Keywords
benzofuran-2-carboxamides
carboxamides
cyclopropa[c]indoles
dihydrofurans
manganese(III) acetate
radical addition
Abstract
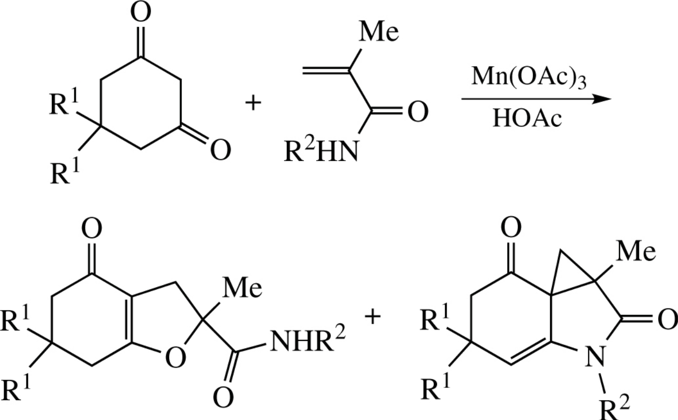
Manganese(III) acetate-mediated radical cyclization of N-substituted acrylamides with cyclohexane-1,3-diones gives 4-oxo-2,3,4,5,6,7-hexahydrobenzofuran-2-carboxamides and unexpected tricyclic 1,1a,5,6-tetrahydro-2H-cyclopropa[c]indole-2,7(3H)-diones. The structure of one representative tricyclic compound was confirmed by X-ray analysis. The reaction mechanism was examined employing some structural analogues of the reactants.
References
1.
Snider B.B.
Chemical Reviews,
1996
2.
Liu J.
Current Organic Synthesis,
2007
3.
Iqbal J., Bhatia B., Nayyar N.K.
Chemical Reviews,
1994
4.
Melikyan G.G.
Synthesis,
1993
5.
Mondal M., Bora U.
RSC Advances,
2013
6.
Garzino F., Méou A., Brun P.
Tetrahedron Letters,
2000
7.
Bar G., Parsons A.F., Thomas C.B.
Tetrahedron Letters,
2000
8.
Nishino H., Kajikawa S., Kurosawa K.
Heterocycles,
2001
9.
Bar G., Parsons A.F., Thomas C.B.
Tetrahedron,
2001
10.
Pan X., Zou J., Zhang W.
Molecular Diversity,
2009
11.
Chuang C., Tsai A., Tsai M.
Tetrahedron,
2013
12.
Kim S.H., Kim S.H., Lim C.H., Kim J.N.
Tetrahedron Letters,
2013
13.
Nishino H., Kumabe R., Hamada R., Yakut M.
Tetrahedron,
2014
14.
Katayama S., Nishino H.
Synthesis,
2019
15.
Huynh T., Nguyen V., Nishino H.
Tetrahedron Letters,
2017
16.
Kim M., Grzeszczyk B., Zamojski A.
Tetrahedron,
2000
17.
Nair V., Treesa P.M., Maliakal D., Rath N.P.
Tetrahedron,
2001
18.
Tseng C., Wu Y., Chuang C.
Tetrahedron,
2002
19.
Liao Y., Wu Y., Chuang C.
Tetrahedron,
2003
20.
Kobayashi K., Nagase K., Morikawa O., Konishi H.
Heterocycles,
2003
21.
Chuang C., Wu Y.
Tetrahedron,
2004
22.
Nair V., Deepthi A.
Chemical Reviews,
2007
23.
Nair V., Mohanan K., Suja T.D., Suresh E.
Tetrahedron Letters,
2006
24.
Bahrami K., Khodaei M.M., Naali F.
Journal of Organic Chemistry,
2008
25.
Yılmaz M.
Helvetica Chimica Acta,
2011
26.
27.
USTALAR A., YILMAZ M., OSMANİ A., KEÇELİ S.A.
Turkish Journal of Chemistry,
2017
28.
Hocaoglu B., Yilmaz M.
Synthetic Communications,
2019
29.
Rok Lee Y., Kim B.S., Il Kweon H.
Tetrahedron,
2000
30.
Lee Y.R., Kim N.S., Kim B.S.
Tetrahedron Letters,
1997
31.
Tata R.R., Harmata M.
Organic Letters,
2016
32.
Antonioletti R., Malancona S., Cattaruzza F., Bovicelli P.
Tetrahedron,
2003
33.
Antonioletti R., Malancona S., Bovicelli P.
Tetrahedron,
2002
34.
10.1016/j.mencom.2020.11.032_sbref0030a
Yilmaz
Turk. J. Chem.,
2005
35.
Alagoz O., Yılmaz M., Tarık Pekel A.
Synthetic Communications,
2006
36.
Biçer E., Yılmaz M., Karataş M., Pekel A.T.
Helvetica Chimica Acta,
2012
37.
Biçer E., Yılmaz M., Burgaz E.V., Pekel A.T.
Helvetica Chimica Acta,
2013
38.
Yılmaz M., Biçer E., Ustalar A., Pekel A.T.
Arkivoc,
2014
39.
Yılmaz M., Uzunalioglu N., Tarık Pekel A.
Tetrahedron,
2005
40.
10.1016/j.mencom.2020.11.032_sbref0035b
Yilmaz
Turk. J. Chem.,
2008
41.
Yllmaz M., Burgaz E.V., Yakut M., Biçer E.
Journal of the Chinese Chemical Society,
2014
42.
43.
Yılmaz M., Pekel A.T.
Journal of Fluorine Chemistry,
2005
44.
Yılmaz M., Pekel A.T.
Journal of Fluorine Chemistry,
2011
45.
Yılmaz M., Yılmaz E.V., Pekel A.T.
Helvetica Chimica Acta,
2011
46.
47.
Alagöz O., Yılmaz M., Pekel A.T., Graiff C., Maggi R.
RSC Advances,
2014
48.
Yılmaz M., Yakut M., Tarık Pekel A.
Synthetic Communications,
2008
49.
Özgür M., Yılmaz M., Nishino H., Çinar Avar E., Dal H., Pekel A.T., Hökelek T.
New Journal of Chemistry,
2019
50.
51.
Yilmaz M., Pekel A.T.
Synthetic Communications,
2001
52.
Yilmaz M., Pekel A.T.
Synthetic Communications,
2001
53.
Yılmaz E.V., Yılmaz M., Öktemer A.
Arkivoc,
2011
54.
Burgaz E.V., Yılmaz M., Pekel A.T., Öktemer A.
Tetrahedron,
2007
55.
10.1016/j.mencom.2020.11.032_bib0070
Yilmaz
ARKIVOC,
2016
56.
McCabe S., Wipf P.
Synthesis,
2018
57.
Petronijevic F.R., Wipf P.
Journal of the American Chemical Society,
2011
58.
McCabe S.R., Wipf P.
Angewandte Chemie - International Edition,
2016
59.
McCabe S.R., Wipf P.
Angewandte Chemie,
2016
60.
B. Ucan, PhD Thesis, 2005.