Home / Publications / Interaction of cationic chlorin photosensitizers with non-ionic surfactant Tween 80

Interaction of cationic chlorin photosensitizers with non-ionic surfactant Tween 80

Andrey Vladimirovich Kustov 1
Andrey Vladimirovich Kustov
Mikhail Alekseevich Krestyaninov 1
Mikhail Alekseevich Krestyaninov
Sergey Olegovich Kruchin 1
Sergey Olegovich Kruchin
Tatyana Vladimirovna Kustova 2
Tatyana Vladimirovna Kustova
Dmitrii Vladimirovich Belykh 3
Dmitrii Vladimirovich Belykh
Irina Stepanovna Khudyaeva 3
Irina Stepanovna Khudyaeva
Oscar Iosifovich Koifman 2
Oscar Iosifovich Koifman
Pavel Borisovich Razgovorov 4
Pavel Borisovich Razgovorov
Published 2020-12-30
CommunicationVolume 31, Issue 1, 65-67
23
Share
Cite this
GOST
 | 
Cite this
GOST Copy
Kustov A. V. et al. Interaction of cationic chlorin photosensitizers with non-ionic surfactant Tween 80 // Mendeleev Communications. 2020. Vol. 31. No. 1. pp. 65-67.
GOST all authors (up to 50) Copy
Kustov A. V., Krestyaninov M. A., Kruchin S. O., Shukhto O. V., Kustova T. V., Belykh D. V., Khudyaeva I. S., Koifman O. I., Razgovorov P. B., Berezin D. B. Interaction of cationic chlorin photosensitizers with non-ionic surfactant Tween 80 // Mendeleev Communications. 2020. Vol. 31. No. 1. pp. 65-67.
RIS
 | 
Cite this
RIS Copy
TY - JOUR
DO - 10.1016/j.mencom.2021.01.019
UR - https://mendcomm.colab.ws/publications/10.1016/j.mencom.2021.01.019
TI - Interaction of cationic chlorin photosensitizers with non-ionic surfactant Tween 80
T2 - Mendeleev Communications
AU - Kustov, Andrey Vladimirovich
AU - Krestyaninov, Mikhail Alekseevich
AU - Kruchin, Sergey Olegovich
AU - Shukhto, Olga Vladimirovna
AU - Kustova, Tatyana Vladimirovna
AU - Belykh, Dmitrii Vladimirovich
AU - Khudyaeva, Irina Stepanovna
AU - Koifman, Oscar Iosifovich
AU - Razgovorov, Pavel Borisovich
AU - Berezin, Dmitry Borisovich
PY - 2020
DA - 2020/12/30
PB - Mendeleev Communications
SP - 65-67
IS - 1
VL - 31
ER -
BibTex
 | 
Cite this
BibTex (up to 50 authors) Copy
@article{2020_Kustov,
author = {Andrey Vladimirovich Kustov and Mikhail Alekseevich Krestyaninov and Sergey Olegovich Kruchin and Olga Vladimirovna Shukhto and Tatyana Vladimirovna Kustova and Dmitrii Vladimirovich Belykh and Irina Stepanovna Khudyaeva and Oscar Iosifovich Koifman and Pavel Borisovich Razgovorov and Dmitry Borisovich Berezin},
title = {Interaction of cationic chlorin photosensitizers with non-ionic surfactant Tween 80},
journal = {Mendeleev Communications},
year = {2020},
volume = {31},
publisher = {Mendeleev Communications},
month = {Dec},
url = {https://mendcomm.colab.ws/publications/10.1016/j.mencom.2021.01.019},
number = {1},
pages = {65--67},
doi = {10.1016/j.mencom.2021.01.019}
}
MLA
Cite this
MLA Copy
Kustov, Andrey Vladimirovich, et al. “Interaction of cationic chlorin photosensitizers with non-ionic surfactant Tween 80.” Mendeleev Communications, vol. 31, no. 1, Dec. 2020, pp. 65-67. https://mendcomm.colab.ws/publications/10.1016/j.mencom.2021.01.019.

Keywords

aggregation
antimicrobial photodynamic therapy
binding constants
carrier system
cationic chlorin
fluorescence quenching
non-ionic surfactant
photosensitizer
Tween 80

Abstract

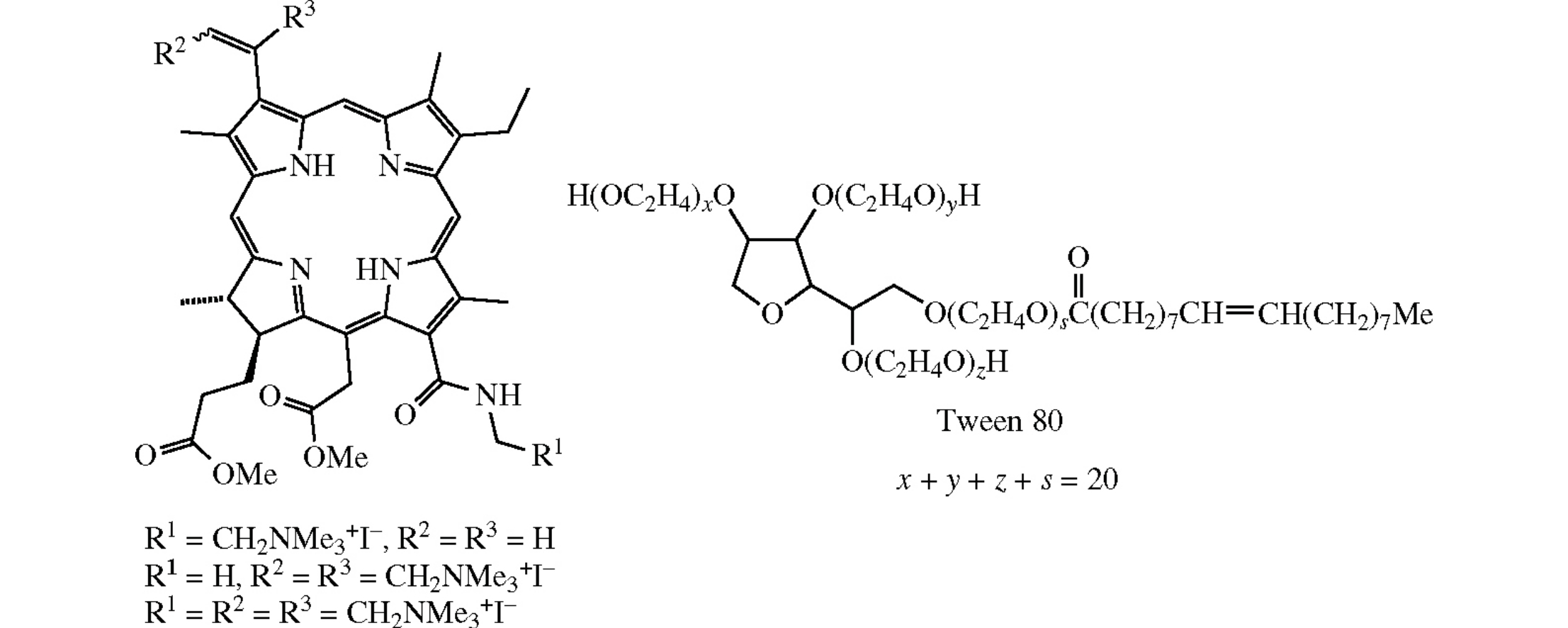
The interaction between cationic chlorophyll photosensitizers (PSs) for antimicrobial photodynamic therapy and non-ionic surfactant Tween 80 as a potential carrier system was studied using absorption and fluorescence spectroscopy. The results, analyzed in terms of our approach and the Stern–Volmer approach, indicate that all three PSs form stable molecular complexes with Tween 80, the PS molecules being located at the periphery of surfactant micelles next to hydrophilic head groups. The higher the charge of the macrocyclic cation, the stronger the interaction of PS with the surfactant.

References

2.
Photoantimicrobials—are we afraid of the light?
Wainwright M., Maisch T., Nonell S., Plaetzer K., Almeida A., Tegos G.P., Hamblin M.R.
The Lancet Infectious Diseases, 2017
3.
10.1016/j.mencom.2021.01.019_bib0015
Liu
J. Clin. Transl. Res., 2015
4.
Alternatives to antibiotics-a pipeline portfolio review.
Czaplewski L., Bax R., Clokie M., Dawson M., Fairhead H., Fischetti V.A., Foster S., Gilmore B.F., Hancock R.E., Harper D., Henderson I.R., Hilpert K., Jones B.V., Kadioglu A., Knowles D., et. al.
The Lancet Infectious Diseases, 2016
5.
Influence of external bacterial structures on the efficiency of photodynamic inactivation by a cationic porphyrin.
Pereira M.A., Faustino M.A., Tomé J.P., Neves M.G., Tomé A.C., Cavaleiro J.A., Cunha Â., Almeida A.
Photochemical and Photobiological Sciences, 2014
7.
Adsorption and photodynamic efficiency of meso-tetrakis(p-sulfonatophenyl)porphyrin on the surface of bilayer lipid membranes
Konstantinova A.N., Sokolov V.S., Jiménez-Munguía I., Finogenova O.A., Ermakov Y.A., Gorbunova Y.G.
Journal of Photochemistry and Photobiology B: Biology, 2018
8.
Water-Soluble Chlorin/Arylaminoquinazoline Conjugate for Photodynamic and Targeted Therapy
Otvagin V.F., Kuzmina N.S., Krylova L.V., Volovetsky A.B., Nyuchev A.V., Gavryushin A.E., Meshkov I.N., Gorbunova Y.G., Romanenko Y.V., Koifman O.I., Balalaeva I.V., Fedorov A.Y.
Journal of Medicinal Chemistry, 2019
9.
Synthesis and investigation of water-soluble chlorophyll pigments for antimicrobial photodynamic therapy
Kustov A.V., Belykh D.V., Smirnova N.L., Venediktov E.A., Kudayarova T.V., Kruchin S.O., Khudyaeva I.S., Berezin D.B.
Dyes and Pigments, 2018
11.
12.
10.1016/j.mencom.2021.01.019_bib0060
Kustov
Adv. Curr. Nat. Sci., 2016
13.
Nanosized vehicles for delivery of photosensitizers in photodynamic diagnosis and therapy of cancer
Mironov A.F., Zhdanova K.A., Bragina N.A.
Russian Chemical Reviews, 2018
14.
Gradova M.A., Ostashevskaya I.I., Gradov O.V., Lobanov A.V., Lebedeva V.S., Mironov A.F.
Mendeleev Communications, 2018
15.
Association of hydrophilic derivatives of chlorophyll a in ethanol–water and ethanol–water–solubilizer systems
Berezin D.B., Solodukhin T.N., Shukhto O.V., Belykh D.V., Startseva O.M., Khudyaeva I.S., Kustov A.V.
Russian Chemical Bulletin, 2018
16.
The behavior of monocationic chlorin in water and aqueous solutions of non-ionic surfactant Tween 80 and potassium iodide
Berezin D.B., Kustov A.V., Krest'yaninov M.A., Shukhto O.V., Batov D.V., Kukushkina N.V.
Journal of Molecular Liquids, 2019
17.
Berezin D.B., Makarov V.V., Znoyko S.A., Mayzlish V.E., Kustov A.V.
Mendeleev Communications, 2020
18.
10.1016/j.mencom.2021.01.019_bib0090
Mahmood
Global Journal of Science Frontier Research: (B) Chemistry, 2013
19.
10.1016/j.mencom.2021.01.019_bib0095
Bhairi
Detergents. A Guide to the Properties and Uses of Detergents in Biological Systems, 2017
20.
Properties of Chlorophyll and Derivatives in Homogeneous and Microheterogeneous Systems
Gerola A.P., Tsubone T.M., Santana A., de Oliveira H.P., Hioka N., Caetano W.
Journal of Physical Chemistry B, 2011
22.
Molecular dynamics simulation of a polysorbate 80 micelle in water
Amani A., York P., de Waard H., Anwar J.
Soft Matter, 2011