Home / Publications / An expedient multicomponent assembling of 1-azaxanthones

An expedient multicomponent assembling of 1-azaxanthones

7
Share
Cite this
GOST
 | 
Cite this
GOST Copy
Alizadeh A., Bagherinejad A., Khanpour M. An expedient multicomponent assembling of 1-azaxanthones // Mendeleev Communications. 2020. Vol. 30. No. 6. pp. 791-793.
GOST all authors (up to 50) Copy
Alizadeh A., Bagherinejad A., Khanpour M. An expedient multicomponent assembling of 1-azaxanthones // Mendeleev Communications. 2020. Vol. 30. No. 6. pp. 791-793.
RIS
 | 
Cite this
RIS Copy
TY - JOUR
DO - 10.1016/j.mencom.2020.11.034
UR - https://mendcomm.colab.ws/publications/10.1016/j.mencom.2020.11.034
TI - An expedient multicomponent assembling of 1-azaxanthones
T2 - Mendeleev Communications
AU - Alizadeh, Abdolali
AU - Bagherinejad, Akram
AU - Khanpour, Mojtaba
PY - 2020
DA - 2020/11/03
PB - Mendeleev Communications
SP - 791-793
IS - 6
VL - 30
ER -
BibTex
 | 
Cite this
BibTex (up to 50 authors) Copy
@article{2020_Alizadeh,
author = {Abdolali Alizadeh and Akram Bagherinejad and Mojtaba Khanpour},
title = {An expedient multicomponent assembling of 1-azaxanthones},
journal = {Mendeleev Communications},
year = {2020},
volume = {30},
publisher = {Mendeleev Communications},
month = {Nov},
url = {https://mendcomm.colab.ws/publications/10.1016/j.mencom.2020.11.034},
number = {6},
pages = {791--793},
doi = {10.1016/j.mencom.2020.11.034}
}
MLA
Cite this
MLA Copy
Alizadeh, Abdolali, et al. “An expedient multicomponent assembling of 1-azaxanthones.” Mendeleev Communications, vol. 30, no. 6, Nov. 2020, pp. 791-793. https://mendcomm.colab.ws/publications/10.1016/j.mencom.2020.11.034.

Keywords

1-azaxanthones
3-formylchromones
alkylidenemalononitriles
heterocyclization
hydroxylamine hydrochloride

Abstract

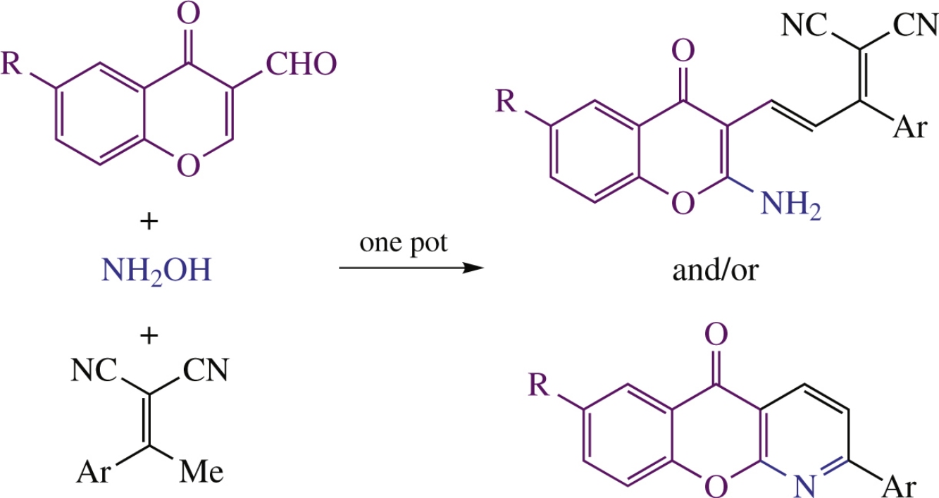
An efficient one-pot synthesis of 2-[3-(2-amino-4-oxo-4Hchromen-3-yl)-1-arylallylidene]malononitriles as intermediates and 2-aryl-5H-chromeno[2,3-b]pyridin-5-ones as final products comprises Et3N-catalyzed condensation of alkylidenemalononitriles, 3-formylchromones and hydroxylamine hydrochloride. The transformation involves stages of 1,4-nucleophilic addition, phenolate–nitrile coupling and Mannich-type heterocyclization reactions.

References

1.
Synthesis, X-ray Structure, and Pharmacological Activity of Some 6,6-Disubstituted Chromeno[4,3-b]- and Chromeno- [3,4-c]-quinolines
Hegab M.I., Abdel-Fattah A.M., Yousef N.M., Nour H.F., Mostafa A.M., Ellithey M.
Archiv der Pharmazie, 2007
2.
Chromeno[3,4-c]pyridin-5-ones:  Selective Human Dopamine D4 Receptor Antagonists as Potential Antipsychotic Agents
Unangst P.C., Capiris T., Connor D.T., Heffner T.G., MacKenzie R.G., Miller S.R., Pugsley T.A., Wise L.D.
Journal of Medicinal Chemistry, 1997
3.
Design, Synthesis, and Evaluation of the Antiproliferative Activity of a Series of Novel Fused Xanthenone Aminoderivatives in Human Breast Cancer Cells
Giannouli V., Kostakis I.K., Pouli N., Marakos P., Kousidou O.C., Tzanakakis G.N., Karamanos N.K.
Journal of Medicinal Chemistry, 2007
5.
Studies on antianaphylactic agents. 5. Synthesis of 3-(1H-tetrazol-5-yl)chromones, a new series of antiallergic substances.
Nohara A., Kuriki H., Saijo T., Sugihara H., Kanno M., Sanno Y.
Journal of Medicinal Chemistry, 1977
6.
Synthesis and anti-inflammatory activities of 4H-chromene and chromeno[2,3-b]pyridine derivatives
Chung S., Huang W., Huang C., Liu F., Huang R., Wu C., Lee A.
Research on Chemical Intermediates, 2015
8.
Studies on Antianaphylactic Agents. 7. Synthesis of Antiallergic 5-Oxo-5H-[1]benzopyrano[2,3-b]pyridines
Nohara A., Ishiguro T., Ukawa K., Sugihara H., Maki Y., Sanno Y.
Journal of Medicinal Chemistry, 1985
9.
Synthesis of 1,2,3,4-tetrahydro-5H-[1]benzopyrano[3,4-c]pyridin-5-ones. II. Substitution at the 3-position with 2-aminoethyl and 2-aminopropyl side chains
Connor D.T., Unangst P.C., Schwender C.F., Sorenson R.J., Carethers M.E., Puchalski C., Brown R.E.
Journal of Heterocyclic Chemistry, 1984
10.
Synthesis of azafluorenones and related compounds using deprotocupration–aroylation followed by intramolecular direct arylation
Marquise N., Harford P.J., Chevallier F., Roisnel T., Dorcet V., Gagez A., Sablé S., Picot L., Thiéry V., Wheatley A.E., Gros P.C., Mongin F.
Tetrahedron, 2013
11.
Intermolecular C−O Addition of Carboxylic Acids to Arynes
Dubrovskiy A.V., Larock R.C.
Organic Letters, 2010
14.
Benzopyranopyridine derivatives. 1. Aminoalkyl derivatives of the azaxanthenes as bronchodilating agents
Villani F.J., Mann T.A., Wefer E.A., Hannon J., Larca L.L., Landon M.J., Spivak W., Vashi D., Tozzi S.
Journal of Medicinal Chemistry, 1975
17.
Dimitriadou E., Raftopoulou M., Kasapidou P.M., Tsoleridis C.A., Stephanidou-Stephanatou J., Hadjipavlou-Litina D.J., Kontogiorgis C., Pritsa A., Papadopoulos A.
Arkivoc, 2014
20.
Chemoselective synthesis of m-teraryls through ring transformation of 2H-pyran-2-ones by 2-(1-arylethylidene)-malononitriles
Panwar R., Shally S., Shaw R., Elagamy A., Pratap R.
Organic and Biomolecular Chemistry, 2018
21.
AN EFFICIENT ONE STEP CONVERSION OF 3-FORMYLCHROMONES INTO 3-CYANOCHROMONES
Reddy G.J., Latha D., Thirupathaiah C., Rao K.S.
Organic Preparations and Procedures International, 2004