Home / Publications / New compounds with 4-azatricyclo[4.3.1.13,8]undecane framework

New compounds with 4-azatricyclo[4.3.1.13,8]undecane framework

Evgeniya Vladimirovna Nurieva 1
Evgeniya Vladimirovna Nurieva
Alexander Aleksandrovich Alexeev 1
Alexander Aleksandrovich Alexeev
Victor Aleksandrovich Tafeenko 1
Victor Aleksandrovich Tafeenko
Ol'ga Nikolaevna Zefirova 1, 2
Ol'ga Nikolaevna Zefirova
Published 2020-03-02
CommunicationVolume 30, Issue 2, 145-146
4
Share
Cite this
GOST
 | 
Cite this
GOST Copy
Nurieva E. V. et al. New compounds with 4-azatricyclo[4.3.1.13,8]undecane framework // Mendeleev Communications. 2020. Vol. 30. No. 2. pp. 145-146.
GOST all authors (up to 50) Copy
Nurieva E. V., Alexeev A. A., Grishin Y. K., Tafeenko V. A., Zefirova O. N. New compounds with 4-azatricyclo[4.3.1.13,8]undecane framework // Mendeleev Communications. 2020. Vol. 30. No. 2. pp. 145-146.
RIS
 | 
Cite this
RIS Copy
TY - JOUR
DO - 10.1016/j.mencom.2020.03.004
UR - https://mendcomm.colab.ws/publications/10.1016/j.mencom.2020.03.004
TI - New compounds with 4-azatricyclo[4.3.1.13,8]undecane framework
T2 - Mendeleev Communications
AU - Nurieva, Evgeniya Vladimirovna
AU - Alexeev, Alexander Aleksandrovich
AU - Grishin, Yuri Konstantinovich
AU - Tafeenko, Victor Aleksandrovich
AU - Zefirova, Ol'ga Nikolaevna
PY - 2020
DA - 2020/03/02
PB - Mendeleev Communications
SP - 145-146
IS - 2
VL - 30
ER -
BibTex
 | 
Cite this
BibTex (up to 50 authors) Copy
@article{2020_Nurieva,
author = {Evgeniya Vladimirovna Nurieva and Alexander Aleksandrovich Alexeev and Yuri Konstantinovich Grishin and Victor Aleksandrovich Tafeenko and Ol'ga Nikolaevna Zefirova},
title = {New compounds with 4-azatricyclo[4.3.1.13,8]undecane framework},
journal = {Mendeleev Communications},
year = {2020},
volume = {30},
publisher = {Mendeleev Communications},
month = {Mar},
url = {https://mendcomm.colab.ws/publications/10.1016/j.mencom.2020.03.004},
number = {2},
pages = {145--146},
doi = {10.1016/j.mencom.2020.03.004}
}
MLA
Cite this
MLA Copy
Nurieva, Evgeniya Vladimirovna, et al. “New compounds with 4-azatricyclo[4.3.1.13,8]undecane framework.” Mendeleev Communications, vol. 30, no. 2, Mar. 2020, pp. 145-146. https://mendcomm.colab.ws/publications/10.1016/j.mencom.2020.03.004.

Keywords

N-[(endo-bicyclo[3.3.1]non-6-en-3-yl)methyl]thiourea
azahomoadamantanes
bridged tricyclic compounds
electrophilic addition
intramolecular cyclization
thioureas
ureas

Abstract

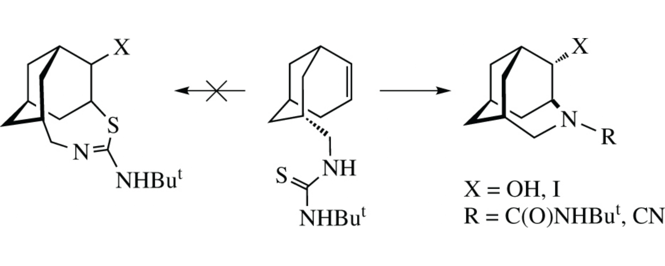
Reactions of 1-[(endo-bicyclo[3.3.1]non-6-en-3-yl)methyl]-3-tert-butylthiourea with I2/ButOOH and I2/K2CO3 afforded 4-azatricyclo[4.3.1.13,8]undecane based products via intramolecular cyclization, as determined by X-ray analysis and NMR spectroscopy.

References

1.
Nurieva E.V., Trofimova T.P., Alexeev A.A., Proshin A.N., Chesnakova E.A., Grishin Y.K., Lyssenko K.A., Filimonova M.V., Bachurin S.O., Zefirova O.N.
Mendeleev Communications, 2018
2.
Alexeev A.A., Nurieva E.V., Trofimova T.P., Chesnakova E.A., Grishin Y.K., Lyssenko K.A., Filimonova M.V., Zefirova O.N.
Mendeleev Communications, 2019
3.
Novel structural type of bridged urea derivatives bearing azatricyclo[4.3.1.03,8]decane moiety
Alexeev A.A., Nurieva E.V., Lyssenko K.A., Grishin Y.K., Zefirova O.N.
Structural Chemistry, 2018
4.
Synthesis of adamantane derivatives. XII. Schmidt reaction of adamantan-2-one
Sasaki T., Eguchi S., Toru T.
Journal of Organic Chemistry, 1970
6.
RICONThe Computer Program for the Quantitative Investigations of Cyclic Organic Molecule Conformations
Zotov A.Y., Palyulin V.A., Zefirov N.S.
Journal of Chemical Information and Computer Sciences, 1997
7.
Zur Dehydratisierung von Harnstoffen mit Dichlorcarben im Phasentransfer-Verfahren, ein Zugang zu substituierten Cyanamiden