Home / Publications / Imidazo[4,5-f][1,10]phenanthroline complexes with Fe2+, Cd2+, Co2+ and Zn2+ ions

Imidazo[4,5-f][1,10]phenanthroline complexes with Fe2+, Cd2+, Co2+ and Zn2+ ions

Sergey Dmitrievich Tokarev 1, 2
Sergey Dmitrievich Tokarev
Yurii Viktorovich Fedorov 2
Yurii Viktorovich Fedorov
Olga Anatol'evna Fedorova 2
Olga Anatol'evna Fedorova
Published 2020-06-26
CommunicationVolume 30, Issue 4, 445-448
3
Share
Cite this
GOST
 | 
Cite this
GOST Copy
Tokarev S. D., Fedorov Y. V., Fedorova O. A. Imidazo[4,5-f][1,10]phenanthroline complexes with Fe2+, Cd2+, Co2+ and Zn2+ ions // Mendeleev Communications. 2020. Vol. 30. No. 4. pp. 445-448.
GOST all authors (up to 50) Copy
Tokarev S. D., Fedorov Y. V., Fedorova O. A. Imidazo[4,5-f][1,10]phenanthroline complexes with Fe2+, Cd2+, Co2+ and Zn2+ ions // Mendeleev Communications. 2020. Vol. 30. No. 4. pp. 445-448.
RIS
 | 
Cite this
RIS Copy
TY - JOUR
DO - 10.1016/j.mencom.2020.07.013
UR - https://mendcomm.colab.ws/publications/10.1016/j.mencom.2020.07.013
TI - Imidazo[4,5-f][1,10]phenanthroline complexes with Fe2+, Cd2+, Co2+ and Zn2+ ions
T2 - Mendeleev Communications
AU - Tokarev, Sergey Dmitrievich
AU - Fedorov, Yurii Viktorovich
AU - Fedorova, Olga Anatol'evna
PY - 2020
DA - 2020/06/26
PB - Mendeleev Communications
SP - 445-448
IS - 4
VL - 30
ER -
BibTex
 | 
Cite this
BibTex (up to 50 authors) Copy
@article{2020_Tokarev,
author = {Sergey Dmitrievich Tokarev and Yurii Viktorovich Fedorov and Olga Anatol'evna Fedorova},
title = {Imidazo[4,5-f][1,10]phenanthroline complexes with Fe2+, Cd2+, Co2+ and Zn2+ ions},
journal = {Mendeleev Communications},
year = {2020},
volume = {30},
publisher = {Mendeleev Communications},
month = {Jun},
url = {https://mendcomm.colab.ws/publications/10.1016/j.mencom.2020.07.013},
number = {4},
pages = {445--448},
doi = {10.1016/j.mencom.2020.07.013}
}
MLA
Cite this
MLA Copy
Tokarev, Sergey Dmitrievich, et al. “Imidazo[4,5-f][1,10]phenanthroline complexes with Fe2+, Cd2+, Co2+ and Zn2+ ions.” Mendeleev Communications, vol. 30, no. 4, Jun. 2020, pp. 445-448. https://mendcomm.colab.ws/publications/10.1016/j.mencom.2020.07.013.

Keywords

cadmium complexes
cobalt complexes
electron transfer
imidazophenanthrolines
iron complexes
luminescence
optical properties
zinc complexes

Abstract

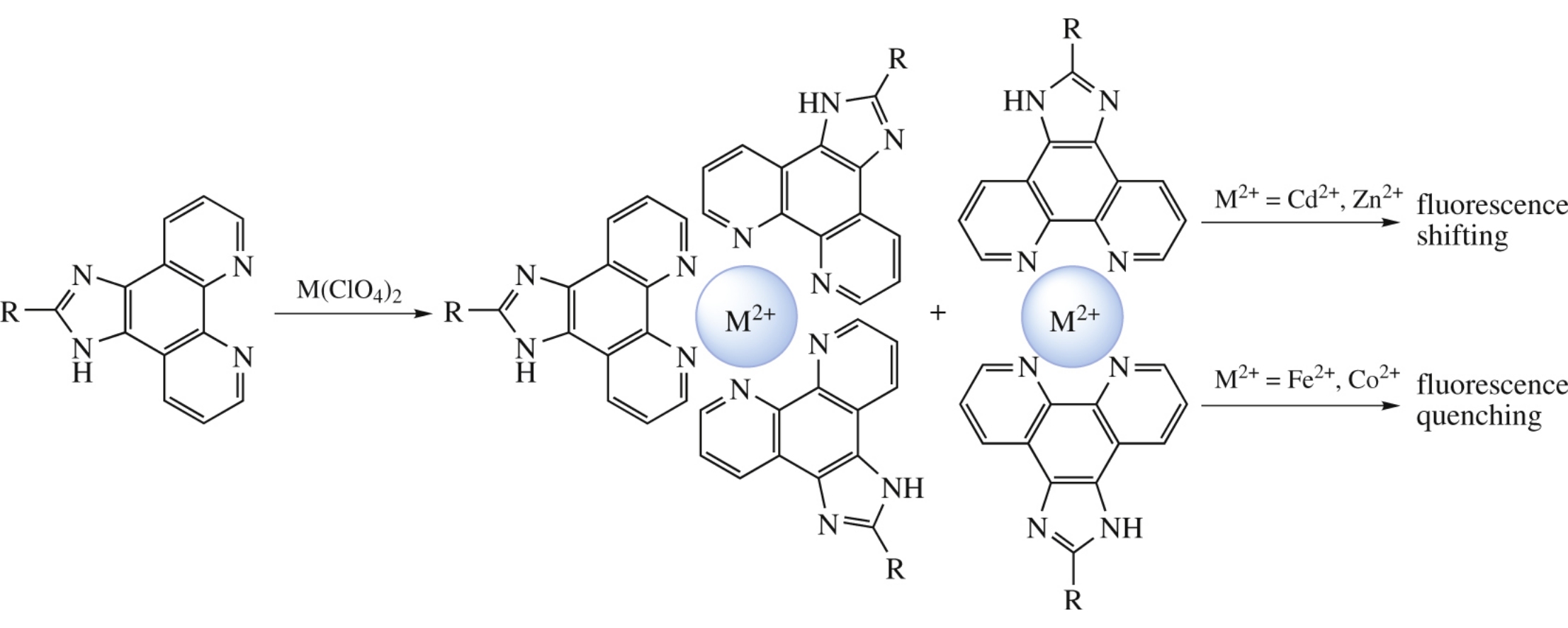
Reactions of 2-(het)aryl substituted 1H-imidazo[4,5-f]-[1,10]phenanthrolines with Cd2+, Zn2+, Co2+ and Fe2+ perchlorates afford complexes of 2: 1 and 3: 1 ligand/metal ratios. Complexes of ligands with Cd2+ and Zn2+ are luminescent, while Co2+ and Fe2+ complexes are highly stable (K>1021), do not luminesce and demonstrate electron transfer from metal to ligand.

References

2.
Tokarev S.D., Sotnikova Y.A., Anisimov A.V., Fedorov Y.V., Jonusauskas G., Lypenko D.A., Malov V.V., Tameev A.R., Mal’tsev E.I., Fedorova O.A.
Mendeleev Communications, 2019
3.
Ambidentate and redox-properties of 4,7-phenanthroline-5,6-dione in cobalt complexes: a quantum chemical study
Starikov A.G., Tsaturyan А.А., Starikova А.А., Gusakov Е.А., Minkin V.I.
Russian Chemical Bulletin, 2018
5.
1-Methyl-2-(anthryl)-imidazo[4,5-f][1,10]-phenanthroline: A Highly Efficient Electron-Transport Compound and a Bright Blue-Light Emitter for Electroluminescent Devices
Wang R.-., Jia W.-., Aziz H., Vamvounis G., Wang S., Hu N.-., Popović Z.D., Coggan J.A.
Advanced Functional Materials, 2005
7.
Blue light-emitting and electron-transporting materials based on dialkyl-functionlized anthracene imidazophenanthrolines
10.
Characterization, photophysical and DFT calculation study on 2-(2,4-difluorophenyl)-1-(4-methoxyphenyl)-1H-imidazo[4,5-f][1,10]phenanthroline ligand
Jayabharathi J., Thanikachalam V., Venkatesh Perumal M.
Spectrochimica Acta - Part A: Molecular and Biomolecular Spectroscopy, 2012
12.
MiroRNA-127-3p targets XRCC3 to enhance the chemosensitivity of esophageal cancer cells to a novel phenanthroline-dione derivative
Zhen N., Yang Q., Zheng K., Han Z., Sun F., Mei W., Yu Y.
International Journal of Biochemistry and Cell Biology, 2016
13.
Microwave-assisted synthesis of phenanthroimidazole derivatives as stabilizer of c-myc G-quadruplex DNA
Liao S., Zhang Z., Wu Q., Wang X., Mei W.
Bioorganic and Medicinal Chemistry, 2014
17.
Synthesis, structural characterization and theoretical approach of the tri(2-(2,6-dichlorophenyl)-1H-imidazo[4,5-f][1,10]phenanthroline) cobalt(II)
Wang Y., Zhang Y., Zhu D., Ma K., Ni H., Tang G.
Spectrochimica Acta - Part A: Molecular and Biomolecular Spectroscopy, 2015
22.
DNA–interactions of ruthenium(II) & cobalt(III) phenanthroline and bipyridine complexes with a planar aromatic ligand 2-(2-fluronyl)1H-imidazo[4,5-f][1,10-Phenanthroline]
Shilpa M., Latha J.N., Gayatri Devi A., Nagarjuna A., Kumar Y.P., Nagababu P., Satyanarayana S.
Journal of Inclusion Phenomena and Macrocyclic Chemistry, 2010
26.
New photocatalyst for the degradation of organic dyes based on [Co2(1,4-BDC)(NCP)2]n·4nH2O
Sun H., Liu C., Cong Y., Yu M., Bai H., Che G.
Inorganic Chemistry Communication, 2013
27.
Ru(II)-bipyridine complexes in supramolecular systems, devices and machines
Balzani V., Bergamini G., Marchioni F., Ceroni P.
Coordination Chemistry Reviews, 2006
28.
Highly Efficient Light-Harvesting Ruthenium Sensitizer for Thin-Film Dye-Sensitized Solar Cells
Chen C., Wang M., Li J., Pootrakulchote N., Alibabaei L., Ngoc-le C., Decoppet J., Tsai J., Grätzel C., Wu C., Zakeeruddin S.M., Grätzel M.
ACS Nano, 2009
29.
Dye-Sensitized Solar Cells
Hagfeldt A., Boschloo G., Sun L., Kloo L., Pettersson H.
Chemical Reviews, 2010
30.
Photophysics of a Ruthenium 4H-Imidazole Panchromatic Dye in Interaction with Titanium Dioxide
Schindler J., Kupfer S., Wächtler M., Guthmuller J., Rau S., Dietzek B.
ChemPhysChem, 2015
31.
Photochemical Fate: The First Step Determines Efficiency of H2 Formation with a Supramolecular Photocatalyst
Tschierlei S., Karnahl M., Presselt M., Dietzek B., Guthmuller J., González L., Schmitt M., Rau S., Popp J.
Angewandte Chemie - International Edition, 2010
32.
Artificial Photosynthesis: From Molecular Catalysts for Light‐driven Water Splitting to Photoelectrochemical Cells
Andreiadis E.S., Chavarot-Kerlidou M., Fontecave M., Artero V.
Photochemistry and Photobiology, 2011
33.
Tuning the luminescence lifetimes of ruthenium(ii) polypyridine complexes and its application in luminescent oxygen sensing
Ji S., Wu W., Wu W., Song P., Han K., Wang Z., Liu S., Guo H., Zhao J.
Journal of Materials Chemistry A, 2010
34.
Photobiological Activity of Ru(II) Dyads Based on (Pyren-1-yl)ethynyl Derivatives of 1,10-Phenanthroline
Monro S., Scott J., Chouai A., Lincoln R., Zong R., Thummel R.P., McFarland S.A.
Inorganic Chemistry, 2010
36.
Intramolecular electron transfer in Cu(ii) complexes with aryl-imidazo-1,10-phenanthroline derivatives: experimental and quantum chemical calculation studies
Fedorova O.A., Shepel N.E., Tokarev S.D., Lukovskaya E.V., Sotnikova Y.A., Moiseeva A.A., D’Aléo A., Fages F., Maurel F., Fedorov Y.V.
New Journal of Chemistry, 2019
38.
Luminescent complexes beyond the platinum group: the d10 avenue
Barbieri A., Accorsi G., Armaroli N.
Chemical Communications, 2008
41.
A novel terpyridine/benzofurazan hybrid fluorophore: metal sensing behavior and application
Yang Z., Yan C., Chen Y., Zhu C., Zhang C., Dong X., Yang W., Guo Z., Lu Y., He W.
Dalton Transactions, 2011