Home / Publications / Deep blue luminescent cyclometallated 1,2,3-triazol-5-ylidene iridium(iii) complexes

Deep blue luminescent cyclometallated 1,2,3-triazol-5-ylidene iridium(iii) complexes

11
Share
Cite this
GOST
 | 
Cite this
GOST Copy
Topchiy M. A. et al. Deep blue luminescent cyclometallated 1,2,3-triazol-5-ylidene iridium(iii) complexes // Mendeleev Communications. 2020. Vol. 30. No. 6. pp. 717-718.
GOST all authors (up to 50) Copy
Topchiy M. A., Rzhevskiy S. A., Ageshina A. A., Kirilenko N. Y., Sterligov G. K., Mladentsev D. Y., Parashchuk D. Y., Osipov S. N., Nechaev M. S., Asachenko A. F. Deep blue luminescent cyclometallated 1,2,3-triazol-5-ylidene iridium(iii) complexes // Mendeleev Communications. 2020. Vol. 30. No. 6. pp. 717-718.
RIS
 | 
Cite this
RIS Copy
TY - JOUR
DO - 10.1016/j.mencom.2020.11.009
UR - https://mendcomm.colab.ws/publications/10.1016/j.mencom.2020.11.009
TI - Deep blue luminescent cyclometallated 1,2,3-triazol-5-ylidene iridium(iii) complexes
T2 - Mendeleev Communications
AU - Topchiy, Maxim Anatol'evich
AU - Rzhevskiy, Sergey Aleksandrovich
AU - Ageshina, Alexandra Andreevna
AU - Kirilenko, Nikita Yuryevich
AU - Sterligov, Grigorii Konstantinovich
AU - Mladentsev, Dmitriy Yur'evich
AU - Parashchuk, Dmitry Yuryevich
AU - Osipov, Sergey Nikolaevich
AU - Nechaev, M S
AU - Asachenko, Andrey Fedorovich
PY - 2020
DA - 2020/11/03
PB - Mendeleev Communications
SP - 717-718
IS - 6
VL - 30
ER -
BibTex
 | 
Cite this
BibTex (up to 50 authors) Copy
@article{2020_Topchiy,
author = {Maxim Anatol'evich Topchiy and Sergey Aleksandrovich Rzhevskiy and Alexandra Andreevna Ageshina and Nikita Yuryevich Kirilenko and Grigorii Konstantinovich Sterligov and Dmitriy Yur'evich Mladentsev and Dmitry Yuryevich Parashchuk and Sergey Nikolaevich Osipov and M S Nechaev and Andrey Fedorovich Asachenko},
title = {Deep blue luminescent cyclometallated 1,2,3-triazol-5-ylidene iridium(iii) complexes},
journal = {Mendeleev Communications},
year = {2020},
volume = {30},
publisher = {Mendeleev Communications},
month = {Nov},
url = {https://mendcomm.colab.ws/publications/10.1016/j.mencom.2020.11.009},
number = {6},
pages = {717--718},
doi = {10.1016/j.mencom.2020.11.009}
}
MLA
Cite this
MLA Copy
Topchiy, Maxim Anatol'evich, et al. “Deep blue luminescent cyclometallated 1,2,3-triazol-5-ylidene iridium(iii) complexes.” Mendeleev Communications, vol. 30, no. 6, Nov. 2020, pp. 717-718. https://mendcomm.colab.ws/publications/10.1016/j.mencom.2020.11.009.
Views / Downloads
9 / 1

Keywords

N-heterocyclic carbenes
1,2,3-triazoles
iridium complexes
OLED
organofluorine compounds
photoluminescence
quantum yield

Abstract

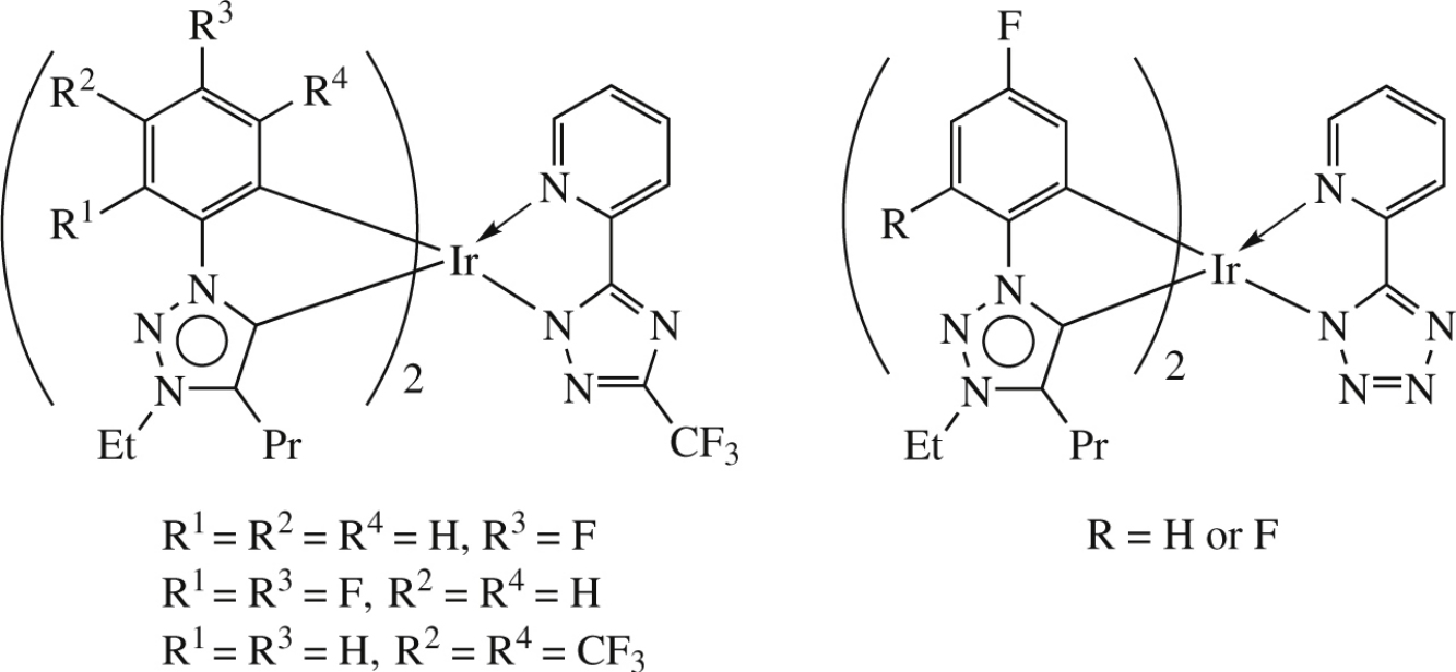
Novel heteroleptic cyclometallated 1,2,3-triazol-5-ylidene IrIII complexes with 2-(5-trifluoromethyl-2H-1,2,4-triazol-3-yl)pyridine or 2-(1H-tetrazol-5-yl)pyridine as the ancillary ligands demonstrate photoluminescence in green (520nm) and blue (450–480nm) regions.

References

1.
Highly Efficient Blue-Emitting Iridium(III) Carbene Complexes and Phosphorescent OLEDs
Chang C., Cheng Y., Chi Y., Chiu Y., Lin C., Lee G., Chou P., Chen C., Chang C., Wu C.
Angewandte Chemie - International Edition, 2008
3.
Cyclometalated Iridium(III)-Complex-Based Micelles for Glutathione-Responsive Targeted Chemotherapy and Photodynamic Therapy
Xiang H., Chen H., Tham H.P., Phua S.Z., Liu J., Zhao Y.
ACS applied materials & interfaces, 2017
4.
Endoplasmic Reticulum-Localized Iridium(III) Complexes as Efficient Photodynamic Therapy Agents via Protein Modifications
Nam J.S., Kang M., Kang J., Park S., Lee S.J., Kim H., Seo J.K., Kwon O., Lim M.H., Rhee H., Kwon T.
Journal of the American Chemical Society, 2016
6.
Neutral Cyclometalated Iridium(III) Complexes Bearing Substituted N-Heterocyclic Carbene (NHC) Ligands for High-Performance Yellow OLED Application
Liu B., Jabed M.A., Guo J., Xu W., Brown S.L., Ugrinov A., Hobbie E.K., Kilina S., Qin A., Sun W.
Inorganic Chemistry, 2019
7.
N-Heterocyclic Carbenes: Versatile Second Cyclometalated Ligands for Neutral Iridium(III) Heteroleptic Complexes
Li T., Liang X., Zhou L., Wu C., Zhang S., Liu X., Lu G., Xue L., Zheng Y., Zuo J.
Inorganic Chemistry, 2014
8.
Blue and Near-UV Phosphorescence from Iridium Complexes with Cyclometalated Pyrazolyl or N-Heterocyclic Carbene Ligands
Sajoto T., Djurovich P.I., Tamayo A., Yousufuddin M., Bau R., Thompson M.E., Holmes R.J., Forrest S.R.
Inorganic Chemistry, 2005
9.
Controlling the Radiative Rate of Deep-Blue Electrophosphorescent Organometallic Complexes by Singlet-Triplet Gap Engineering
Haneder S., Da Como E., Feldmann J., Lupton J.M., Lennartz C., Erk P., Fuchs E., Molt O., Münster I., Schildknecht C., Wagenblast G.
Advanced Materials, 2008
11.
Topchiy M.A., Dzhevakov P.B., Kirilenko N.Y., Rzhevskiy S.A., Ageshina A.A., Khrustalev V.N., Paraschuk D.Y., Bermeshev M.V., Nechaev M.S., Asachenko A.F.
Mendeleev Communications, 2019
12.
An unprecedentedly simple method of synthesis of aryl azides and 3-hydroxytriazenes
Gribanov P.S., Topchiy M.A., Golenko Y.D., Lichtenstein Y.I., Eshtukov A.V., Terekhov V.E., Asachenko A.F., Nechaev M.S.
Green Chemistry, 2016
14.
Azide-Alkyne Cycloaddition (CuAAC) in Alkane Solvents Catalyzed by Fluorinated NHC Copper(I) Complex
Topchiy M.A., Ageshina A.A., Gribanov P.S., Masoud S.M., Akmalov T.R., Nefedov S.E., Osipov S.N., Nechaev M.S., Asachenko A.F.
European Journal of Organic Chemistry, 2018
15.
Alkynyl‐ or Azido‐Functionalized 1,2,3‐Triazoles: Selective MonoCuAAC Promoted by Physical Factors
Topchiy M.A., Ageshina A.A., Chesnokov G.A., Sterligov G.K., Rzhevskiy S.A., Gribanov P.S., Osipov S.N., Nechaev M.S., Asachenko A.F.
ChemistrySelect, 2019
16.
Comparison of the Reactivity of M(allyl)3 (M = Rh, Ir) with Donor Ligands
John K.D., Salazar K.V., Scott B.L., Baker R.T., Sattelberger A.P.
Organometallics, 2000
17.
1Pyridine and phosphine functionalised N-heterocyclic carbene complexes of rhodium and iridium
Stylianides N., Danopoulos A.A., Tsoureas N.
Journal of Organometallic Chemistry, 2005
18.
Solvent effects on emission yield and lifetime for coumarin laser dyes. Requirements for a rotatory decay mechanism
Jones G., Jackson W.R., Choi C.Y., Bergmark W.R.
The Journal of Physical Chemistry, 1985