Home / Publications / Reactions of 3-functionalized chromones with triacetic acid lactone

Reactions of 3-functionalized chromones with triacetic acid lactone

Mikhail Yur'evich Kornev 1
Mikhail Yur'evich Kornev
Denis Sergeevich Tishin 1
Denis Sergeevich Tishin
Dmitrii L'vovich Obydennov 1
Dmitrii L'vovich Obydennov
Vyacheslav Yakovlevich Sosnovskikh
Published 2020-03-02
CommunicationVolume 30, Issue 2, 233-235
14
Share
Cite this
GOST
 | 
Cite this
GOST Copy
Kornev M. Y. et al. Reactions of 3-functionalized chromones with triacetic acid lactone // Mendeleev Communications. 2020. Vol. 30. No. 2. pp. 233-235.
GOST all authors (up to 50) Copy
Kornev M. Y., Tishin D. S., Obydennov D. L., Sosnovskikh V. Y. Reactions of 3-functionalized chromones with triacetic acid lactone // Mendeleev Communications. 2020. Vol. 30. No. 2. pp. 233-235.
RIS
 | 
Cite this
RIS Copy
TY - JOUR
DO - 10.1016/j.mencom.2020.03.035
UR - https://mendcomm.colab.ws/publications/10.1016/j.mencom.2020.03.035
TI - Reactions of 3-functionalized chromones with triacetic acid lactone
T2 - Mendeleev Communications
AU - Kornev, Mikhail Yur'evich
AU - Tishin, Denis Sergeevich
AU - Obydennov, Dmitrii L'vovich
AU - Sosnovskikh, Vyacheslav Yakovlevich
PY - 2020
DA - 2020/03/02
PB - Mendeleev Communications
SP - 233-235
IS - 2
VL - 30
ER -
BibTex
 | 
Cite this
BibTex (up to 50 authors) Copy
@article{2020_Kornev,
author = {Mikhail Yur'evich Kornev and Denis Sergeevich Tishin and Dmitrii L'vovich Obydennov and Vyacheslav Yakovlevich Sosnovskikh},
title = {Reactions of 3-functionalized chromones with triacetic acid lactone},
journal = {Mendeleev Communications},
year = {2020},
volume = {30},
publisher = {Mendeleev Communications},
month = {Mar},
url = {https://mendcomm.colab.ws/publications/10.1016/j.mencom.2020.03.035},
number = {2},
pages = {233--235},
doi = {10.1016/j.mencom.2020.03.035}
}
MLA
Cite this
MLA Copy
Kornev, Mikhail Yur'evich, et al. “Reactions of 3-functionalized chromones with triacetic acid lactone.” Mendeleev Communications, vol. 30, no. 2, Mar. 2020, pp. 233-235. https://mendcomm.colab.ws/publications/10.1016/j.mencom.2020.03.035.

Keywords

chromeno[2,3-b]pyridines
chromones
heterocyclization
nucleophilic reactions
pyrano[3,2-c]chromenes
pyrano[3′,4′:5,6]pyrano[2,3-b]chromenes
triacetic acid lactone

Abstract

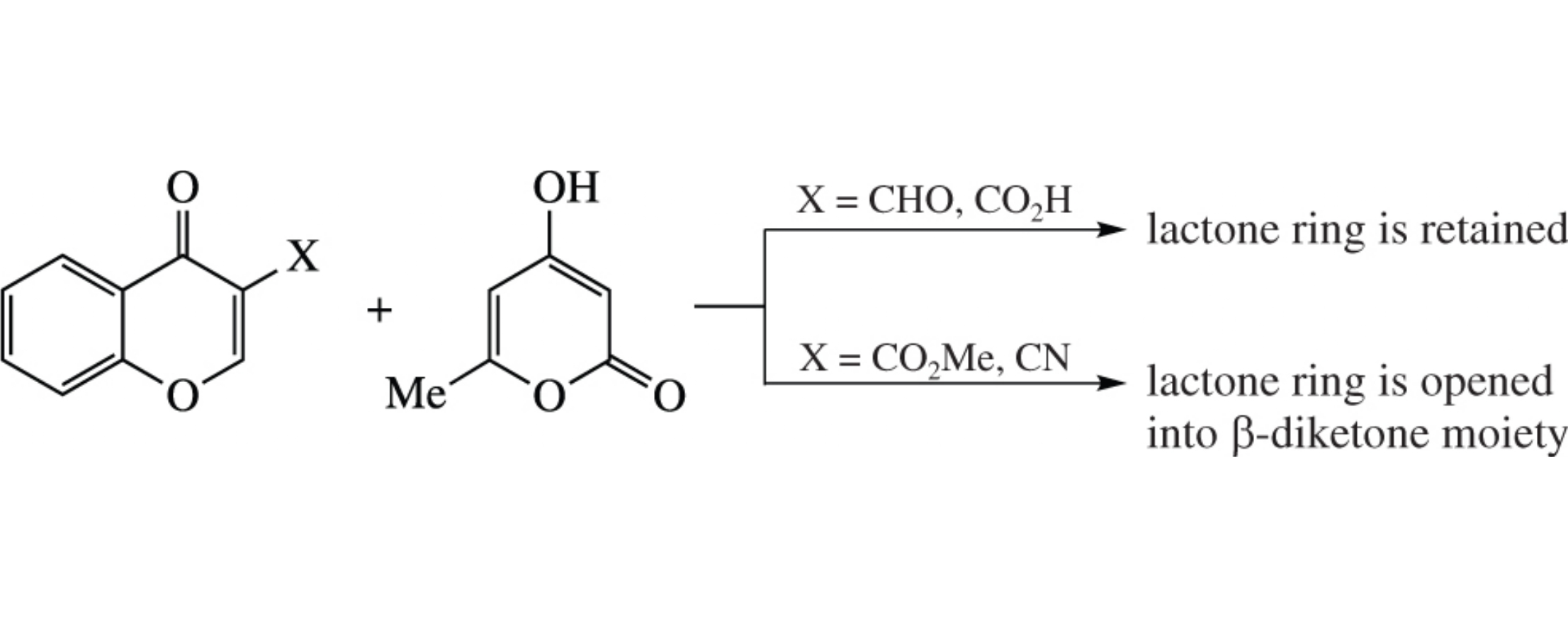
Reaction of 3-formylchromones and triacetic acid lactone proceeds with retention of the chromone skeleton and cyclization into pyrano[3′,4′:5,6]pyrano[2,3-b]chromene system. The crystal structure of the reaction product from unsubstituted 3-formylchromone has been determined from X-ray data. Other chromone analogues bearing CO2H, CO2Me and CN substituents react with triacetic acid lactone affording an o-hydroxychalcone heteroanalogue, pyrano[3,2-c]chromene and chromeno[2,3-b]pyridine derivatives, respectively.

References

1.
Chromones as a privileged scaffold in drug discovery: a review.
Keri R.S., Budagumpi S., Pai R.K., Balakrishna R.G.
European Journal of Medicinal Chemistry, 2014
2.
Chromone: a valid scaffold in medicinal chemistry.
Gaspar A., Matos M.J., Garrido J., Uriarte E., Borges F.
Chemical Reviews, 2014
4.
Synthesis and chemical properties of chromone-3-carboxylic acid (review)
Kornev M.Y., Sosnovskikh V.Y.
Chemistry of Heterocyclic Compounds, 2016
7.
Kornev M.Y., Moshkin V.S., Eltsov O.S., Sosnovskikh V.Y.
Mendeleev Communications, 2016
8.
Obydennov D.L., El-Tantawy A.I., Sosnovskikh V.Y.
Mendeleev Communications, 2019
9.
Bioengineering triacetic acid lactone production in Yarrowia lipolytica for pogostone synthesis
Yu J., Landberg J., Shavarebi F., Bilanchone V., Okerlund A., Wanninayake U., Zhao L., Kraus G., Sandmeyer S.
Biotechnology and Bioengineering, 2018
11.
Bio-based triacetic acid lactone in the synthesis of azaheterocyclesviaa ring-opening transformation
Obydennov D.L., El-Tantawy A.I., Sosnovskikh V.Y.
New Journal of Chemistry, 2018
13.
10.1016/j.mencom.2020.03.035_bib0035
Uddin
Indian J. Chem., Sect. B: Org. Chem. Incl. Med. Chem., 1995
15.
10.1016/j.mencom.2020.03.035_sbref0040b
Asad
Acta Pol. Pharm. – Drug Res., 2013
16.
(±)-Camphor-10-sulfonic acid as recyclable and efficient catalyst for the synthesis of some novel coumarin derivatives
Kumbhar D., Patil R., Patil D., Patravale A., Chandam D., Jadhav S., Deshmukh M.
Synthetic Communications, 2015
17.
Synthesis of Some New Heterocyclic Compounds Derived from 3-Formylchromones and Their Antimicrobial Evaluation
Bari A., Ali S.S., Kadi A., Hashmi I.A., Ng S.W.
Chemistry of Heterocyclic Compounds, 2014
18.
A One-Pot Condensation of Pyrones and Enals. Synthesis of 1H,7H-5a,6,8,9-Tetrahydro-1-oxopyrano[4,3-b][1]benzopyrans
Hua D.H., Chen Y., Sin H., Maroto M.J., Robinson P.D., Newell S.W., Perchellet E.M., Ladesich J.B., Freeman J.A., Perchellet J., Chiang P.K.
Journal of Organic Chemistry, 1997
20.
Metal-Free Brønsted Acid Catalyzed Formal [3 + 3] Annulation. Straightforward Synthesis of Dihydro-2H-Chromenones, Pyranones, and Tetrahydroquinolinones
Moreau J., Hubert C., Batany J., Toupet L., Roisnel T., Hurvois J., Renaud J.
Journal of Organic Chemistry, 2009
22.
10.1016/j.mencom.2020.03.035_bib0065
Siddiqui
Indian J. Chem., Sect. B: Org. Chem. Incl. Med. Chem., 2006
23.
10.1016/j.mencom.2020.03.035_sbref0070a
Siddiqui
Indian J. Chem., Sect. B: Org. Chem. Incl. Med. Chem., 2006
24.
Novel benzopyranopyridine derivatives of 2-amino-3-formylchromone
Siddiqui Z., Praveen S., Farooq F.
Chemical Papers, 2010