Home / Publications / Metal ion directed template synthesis using 2-acetyl-1,3-indandione and ethylenediamine: steric and electronic restrictions

Metal ion directed template synthesis using 2-acetyl-1,3-indandione and ethylenediamine: steric and electronic restrictions

Anife Ismailova Ahmedova 1
Anife Ismailova Ahmedova
Sonya Zareva 1
Sonya Zareva
Anna Dolega 2
Anna Dolega
Published 2020-06-26
CommunicationVolume 30, Issue 4, 519-521
1
Share
Cite this
GOST
 | 
Cite this
GOST Copy
Ahmedova A. I., Zareva S., Dolega A. Metal ion directed template synthesis using 2-acetyl-1,3-indandione and ethylenediamine: steric and electronic restrictions // Mendeleev Communications. 2020. Vol. 30. No. 4. pp. 519-521.
GOST all authors (up to 50) Copy
Ahmedova A. I., Zareva S., Dolega A. Metal ion directed template synthesis using 2-acetyl-1,3-indandione and ethylenediamine: steric and electronic restrictions // Mendeleev Communications. 2020. Vol. 30. No. 4. pp. 519-521.
RIS
 | 
Cite this
RIS Copy
TY - JOUR
DO - 10.1016/j.mencom.2020.07.039
UR - https://mendcomm.colab.ws/publications/10.1016/j.mencom.2020.07.039
TI - Metal ion directed template synthesis using 2-acetyl-1,3-indandione and ethylenediamine: steric and electronic restrictions
T2 - Mendeleev Communications
AU - Ahmedova, Anife Ismailova
AU - Zareva, Sonya
AU - Dolega, Anna
PY - 2020
DA - 2020/06/26
PB - Mendeleev Communications
SP - 519-521
IS - 4
VL - 30
ER -
BibTex
 | 
Cite this
BibTex (up to 50 authors) Copy
@article{2020_Ahmedova,
author = {Anife Ismailova Ahmedova and Sonya Zareva and Anna Dolega},
title = {Metal ion directed template synthesis using 2-acetyl-1,3-indandione and ethylenediamine: steric and electronic restrictions},
journal = {Mendeleev Communications},
year = {2020},
volume = {30},
publisher = {Mendeleev Communications},
month = {Jun},
url = {https://mendcomm.colab.ws/publications/10.1016/j.mencom.2020.07.039},
number = {4},
pages = {519--521},
doi = {10.1016/j.mencom.2020.07.039}
}
MLA
Cite this
MLA Copy
Ahmedova, Anife Ismailova, et al. “Metal ion directed template synthesis using 2-acetyl-1,3-indandione and ethylenediamine: steric and electronic restrictions.” Mendeleev Communications, vol. 30, no. 4, Jun. 2020, pp. 519-521. https://mendcomm.colab.ws/publications/10.1016/j.mencom.2020.07.039.

Keywords

crystal structure
indan-1,3-dione
NiII complex
quantum chemical calculations
template synthesis
β-triketones

Abstract

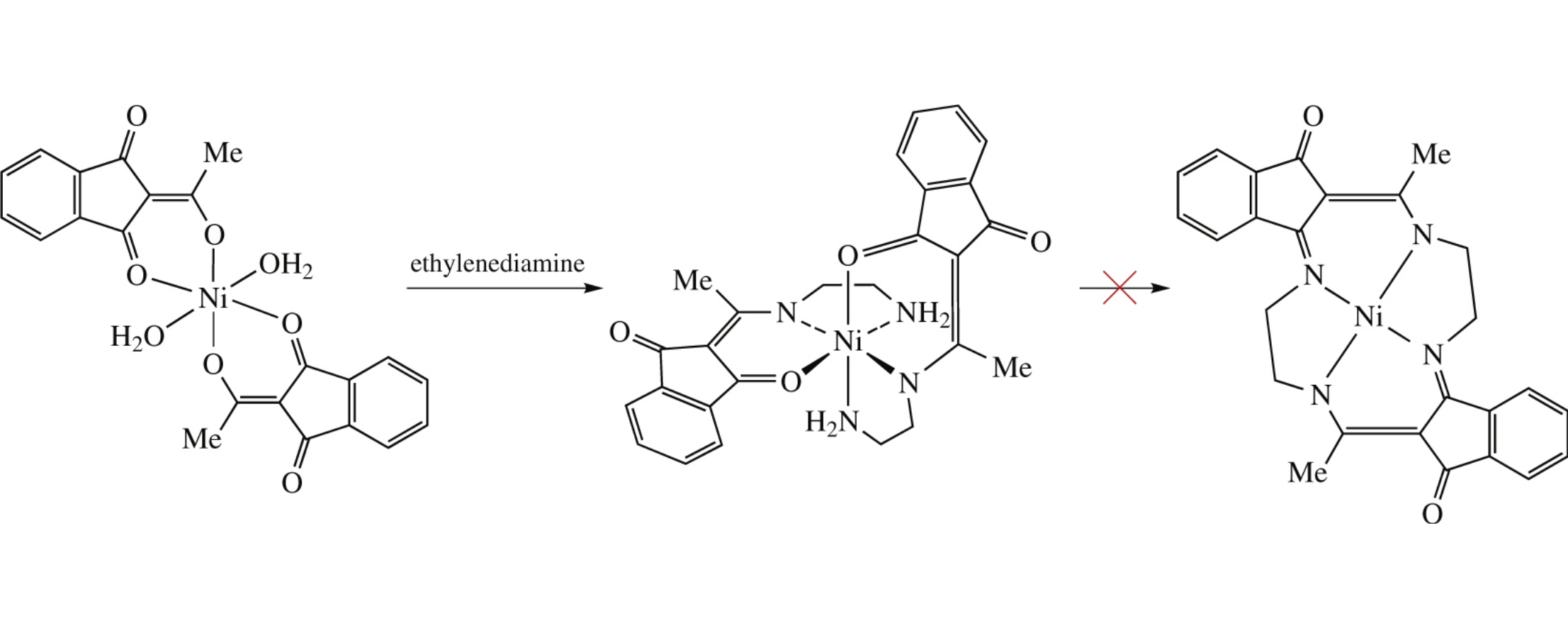
A NiII-directed template synthesis using 2-acetyl-1,3-indandione and ethylenediamine results in formation of octahedral NiII complex, whose crystal structure has been resolved using single crystal X-ray diffraction. The structure indicates that only exocyclic enolic oxygen atom of the triketone takes part in the condensation with ethylenediamine. Quantum chemical calculations reveal insights into the observed reactivity of an initial NiII complex of 2-acetyl-1,3-indandione with ethylenediamine and point out steric effects as the main restriction for a complete cyclization into a tetraaza macrocycle.

References

1.
Synthesis and crystal structure of cobalt(II) complex with 2-diphenylacetyl-1,3-indandione
3.
Copper(II) complex with 2-(diphenylacetyl)indanedione-1,3: Synthesis and structure
Kochetov A.N., Kuz’mina L.G.
Russian Journal of Inorganic Chemistry, 2009
5.
X-ray structure and magnetochemical study on a Co(II) complex of 2-acetyl-1,3-indandione
Ahmedova A., Cador O., Sorace L., Ciattini S., Gatteschi D., Mitewa M.
Journal of Coordination Chemistry, 2008
6.
Quantum chemical and spectroscopic study of the structure of 2-acetylindan-1,3-dione complexes with metal(II) ions
Enchev V., Ahmedova A., Ivanova G., Wawer I., Stoyanov N., Mitewa M.
Journal of Molecular Structure, 2001
7.
Synthesis and crystal structure of the Ag(I) complex with a cyclic β-diketone, 2-(diphenylacetyl)indan-1,3-dione (L), and the HL molecule
Palkina K.K., Kochetov A.N., Savinkina E.V., Alikberova L.Y.
Russian Journal of Inorganic Chemistry, 2006
8.
Reactions of 2-acyl-1,3-indandiones with monosubstituted hydrazines and hydrazides
9.
Reactions of 2-acyl-1,3-indandiones
Lemke T.L., Parker G.R.
Journal of Heterocyclic Chemistry, 1980
10.
Reaction of 2-acetyl-indane-1,3-dione with aniline - Schiff base or enamine?
Enchev V., Ivanova G., Pavlović G., Rogojerov M., Ahmedova A., Mitewa M.
Journal of Molecular Structure, 2003
11.
10.1016/j.mencom.2020.07.039_bib0055
Ahmedova
J. Univ. Chem. Technol. Metall., 2005
14.
Reactions of 2-acyl-1,3-indandiones with o-phenylenediamines
Mosher W.A., Piesch S.
Journal of Organic Chemistry, 1970
15.
10.1016/j.mencom.2020.07.039_bib0075
Prasad
J. Indian Chem. Soc., 2012
16.
Reactions of the metal complexes of 2-hydroxymethylenecyclohexanone and its derivatives with amines
Bamfield P.
Journal of the Chemical Society A Inorganic Physical Theoretical, 1969
17.
Crystal structure refinement withSHELXL
Sheldrick G.M.
Acta crystallographica. Section C, Structural chemistry, 2015
18.
OLEX2: a complete structure solution, refinement and analysis program
Dolomanov O.V., Bourhis L.J., Gildea R.J., Howard J.A., Puschmann H.
Journal of Applied Crystallography, 2009
19.
WinGXandORTEP for Windows: an update
Farrugia L.J.
Journal of Applied Crystallography, 2012
23.
10.1016/j.mencom.2020.07.039_bib0115
Frisch
Gaussian 03. Revision D. 01, 2004
24.
Structures of Nickel(II) and Copper(II) Complexes of 14-Membered Macrocyclic Quadridentate Ligands