Home / Publications / Efficient one-pot synthesis of diphenyl(pyrazin-2-yl)phosphine and its AgI, AuI and PtII complexes

Efficient one-pot synthesis of diphenyl(pyrazin-2-yl)phosphine and its AgI, AuI and PtII complexes

Maxim Igorevich Rogovoy 1
Maxim Igorevich Rogovoy
Maria Petrovna Davydova 1
Maria Petrovna Davydova
Irina Yur'evna Bagryanskaya 2
Irina Yur'evna Bagryanskaya
Alexandr Viktorovich Artem’ev 1
Alexandr Viktorovich Artem’ev
Published 2020-04-30
CommunicationVolume 30, Issue 3, 305-307
5
Share
Cite this
GOST
 | 
Cite this
GOST Copy
Rogovoy M. I. et al. Efficient one-pot synthesis of diphenyl(pyrazin-2-yl)phosphine and its AgI, AuI and PtII complexes // Mendeleev Communications. 2020. Vol. 30. No. 3. pp. 305-307.
GOST all authors (up to 50) Copy
Rogovoy M. I., Davydova M. P., Bagryanskaya I. Y., Artem’ev A. V. Efficient one-pot synthesis of diphenyl(pyrazin-2-yl)phosphine and its AgI, AuI and PtII complexes // Mendeleev Communications. 2020. Vol. 30. No. 3. pp. 305-307.
RIS
 | 
Cite this
RIS Copy
TY - JOUR
DO - 10.1016/j.mencom.2020.05.014
UR - https://mendcomm.colab.ws/publications/10.1016/j.mencom.2020.05.014
TI - Efficient one-pot synthesis of diphenyl(pyrazin-2-yl)phosphine and its AgI, AuI and PtII complexes
T2 - Mendeleev Communications
AU - Rogovoy, Maxim Igorevich
AU - Davydova, Maria Petrovna
AU - Bagryanskaya, Irina Yur'evna
AU - Artem’ev, Alexandr Viktorovich
PY - 2020
DA - 2020/04/30
PB - Mendeleev Communications
SP - 305-307
IS - 3
VL - 30
ER -
BibTex
 | 
Cite this
BibTex (up to 50 authors) Copy
@article{2020_Rogovoy,
author = {Maxim Igorevich Rogovoy and Maria Petrovna Davydova and Irina Yur'evna Bagryanskaya and Alexandr Viktorovich Artem’ev},
title = {Efficient one-pot synthesis of diphenyl(pyrazin-2-yl)phosphine and its AgI, AuI and PtII complexes},
journal = {Mendeleev Communications},
year = {2020},
volume = {30},
publisher = {Mendeleev Communications},
month = {Apr},
url = {https://mendcomm.colab.ws/publications/10.1016/j.mencom.2020.05.014},
number = {3},
pages = {305--307},
doi = {10.1016/j.mencom.2020.05.014}
}
MLA
Cite this
MLA Copy
Rogovoy, Maxim Igorevich, et al. “Efficient one-pot synthesis of diphenyl(pyrazin-2-yl)phosphine and its AgI, AuI and PtII complexes.” Mendeleev Communications, vol. 30, no. 3, Apr. 2020, pp. 305-307. https://mendcomm.colab.ws/publications/10.1016/j.mencom.2020.05.014.

Keywords

diphenyl(pyrazin-2-yl)phosphine
gold(I) complexes
lithiation
platinum(II) complexes
pyrazine
silver(I) complexes
triphenylphosphine

Abstract

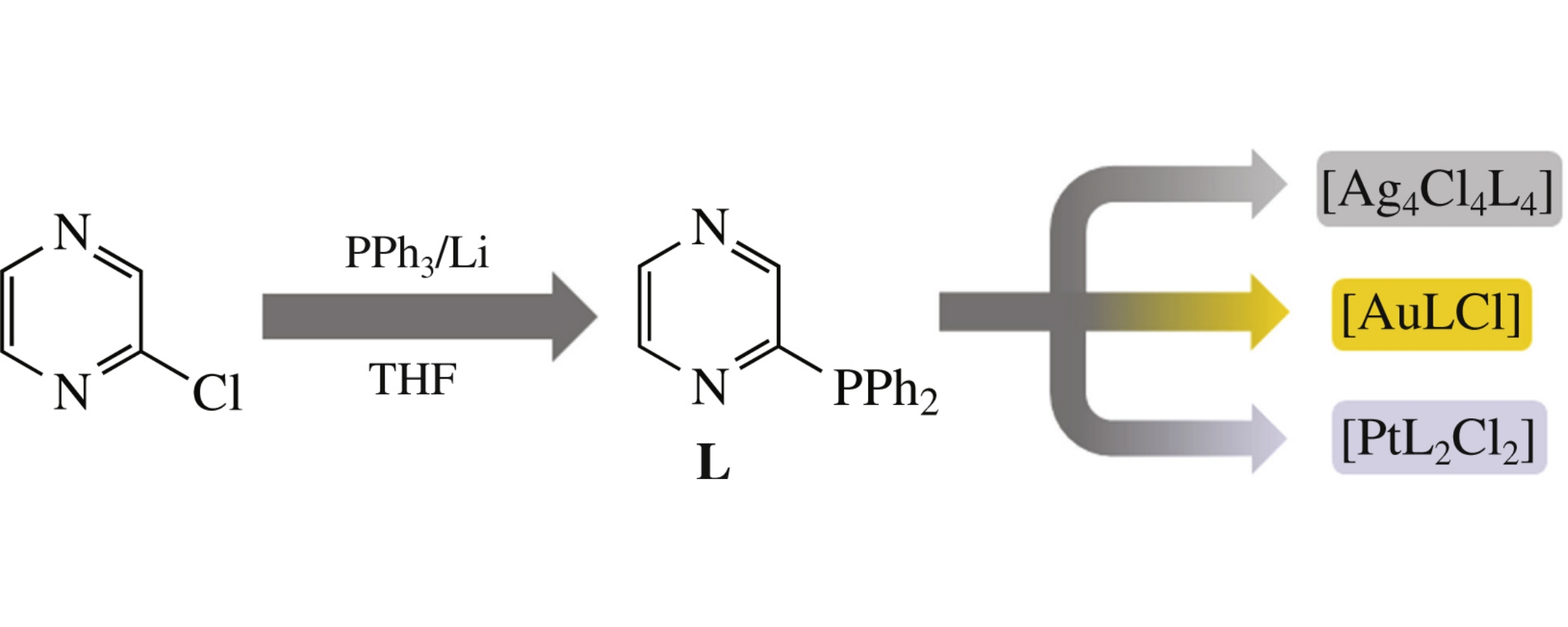
A convenient one-pot synthesis of diphenyl(pyrazin-2-yl)phosphine has been developed based on reaction of Ph3P with metallic lithium followed by treatment of the Ph2PLi formed with 2-chloropyrazine. The AgI, AuI and PtII chloride complexes derived from this phosphine have been synthesized and structurally characterized.

References

2.
1,3-P,N hybrid ligands in mononuclear coordination chemistry and homogeneous catalysis
Rong M.K., Holtrop F., Slootweg J.C., Lammertsma K.
Coordination Chemistry Reviews, 2019
3.
Tuning the Porphyrin Building Block in Self-Assembled Cages for Branched-Selective Hydroformylation of Propene
Wang X., Nurttila S.S., Dzik W.I., Becker R., Rodgers J., Reek J.N.
Chemistry - A European Journal, 2017
4.
Soficheva O.S., Bekmukhamedov G.E., Dobrynin A.B., Heinicke J.W., Sinyashin O.G., Yakhvarov D.G.
Mendeleev Communications, 2019
8.
SPS–Ni(II) pincer compounds of the type [Ni(phPS2)(P(C6H4-4-R)3)] Synthesis, characterization and catalytic evaluation in C S cross-coupling reactions
10.
Structural and photophysical study of copper iodide complex with P^N or P^N^P ligand
Wei F., Liu X., Liu Z., Bian Z., Zhao Y., Huang C.
CrystEngComm, 2014
11.
The Assembly of Unique Hexanuclear Copper(I) Complexes with Effective White Luminescence.
Strelnik I.D., Dayanova I.R., Kolesnikov I.E., Fayzullin R.R., Litvinov I.A., Samigullina A.I., Gerasimova T.P., Katsyuba S.A., Musina E.I., Karasik A.A.
Inorganic Chemistry, 2019
12.
Gold(i) phosphine compounds as parasite attenuating agents for malaria vaccine and drug development
Ssemaganda A., Low L.M., Verhoeft K.R., Wambuzi M., Kawoozo B., Nabasumba S.B., Mpendo J., Bagaya B.S., Kiwanuka N., Stanisic D.I., Berners-Price S.J., Good M.F.
Metallomics, 2018
14.
Facile transmetalation of a pyridyl-phosphine ligand from ruthenium to gold and silver
Tomás-Mendivil E., García-Álvarez R., García-Garrido S.E., Díez J., Crochet P., Cadierno V.
Journal of Organometallic Chemistry, 2013
15.
Postclustering Dynamic Covalent Modification for Chirality Control and Chiral Sensing
Yang Y., Pei X., Wang Q.
Journal of the American Chemical Society, 2013
16.
The Cambridge Structural Database
Groom C.R., Bruno I.J., Lightfoot M.P., Ward S.C.
Acta Crystallographica Section B: Structural Science, Crystal Engineering and Materials, 2016
18.
Gold(I) Complexes Bearing P∩N-Ligands: An Unprecedented Twelve-membered Ring Structure Stabilized by Aurophilic Interactions
Monkowius U., Zabel M., Fleck M., Yersin H.
Zeitschrift fur Naturforschung - Section B Journal of Chemical Sciences, 2009
21.
T. Baumann, WO Patent 2013/072508 A1, 2013.
22.
H. Yersin, U. Monkowius, T. Fischer, T. Hofbeck, T. Baumann, T. Grab, WO Patent 2010/149748 A1, 2010.
24.
Nickel-catalysed electrochemical coupling between mono- or di-chlorophenylphosphines and aryl or heteroaryl halides
Budnikova Y., Kargin Y., Nédélec J., Périchon J.
Journal of Organometallic Chemistry, 1999
26.
SHELXT– Integrated space-group and crystal-structure determination
Sheldrick G.M.
Acta Crystallographica Section A: Foundations and Advances, 2015
27.
Crystal structure refinement withSHELXL
Sheldrick G.M.
Acta crystallographica. Section C, Structural chemistry, 2015