Home / Publications / Selenium or sulfur based aminofurazan N-hydroxyamidine materials as sorbents for removal of uranium from liquid media

Selenium or sulfur based aminofurazan N-hydroxyamidine materials as sorbents for removal of uranium from liquid media

Eduard Anatol'evich Tokar 1, 2
Eduard Anatol'evich Tokar
Konstantin Victorovich Maslov 2
Konstantin Victorovich Maslov
Marina Aleksandrovna Anistratova 2
Marina Aleksandrovna Anistratova
Alexander Yur'evich Ustinov 1
Alexander Yur'evich Ustinov
Andrei Mikhailovich Egorin 1
Andrei Mikhailovich Egorin
Ivan Gundarovich Tananaev
Published 2020-08-31
CommunicationVolume 30, Issue 5, 574-576
4
Share
Cite this
GOST
 | 
Cite this
GOST Copy
Tokar E. A. et al. Selenium or sulfur based aminofurazan N-hydroxyamidine materials as sorbents for removal of uranium from liquid media // Mendeleev Communications. 2020. Vol. 30. No. 5. pp. 574-576.
GOST all authors (up to 50) Copy
Tokar E. A., Maslov K. V., Anistratova M. A., Ustinov A. Y., Egorin A. M., Tananaev I. G. Selenium or sulfur based aminofurazan N-hydroxyamidine materials as sorbents for removal of uranium from liquid media // Mendeleev Communications. 2020. Vol. 30. No. 5. pp. 574-576.
RIS
 | 
Cite this
RIS Copy
TY - JOUR
DO - 10.1016/j.mencom.2020.09.007
UR - https://mendcomm.colab.ws/publications/10.1016/j.mencom.2020.09.007
TI - Selenium or sulfur based aminofurazan N-hydroxyamidine materials as sorbents for removal of uranium from liquid media
T2 - Mendeleev Communications
AU - Tokar, Eduard Anatol'evich
AU - Maslov, Konstantin Victorovich
AU - Anistratova, Marina Aleksandrovna
AU - Ustinov, Alexander Yur'evich
AU - Egorin, Andrei Mikhailovich
AU - Tananaev, Ivan Gundarovich
PY - 2020
DA - 2020/08/31
PB - Mendeleev Communications
SP - 574-576
IS - 5
VL - 30
ER -
BibTex
 | 
Cite this
BibTex (up to 50 authors) Copy
@article{2020_Tokar,
author = {Eduard Anatol'evich Tokar and Konstantin Victorovich Maslov and Marina Aleksandrovna Anistratova and Alexander Yur'evich Ustinov and Andrei Mikhailovich Egorin and Ivan Gundarovich Tananaev},
title = {Selenium or sulfur based aminofurazan N-hydroxyamidine materials as sorbents for removal of uranium from liquid media},
journal = {Mendeleev Communications},
year = {2020},
volume = {30},
publisher = {Mendeleev Communications},
month = {Aug},
url = {https://mendcomm.colab.ws/publications/10.1016/j.mencom.2020.09.007},
number = {5},
pages = {574--576},
doi = {10.1016/j.mencom.2020.09.007}
}
MLA
Cite this
MLA Copy
Tokar, Eduard Anatol'evich, et al. “Selenium or sulfur based aminofurazan N-hydroxyamidine materials as sorbents for removal of uranium from liquid media.” Mendeleev Communications, vol. 30, no. 5, Aug. 2020, pp. 574-576. https://mendcomm.colab.ws/publications/10.1016/j.mencom.2020.09.007.

Keywords

1,2,5-oxadiazoles
amidoximes
diselenides
disulfides
polymerization
sorption
uranium

Abstract

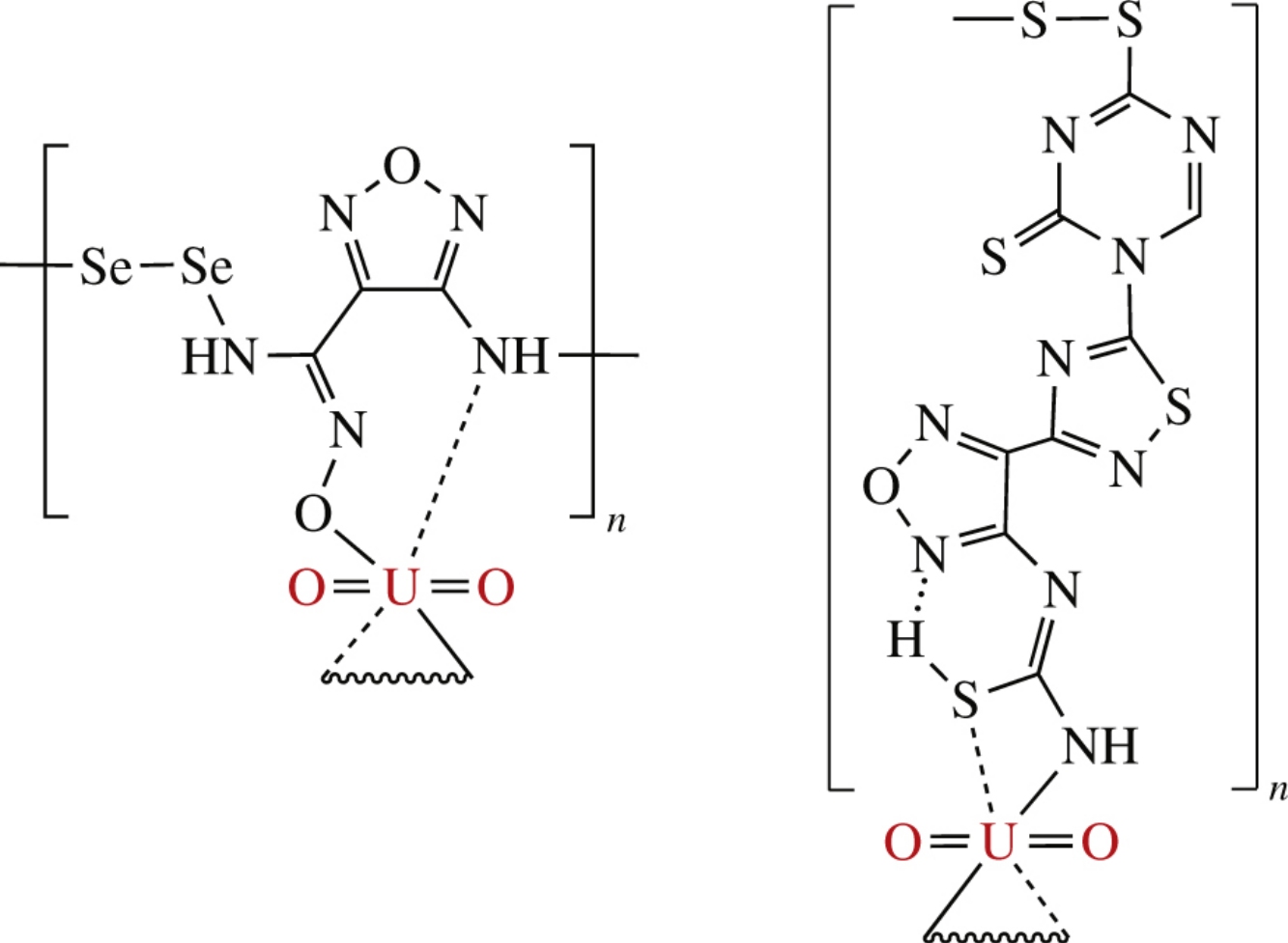
Reactions of N′-hydroxy-1,2,5-oxadiazole-3-carboximidamide with SeO2 or thiourea afford complex materials containing elements of the reactants and diselenide or disulfide bridges, respectively. These materials were tested as agents for Uvi extraction from liquid media in the range of pH 6–9 including technological and sea water.

References

1.
A review of potential remediation techniques for uranium(VI) ion retrieval from contaminated aqueous environment
Bhalara P.D., Punetha D., Balasubramanian K.
Journal of Environmental Chemical Engineering, 2014
2.
Pshinko G.N.
Journal of Water Chemistry and Technology, 2009
3.
Timoshenko T.G., Bogolepov A.A., Pshinko G.N.
Journal of Water Chemistry and Technology, 2009
4.
A. S. Nikiforov, V.V. Kulichenko and M. I. Zhikharev, Obezvrezhivanie zhidkikh radioaktivnykh otkhodov (Decontamination of Liquid Radioactive Wastes), Energoatomizdat, Moscow, 1985.(in Russian).
5.
10.1016/j.mencom.2020.09.007_bib0025
Psareva
Dokl. NAN Ukrainy, 2003
6.
Nanostructured Magnetic Sorbents for Selective Recovery of Uranium(VI) from Aqueous Solutions
Papynov E.K., Tkachenko I.A., Maiorov V.Y., Pechnikov V.S., Fedorets A.N., Portnyagin A.S., Dran’kov A.N., Buravlev I.Y., Grishin A.V., Tananaev I.G., Avramenko V.A.
Radiochemistry, 2019
7.
Emerging natural and tailored materials for uranium-contaminated water treatment and environmental remediation
8.
Gracheva N.N., Romanchuk A.Y., Bryukhanova K.I., Gavrichev K.S., Kalmykov S.N.
Mendeleev Communications, 2017
10.
10.1016/j.mencom.2020.09.007_bib0050
Poplavskaya
Khimiya amidoksimov (Chemistry of Amidoximes), 1988
11.
Bogolepov A.A., Pshinko G.N., Kornilovich B.Y.
Journal of Water Chemistry and Technology, 2007