.colab.ws/publications/10.1016/j.mencom.2021.07.034
TI - A convenient route to conjugates of 1,2-diglycerides with functionalized oligoethylene glycol spacer arms
T2 - Mendeleev Communications
AU - Tuzikov, Alexander Borisovich
AU - Ryabukhina, Ekaterina Vasil'evna
AU - Paramonov, Alexander Sergeyevich
AU - Chizhov, Alexander Olegovich
AU - Bovin, Nicolai Vladimirovich
AU - Vodovozova, Elena L'vovna
PY - 2021
DA - 2021/07/07
PB - Mendeleev Communications
SP - 538-541
IS - 4
VL - 31
ER -
BibTex
 | 
Cite this
BibTex (up to 50 authors) Copy
@article{2021_Tuzikov,
author = {Alexander Borisovich Tuzikov and Ekaterina Vasil'evna Ryabukhina and Alexander Sergeyevich Paramonov and Alexander Olegovich Chizhov and Nicolai Vladimirovich Bovin and Elena L'vovna Vodovozova},
title = {A convenient route to conjugates of 1,2-diglycerides with functionalized oligoethylene glycol spacer arms},
journal = {Mendeleev Communications},
year = {2021},
volume = {31},
publisher = {Mendeleev Communications},
month = {Jul},
url = {https://mendcomm.colab.ws/publications/10.1016/j.mencom.2021.07.034},
number = {4},
pages = {538--541},
doi = {10.1016/j.mencom.2021.07.034}
}
MLA
Cite this
MLA Copy
Tuzikov, Alexander Borisovich, et al. “A convenient route to conjugates of 1,2-diglycerides with functionalized oligoethylene glycol spacer arms.” Mendeleev Communications, vol. 31, no. 4, Jul. 2021, pp. 538-541. https://mendcomm.colab.ws/publications/10.1016/j.mencom.2021.07.034.

Abstract

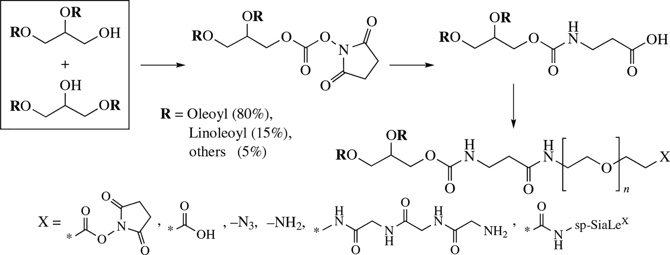
A controlled reaction of a mixture of structural isomers of diacylglycerol (DAG) with N,N-disuccinimidyl carbonate and then with b-alanine provided intermediates of 1,2-diacylglycerol (1,2-DAG) which were further modified with carboxy- and amino-terminated oligoethylene glycol spacer arms of different length. As an example of bioactive molecules intended for the incorporation in lipid bilayer of artificial or cell membranes, 1,2-DAGs bearing tetrasaccharide Sialyl Lewis X or triglycine at the terminus of polar spacer were synthesized. The synthetic scheme can be readily scaled-up by the use of DAGs from food industry.

References

1.
New Developments in Liposomal Drug Delivery.
Pattni B.S., Chupin V.V., Torchilin V.P.
Chemical Reviews, 2015
2.
Aptamer-Mediated Targeted Delivery of Therapeutics: An Update
Catuogno S., Esposito C., de Franciscis V.
Pharmaceuticals, 2016
4.
TAT peptide on the surface of liposomes affords their efficient intracellular delivery even at low temperature and in the presence of metabolic inhibitors
Torchilin V.P., Rammohan R., Weissig V., Levchenko T.S.
Proceedings of the National Academy of Sciences of the United States of America, 2001
5.
Liposomal drug delivery systems: From concept to clinical applications
Allen T.M., Cullis P.R.
Advanced Drug Delivery Reviews, 2013
6.
Liposomes revisited
Lasic D.D., Papahadjopoulos D.
Science, 1995
7.
Liposome formulations with prolonged circulation time in blood and enhanced uptake by tumors.
Gabizon A., Papahadjopoulos D.
Proceedings of the National Academy of Sciences of the United States of America, 1988
8.
Influence of stabilizing components on the integrity of antitumor liposomes loaded with lipophilic prodrug in the bilayer.
Tretiakova D., Onishchenko N., Boldyrev I., Mikhalyov I., Tuzikov A., Bovin N., Evtushenko E., Vodovozova E.
Colloids and Surfaces B: Biointerfaces, 2018
10.
Rapid one-step biotinylation of biological and non-biological surfaces
Henry S., Williams E., Barr K., Korchagina E., Tuzikov A., Ilyushina N., Abayzeed S.A., Webb K.F., Bovin N.
Scientific Reports, 2018
11.
10.1016/j.mencom.2021.07.034_b0055
Nicholson
Elsevier, 2019
12.
Diacylglycerol Oil—Properties, Processes and Products: A Review
Lo S., Tan C., Long K., Yusoff M.S., Lai O.
Food and Bioprocess Technology, 2008
14.
Fats and Oils Handbook, ed. M. Bockisch, 1st edn., AOCS Press, Hamburg, 1998, pp. 214–215.
16.
E-selectin as a target for drug delivery and molecular imaging
Jubeli E., Moine L., Vergnaud-Gauduchon J., Barratt G.
Journal of Controlled Release, 2012
17.
Targeting liposomes loaded with melphalan prodrug to tumour vasculature via the Sialyl Lewis X selectin ligand
Kuznetsova N.R., Stepanova E.V., Peretolchina N.M., Khochenkov D.A., Boldyrev I.A., Bovin N.V., Vodovozova E.L.
Journal of Drug Targeting, 2013
18.
Interactions of antitumour Sialyl Lewis X liposomes with vascular endothelial cells.
Alekseeva A., Kapkaeva M., Shcheglovitova O., Boldyrev I., Pazynina G., Bovin N., Vodovozova E.
Biochimica et Biophysica Acta - Biomembranes, 2015
20.
Synthesis of neoglycolipids for the development of non-viral gene delivery systems
Shmendel’ E.V., Maslov M.A., Morozova N.G., Serebrennikova G.A.
Russian Chemical Bulletin, 2010