Home / Publications / New spiro-linked indolinone pyrrolidine selenoxoimidazolones

New spiro-linked indolinone pyrrolidine selenoxoimidazolones

Vladimir Konstantinovich Novotortsev 1
Vladimir Konstantinovich Novotortsev
Victor Aleksandrovich Tafeenko 1
Victor Aleksandrovich Tafeenko
Nikolai Vasil'evich Zyk 1
Nikolai Vasil'evich Zyk
Published 2020-04-30
CommunicationVolume 30, Issue 3, 320-321
10
Share
Cite this
GOST
 | 
Cite this
GOST Copy
Novotortsev V. K. et al. New spiro-linked indolinone pyrrolidine selenoxoimidazolones // Mendeleev Communications. 2020. Vol. 30. No. 3. pp. 320-321.
GOST all authors (up to 50) Copy
Novotortsev V. K., Kukushkin M. E., Tafeenko V. A., Zyk N. V., Beloglazkina E. K. New spiro-linked indolinone pyrrolidine selenoxoimidazolones // Mendeleev Communications. 2020. Vol. 30. No. 3. pp. 320-321.
RIS
 | 
Cite this
RIS Copy
TY - JOUR
DO - 10.1016/j.mencom.2020.05.020
UR - https://mendcomm.colab.ws/publications/10.1016/j.mencom.2020.05.020
TI - New spiro-linked indolinone pyrrolidine selenoxoimidazolones
T2 - Mendeleev Communications
AU - Novotortsev, Vladimir Konstantinovich
AU - Kukushkin, Maxim Evgenievich
AU - Tafeenko, Victor Aleksandrovich
AU - Zyk, Nikolai Vasil'evich
AU - Beloglazkina, Elena Kimovna
PY - 2020
DA - 2020/04/30
PB - Mendeleev Communications
SP - 320-321
IS - 3
VL - 30
ER -
BibTex
 | 
Cite this
BibTex (up to 50 authors) Copy
@article{2020_Novotortsev,
author = {Vladimir Konstantinovich Novotortsev and Maxim Evgenievich Kukushkin and Victor Aleksandrovich Tafeenko and Nikolai Vasil'evich Zyk and Elena Kimovna Beloglazkina},
title = {New spiro-linked indolinone pyrrolidine selenoxoimidazolones},
journal = {Mendeleev Communications},
year = {2020},
volume = {30},
publisher = {Mendeleev Communications},
month = {Apr},
url = {https://mendcomm.colab.ws/publications/10.1016/j.mencom.2020.05.020},
number = {3},
pages = {320--321},
doi = {10.1016/j.mencom.2020.05.020}
}
MLA
Cite this
MLA Copy
Novotortsev, Vladimir Konstantinovich, et al. “New spiro-linked indolinone pyrrolidine selenoxoimidazolones.” Mendeleev Communications, vol. 30, no. 3, Apr. 2020, pp. 320-321. https://mendcomm.colab.ws/publications/10.1016/j.mencom.2020.05.020.
Views / Downloads
1 / 2

Keywords

azomethine ylides
dispiro compounds
indolinones
pyrrolidines
selenohydantoins
spiro compounds
X-ray

Abstract

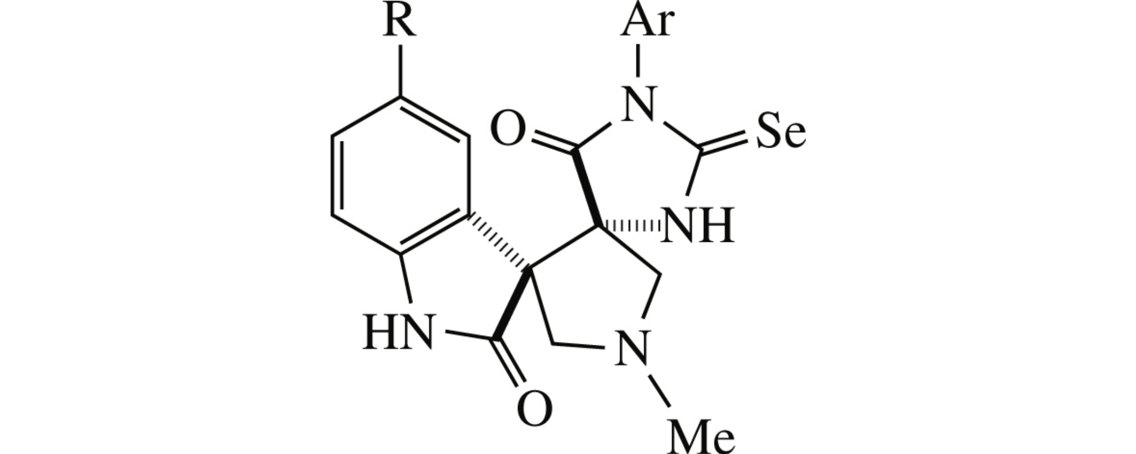
New 2-selenoxodispiro[imidazolidine-4,3′-pyrrolidine-4′,3″-indoline]-2″,5-dione system was accessed by addition of azomethine ylide at the double bond of (Z)-(2-oxoindolin-3-ylidene)-2-selenoxoimidazolidin-4-one derivatives. The latter were stereoselectively obtained in two steps from ethyl isoselenocyanatoacetate and isatins.

References

1.
The p53-mdm-2 autoregulatory feedback loop.
Wu X., Bayle J.H., Olson D., Levine A.J.
Genes and Development, 1993
2.
Surfing the p53 network
Vogelstein B., Lane D., Levine A.J.
Nature, 2000
3.
Structure-Based Design of Potent Non-Peptide MDM2 Inhibitors
Ding K., Lu Y., Nikolovska-Coleska Z., Qiu S., Ding Y., Gao W., Stuckey J., Krajewski K., Roller P.P., Tomita Y., Parrish D.A., Deschamps J.R., Wang S.
Journal of the American Chemical Society, 2005
4.
Design, synthesis and biological evaluation of novel potent MDM2/p53 small-molecule inhibitors
Ivanenkov Y.A., Vasilevski S.V., Beloglazkina E.K., Kukushkin M.E., Machulkin A.E., Veselov M.S., Chufarova N.V., Chernyaginab E.S., Vanzcool A.S., Zyk N.V., Skvortsov D.A., Khutornenko A.A., Rusanov A.L., Tonevitsky A.G., Dontsova O.A., et. al.
Bioorganic and Medicinal Chemistry Letters, 2015
5.
Synthesis and cytotoxicity of novel dispiro derivatives of 5-arylidenoxazolones, potential inhibitors of p53—MDM2 protein-protein interaction
Beloglazkina A.А., Skvortsov D.А., Tafeenko V.A., Majouga А.G., Zyk N.V., Beloglazkina Е.К.
Russian Chemical Bulletin, 2018
6.
Synthesis of dispirooxindoles containing N-unsubstituted heterocyclic moieties and study of their anticancer activity
Beloglazkina A.A., Karpov N.A., Mefedova S.R., Polyakov V.S., Skvortsov D.A., Kalinina M.A., Tafeenko V.A., Majouga A.G., Zyk N.V., Beloglazkina E.K.
Russian Chemical Bulletin, 2019
8.
A novel biologically active seleno-organic compound—1
Müller A., Cadenas E., Graf P., Sies H.
Biochemical Pharmacology, 1984
9.
Molecular actions of Ebselen—an antiinflammatory antioxidant
Schewe T.
General Pharmacology The Vascular System, 1995
10.
10.1016/j.mencom.2020.05.020_bib0050
Batist
Cancer Res., 1986
11.
Synthesis, isomerization and biological activity of novel 2-selenohydantoin derivatives
Ivanenkov Y.A., Veselov M.S., Rezekin I.G., Skvortsov D.A., Sandulenko Y.B., Polyakova M.V., Bezrukov D.S., Vasilevsky S.V., Kukushkin M.E., Moiseeva A.A., Finko A.V., Koteliansky V.E., Klyachko N.L., Filatova L.A., Beloglazkina E.K., et. al.
Bioorganic and Medicinal Chemistry, 2016