Home / Publications / Base-determinant chemodivergent transformations of chiral 2,3-dibromopropanamide derivative

Base-determinant chemodivergent transformations of chiral 2,3-dibromopropanamide derivative

Natalya Kazimirovna Selezneva 1
Natalya Kazimirovna Selezneva
Adeliya Maratovna Galeeva 1
Adeliya Maratovna Galeeva
Leonard Mukhibovich Khalilov 2
Leonard Mukhibovich Khalilov
Zuleykha Rakhim'yanovna Valiullina 1
Zuleykha Rakhim'yanovna Valiullina
Mansur Sagar'yarovich Miftakhov 1
Mansur Sagar'yarovich Miftakhov
Published 2020-04-30
CommunicationVolume 30, Issue 3, 313-314
2
Share
Cite this
GOST
 | 
Cite this
GOST Copy
Selezneva N. K. et al. Base-determinant chemodivergent transformations of chiral 2,3-dibromopropanamide derivative // Mendeleev Communications. 2020. Vol. 30. No. 3. pp. 313-314.
GOST all authors (up to 50) Copy
Selezneva N. K., Galeeva A. M., Khalilov L. M., Valiullina Z. R., Miftakhov M. S. Base-determinant chemodivergent transformations of chiral 2,3-dibromopropanamide derivative // Mendeleev Communications. 2020. Vol. 30. No. 3. pp. 313-314.
RIS
 | 
Cite this
RIS Copy
TY - JOUR
DO - 10.1016/j.mencom.2020.05.017
UR - https://mendcomm.colab.ws/publications/10.1016/j.mencom.2020.05.017
TI - Base-determinant chemodivergent transformations of chiral 2,3-dibromopropanamide derivative
T2 - Mendeleev Communications
AU - Selezneva, Natalya Kazimirovna
AU - Galeeva, Adeliya Maratovna
AU - Khalilov, Leonard Mukhibovich
AU - Valiullina, Zuleykha Rakhim'yanovna
AU - Miftakhov, Mansur Sagar'yarovich
PY - 2020
DA - 2020/04/30
PB - Mendeleev Communications
SP - 313-314
IS - 3
VL - 30
ER -
BibTex
 | 
Cite this
BibTex (up to 50 authors) Copy
@article{2020_Selezneva,
author = {Natalya Kazimirovna Selezneva and Adeliya Maratovna Galeeva and Leonard Mukhibovich Khalilov and Zuleykha Rakhim'yanovna Valiullina and Mansur Sagar'yarovich Miftakhov},
title = {Base-determinant chemodivergent transformations of chiral 2,3-dibromopropanamide derivative},
journal = {Mendeleev Communications},
year = {2020},
volume = {30},
publisher = {Mendeleev Communications},
month = {Apr},
url = {https://mendcomm.colab.ws/publications/10.1016/j.mencom.2020.05.017},
number = {3},
pages = {313--314},
doi = {10.1016/j.mencom.2020.05.017}
}
MLA
Cite this
MLA Copy
Selezneva, Natalya Kazimirovna, et al. “Base-determinant chemodivergent transformations of chiral 2,3-dibromopropanamide derivative.” Mendeleev Communications, vol. 30, no. 3, Apr. 2020, pp. 313-314. https://mendcomm.colab.ws/publications/10.1016/j.mencom.2020.05.017.

Keywords

azetidin-2-ones
chemodivergent synthesis
dehydrobromination
diastereomers
α-methylidene-β-lactams
β-bromomethacryloylamides
β-lactams

Abstract

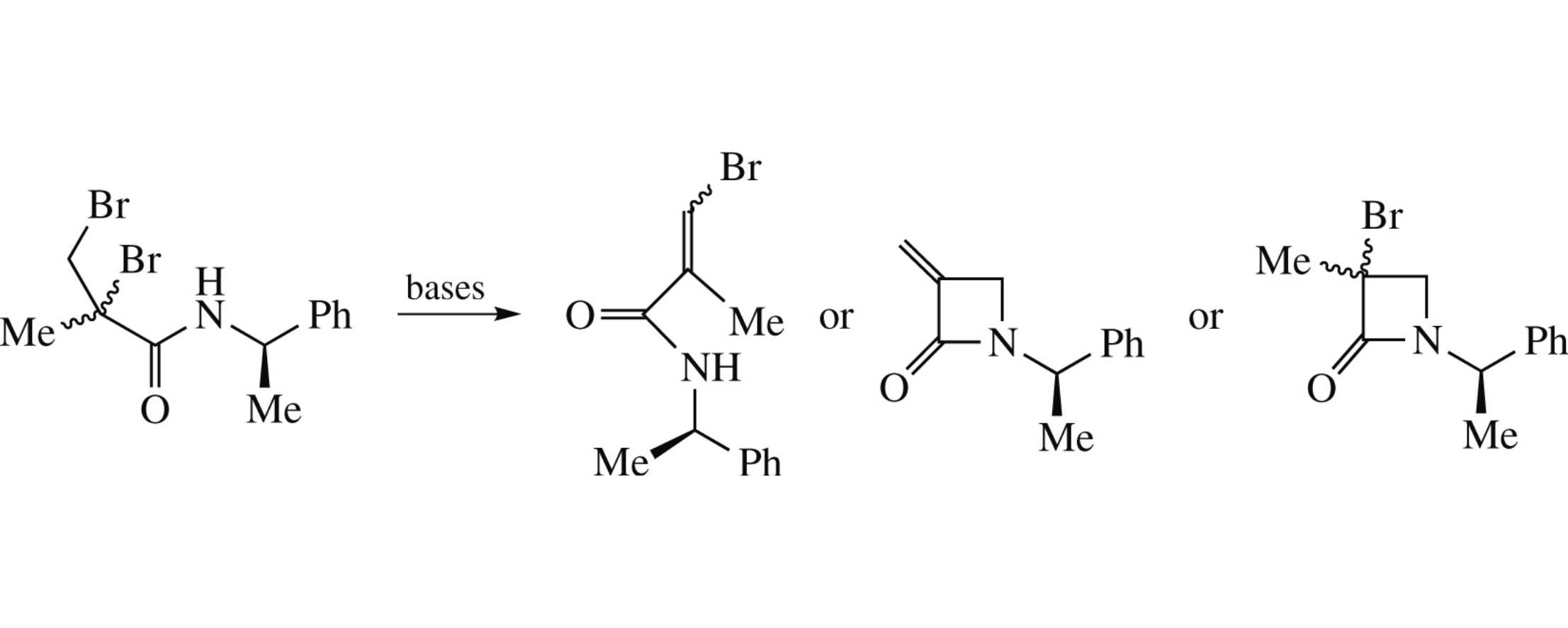
Depending on the base used, reactions of 2,3-dibromo-2-methyl-N-[(1R)-1-phenylethyl]propanamide with DBU, ButOK and NaH in THF lead to β-bromomethacryloylamides, α-methylidene-β-lactam and azetidin-2-ones, respectively.

References

2.
Total Synthesis of Ezetimibe, a Cholesterol Absorption Inhibitor
Śnieżek M., Stecko S., Panfil I., Furman B., Chmielewski M.
Journal of Organic Chemistry, 2013
4.
Selezneva N.K., Valiullina Z.R., Khasanova L.S., Gimalova F.A., Biglova R.Z., Miftakhov M.S.
Mendeleev Communications, 2018
5.
Total Synthesis of Taxol. 4. The Final Stages and Completion of the Synthesis
Nicolaou K.C., Ueno H., Liu J.-., Nantermet P.G., Yang Z., Renaud J., Paulvannan K., Chadha R.
Journal of the American Chemical Society, 1995
8.
Synthesis and Applications of 3-Methylene-4-(trifluoromethyl)azetidin-2-ones as Building Blocks for the Preparation of Mono- and Spirocyclic 4-CF3-β-Lactams
Dao Thi H., Danneels B., Desmet T., Van Hecke K., Van Nguyen T., D'hooghe M.
Asian Journal of Organic Chemistry, 2016
9.
Palladium-Catalyzed Oxidative Carbonylation ofN-Allylamines for the Synthesis of β-Lactams
Li W., Liu C., Zhang H., Ye K., Zhang G., Zhang W., Duan Z., You S., Lei A.
Angewandte Chemie - International Edition, 2014
10.
Densely Functionalized 2-Methylideneazetidines from Nitrodienic Building Blocks
Tavani C., Bianchi L., Giorgi G., Maccagno M., Petrillo G.
European Journal of Organic Chemistry, 2018
11.
Aromatic Spiroketal Bisphosphine Ligands: Palladium-Catalyzed Asymmetric Allylic Amination of Racemic Morita-Baylis-Hillman Adducts
Wang X., Meng F., Wang Y., Han Z., Chen Y., Liu L., Wang Z., Ding K.
Angewandte Chemie - International Edition, 2012
13.
Heck reaction as a sharpening stone of palladium catalysis
Beletskaya I.P., Cheprakov A.V.
Chemical Reviews, 2000
15.
CrysAlis PRO, Agilent Technologies, Yarnton, Oxfordshire, UK, 2014.
16.
A short history of SHELX
Sheldrick G.M.
Acta Crystallographica Section A Foundations of Crystallography, 2007
17.
10.1016/j.mencom.2020.05.017_bib0085
Sheldrick
Acta Crystallogr., 2015