Home / Publications / Synthesis of pyrano[3,4-c]thieno[3,2-e][1,2,4]triazolo[4,3-a]pyridines, representatives of a new fused heterocyclic system

Synthesis of pyrano[3,4-c]thieno[3,2-e][1,2,4]triazolo[4,3-a]pyridines, representatives of a new fused heterocyclic system

Ervand G Paronikyan 1
Ervand G Paronikyan
Shushanik Shamir Dashyan 1
Shushanik Shamir Dashyan
Suren Seryozhevich Mamyan 1
Suren Seryozhevich Mamyan
Published 2020-03-02
CommunicationVolume 30, Issue 2, 183-184
5
Share
Cite this
GOST
 | 
Cite this
GOST Copy
Paronikyan E. G., Dashyan S. S., Mamyan S. S. Synthesis of pyrano[3,4-c]thieno[3,2-e][1,2,4]triazolo[4,3-a]pyridines, representatives of a new fused heterocyclic system // Mendeleev Communications. 2020. Vol. 30. No. 2. pp. 183-184.
GOST all authors (up to 50) Copy
Paronikyan E. G., Dashyan S. S., Mamyan S. S. Synthesis of pyrano[3,4-c]thieno[3,2-e][1,2,4]triazolo[4,3-a]pyridines, representatives of a new fused heterocyclic system // Mendeleev Communications. 2020. Vol. 30. No. 2. pp. 183-184.
RIS
 | 
Cite this
RIS Copy
TY - JOUR
DO - 10.1016/j.mencom.2020.03.017
UR - https://mendcomm.colab.ws/publications/10.1016/j.mencom.2020.03.017
TI - Synthesis of pyrano[3,4-c]thieno[3,2-e][1,2,4]triazolo[4,3-a]pyridines, representatives of a new fused heterocyclic system
T2 - Mendeleev Communications
AU - Paronikyan, Ervand G
AU - Dashyan, Shushanik Shamir
AU - Mamyan, Suren Seryozhevich
PY - 2020
DA - 2020/03/02
PB - Mendeleev Communications
SP - 183-184
IS - 2
VL - 30
ER -
BibTex
 | 
Cite this
BibTex (up to 50 authors) Copy
@article{2020_Paronikyan,
author = {Ervand G Paronikyan and Shushanik Shamir Dashyan and Suren Seryozhevich Mamyan},
title = {Synthesis of pyrano[3,4-c]thieno[3,2-e][1,2,4]triazolo[4,3-a]pyridines, representatives of a new fused heterocyclic system},
journal = {Mendeleev Communications},
year = {2020},
volume = {30},
publisher = {Mendeleev Communications},
month = {Mar},
url = {https://mendcomm.colab.ws/publications/10.1016/j.mencom.2020.03.017},
number = {2},
pages = {183--184},
doi = {10.1016/j.mencom.2020.03.017}
}
MLA
Cite this
MLA Copy
Paronikyan, Ervand G., et al. “Synthesis of pyrano[3,4-c]thieno[3,2-e][1,2,4]triazolo[4,3-a]pyridines, representatives of a new fused heterocyclic system.” Mendeleev Communications, vol. 30, no. 2, Mar. 2020, pp. 183-184. https://mendcomm.colab.ws/publications/10.1016/j.mencom.2020.03.017.

Keywords

alkylation
heterocyclization
hydrazines
pyrano[3,4-c]pyridines
pyrano[3,4-c]thieno[3,2-e][1,2,4]triazolo[4,3-a]pyridines
thiones
triazolo[4,3-a]pyridines

Abstract

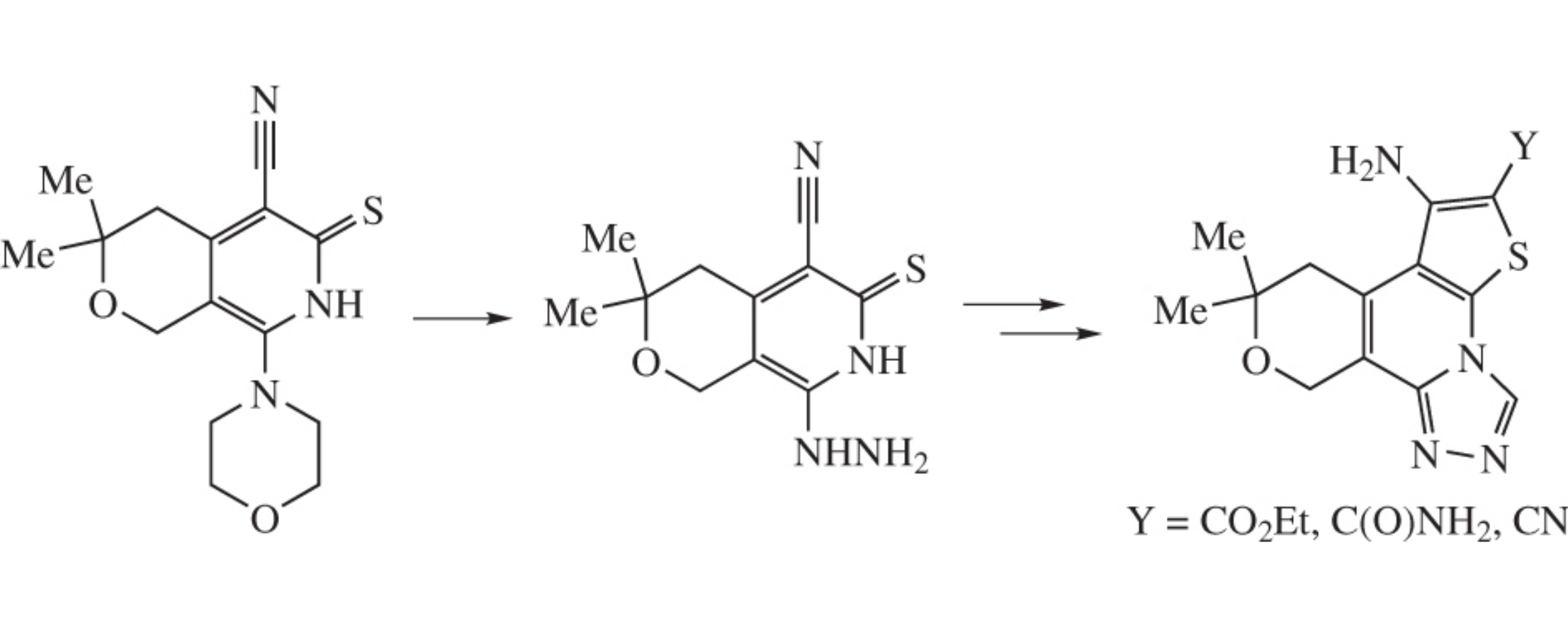
New effective synthesis of functionalized pyrano[3,4-c]thieno-[3,2-e][1,2,4]triazolo[4,3-a]pyridines comprises nucleophilic substitution in 8-morpholino-6-thioxopyrano[3,4-c]pyridine-5-carbonitrile with hydrazine hydrate followed by sequential heterocyclization with formic acid and chloroacetic acid derivatives.

References

1.
10.1016/j.mencom.2020.03.017_bib0005
Eicher
The Chemistry of Heterocycles. Structure, Reactions, Synthesis, and Applications, 2003
3.
Structure–activity relationships of a novel pyranopyridine series of Gram-negative bacterial efflux pump inhibitors
Nguyen S.T., Kwasny S.M., Ding X., Cardinale S.C., McCarthy C.T., Kim H., Nikaido H., Peet N.P., Williams J.D., Bowlin T.L., Opperman T.J.
Bioorganic and Medicinal Chemistry, 2015
7.
Design, synthesis and docking study of pyridine and thieno[2,3-b] pyridine derivatives as anticancer PIM-1 kinase inhibitors
9.
A novel and efficient synthesis of diamino derivatives of pyrano[3,4-c]pyridines
Paronikyan E.G., Dashyan S.S., Noravyan A.S., Tamazyan R.A., Ayvazyan A.G., Panosyan H.A.
Tetrahedron, 2015
11.
Suzdalev K.F., Krachkovskaya A.V., Borodkin G.S., Galenko-Yaroshevsky P.A., Tikhonov A.V., Kurbatov S.V.
Mendeleev Communications, 2019
12.
A mild synthesis of [1,2,4]triazolo[4,3-a]pyridines
13.
Palladium-Catalyzed Chemoselective Monoarylation of Hydrazides for the Synthesis of [1,2,4]Triazolo[4,3-a]pyridines
Reichelt A., Falsey J.R., Rzasa R.M., Thiel O.R., Achmatowicz M.M., Larsen R.D., Zhang D.
Organic Letters, 2010
15.
A new route to highly substituted thieno[2,3-b]pyridines via cascade heterocyclization of 2-acyl-1,1,3,3-tetracyanopropenide salts
Grigor’ev A.A., Karpov S.V., Kayukov Y.S., Nasakin O.E., Gracheva I.A., Tafeenko V.A.
Chemistry of Heterocyclic Compounds, 2017
17.
Synthesis of derivatives of pyrano[3,4-c][1,2,4]triazolo-[4,3-a]pyridine and 8-(pyrazol-1-yl)pyrano[3,4-c]pyridine through pyridine ring rearrangement
Paronikyan E.G., Dashyan S.S., Minasyan N.S., Stepanyan G.M., Ayvazyan A.G., Tamazyan R.A.
Chemistry of Heterocyclic Compounds, 2016
18.
Synthesis and neurotropic properties of 1-amino-2-substituted 8,9-dihydro-6h-pyrano(thiopyrano)[4,3-d]-thieno-[2,3-b]pyridines and- thieno[2,3-c]-2,7-naphthyridines
Paronikyan E.G., Mirzoyan G.V., Noravyan A.S., Arzanunts É.M., Sukasyan R.S., Sarkisyan I.S., Nazaryan I.M., Dzhagatspanyan I.A.
Pharmaceutical Chemistry Journal, 1997
19.
Synthesis of fused thiopyrans and pyridines on the base of six-membered saturated cyclic ketones
Paronikyan E.G., Noravyan A.S.
Chemistry of Heterocyclic Compounds, 1999
20.
Synthesis and Anticonvulsant Activity of Pyrazolo[3,4-b]pyrano(thiopyrano)[4,3-d]pyridine and Pyrazolo[3,4-c]isoquinoline Derivatives
Paronikyan E.G., Sirakanyan S.N., Noravyan A.S., Paronikyan R.G., Dzhagatspanyan I.A.
Pharmaceutical Chemistry Journal, 2001