Home / Publications / Rearrangement of two 8-membered 1,5-diaza-3,7-diphosphacyclooctane rings into 16-membered P4N4 ligand on the gold(i) template

Rearrangement of two 8-membered 1,5-diaza-3,7-diphosphacyclooctane rings into 16-membered P4N4 ligand on the gold(i) template

Igor Dmitrievich Strelnik 1
Igor Dmitrievich Strelnik
Irina Rishatovna Dayanova 1
Irina Rishatovna Dayanova
Timur M Poryvaev 1
Timur M Poryvaev
Tatiana Pavlovna Gerasimova 1
Tatiana Pavlovna Gerasimova
Igor Anatol'evich Litvinov 1
Igor Anatol'evich Litvinov
Sergey Alexandrovich Katsyuba 1
Sergey Alexandrovich Katsyuba
Èlvira Ilgizovna Musina 1
Èlvira Ilgizovna Musina
Andrey Anatol'evich Karasik 1
Andrey Anatol'evich Karasik
Published 2019-12-30
CommunicationVolume 30, Issue 1, 40-42
7
Share
Cite this
GOST
 | 
Cite this
GOST Copy
Strelnik I. D. et al. Rearrangement of two 8-membered 1,5-diaza-3,7-diphosphacyclooctane rings into 16-membered P4N4 ligand on the gold(i) template // Mendeleev Communications. 2019. Vol. 30. No. 1. pp. 40-42.
GOST all authors (up to 50) Copy
Strelnik I. D., Dayanova I. R., Poryvaev T. M., Gerasimova T. P., Litvinov I. A., Katsyuba S. A., Musina È. I., Karasik A. A., Sinyashin O. G. Rearrangement of two 8-membered 1,5-diaza-3,7-diphosphacyclooctane rings into 16-membered P4N4 ligand on the gold(i) template // Mendeleev Communications. 2019. Vol. 30. No. 1. pp. 40-42.
RIS
 | 
Cite this
RIS Copy
TY - JOUR
DO - 10.1016/j.mencom.2020.01.013
UR - https://mendcomm.colab.ws/publications/10.1016/j.mencom.2020.01.013
TI - Rearrangement of two 8-membered 1,5-diaza-3,7-diphosphacyclooctane rings into 16-membered P4N4 ligand on the gold(i) template
T2 - Mendeleev Communications
AU - Strelnik, Igor Dmitrievich
AU - Dayanova, Irina Rishatovna
AU - Poryvaev, Timur M
AU - Gerasimova, Tatiana Pavlovna
AU - Litvinov, Igor Anatol'evich
AU - Katsyuba, Sergey Alexandrovich
AU - Musina, Èlvira Ilgizovna
AU - Karasik, Andrey Anatol'evich
AU - Sinyashin, Oleg Gerol'dovich
PY - 2019
DA - 2019/12/30
PB - Mendeleev Communications
SP - 40-42
IS - 1
VL - 30
ER -
BibTex
 | 
Cite this
BibTex (up to 50 authors) Copy
@article{2019_Strelnik,
author = {Igor Dmitrievich Strelnik and Irina Rishatovna Dayanova and Timur M Poryvaev and Tatiana Pavlovna Gerasimova and Igor Anatol'evich Litvinov and Sergey Alexandrovich Katsyuba and Èlvira Ilgizovna Musina and Andrey Anatol'evich Karasik and Oleg Gerol'dovich Sinyashin},
title = {Rearrangement of two 8-membered 1,5-diaza-3,7-diphosphacyclooctane rings into 16-membered P4N4 ligand on the gold(i) template},
journal = {Mendeleev Communications},
year = {2019},
volume = {30},
publisher = {Mendeleev Communications},
month = {Dec},
url = {https://mendcomm.colab.ws/publications/10.1016/j.mencom.2020.01.013},
number = {1},
pages = {40--42},
doi = {10.1016/j.mencom.2020.01.013}
}
MLA
Cite this
MLA Copy
Strelnik, Igor Dmitrievich, et al. “Rearrangement of two 8-membered 1,5-diaza-3,7-diphosphacyclooctane rings into 16-membered P4N4 ligand on the gold(i) template.” Mendeleev Communications, vol. 30, no. 1, Dec. 2019, pp. 40-42. https://mendcomm.colab.ws/publications/10.1016/j.mencom.2020.01.013.

Keywords

aminomethylphosphines
gold(I) complexes
macrocyclic ligands
tertiary phosphines

Abstract

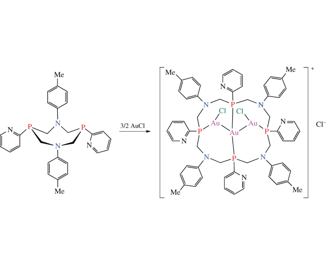
The reaction of gold(i) chloride with two molecules of 1,5-diaza-3,7-diphosphacyclooctane derivative causes their reorganization into 16-membered macrocyclic tetraphosphine ligand. The structure of the trinuclear gold(i) complex obtained was confirmed by X-ray analysis. The dynamic equilibrium between dinuclear gold(i) complexes with eight-membered cyclic ligands and the trinuclear gold(i) complex with 16-membered ones has been revealed.

References

1.
Thermodynamic Hydricity of Transition Metal Hydrides
Wiedner E.S., Chambers M.B., Pitman C.L., Bullock R.M., Miller A.J., Appel A.M.
Chemical Reviews, 2016
2.
Evaluation of attractive interactions in the second coordination sphere of iron complexes containing pendant amines
Liao Q., Liu T., Johnson S.I., Klug C.M., Wiedner E.S., Morris Bullock R., DuBois D.L.
Dalton Transactions, 2019
3.
Synthesis, Characterization, and Reactivity of Fe Complexes Containing Cyclic Diazadiphosphine Ligands: The Role of the Pendant Base in Heterolytic Cleavage of H2
Liu T., Chen S., O’Hagan M.J., Rakowski DuBois M., Bullock R.M., DuBois D.L.
Journal of the American Chemical Society, 2012
4.
Outer Coordination Sphere Proton Relay Base and Proximity Effects on Hydrogen Oxidation with Iron Electrocatalysts
Kumar N., Darmon J.M., Weiss C.J., Helm M.L., Raugei S., Morris Bullock R.
Organometallics, 2019
5.
A Synthetic Nickel Electrocatalyst with a Turnover Frequency Above 100,000 s −1 for H 2 Production
6.
Mechanistic Insights into Catalytic H2 Oxidation by Ni Complexes Containing a Diphosphine Ligand with a Positioned Amine Base
Yang J.Y., Bullock R.M., Shaw W.J., Twamley B., Fraze K., DuBois M.R., DuBois D.L.
Journal of the American Chemical Society, 2009
7.
Reduction of oxygen catalyzed by nickel diphosphine complexes with positioned pendant amines
Yang J.Y., Bullock R.M., Dougherty W.G., Kassel W.S., Twamley B., DuBois D.L., Rakowski DuBois M.
Dalton Transactions, 2010
8.
Catalytic Ammonia Oxidation to Dinitrogen by Hydrogen Atom Abstraction
Bhattacharya P., Heiden Z.M., Chambers G.M., Johnson S.I., Bullock R.M., Mock M.T.
Angewandte Chemie - International Edition, 2019
9.
Suzuki-Miyaura cross-coupling coupling reactions with low catalyst loading: a green and sustainable protocol in pure water.
Fihri A., Luart D., Len C., Solhy A., Chevrin C., Polshettiwar V.
Dalton Transactions, 2011
10.
A stimuli-responsive Au(i) complex based on an aminomethylphosphine template: synthesis, crystalline phases and luminescence properties
Strelnik I.D., Gurzhiy V.V., Sizov V.V., Musina E.I., Karasik A.A., Tunik S.P., Grachova E.V.
CrystEngComm, 2016
11.
Luminescent complexes on a scaffold of P2N2-ligands: design of materials for analytical and biomedical applications
Karasik A.A., Musina E.I., Strelnik I.D., Dayanova I.R., Elistratova J.G., Mustafina A.R., Sinyashin O.G.
Pure and Applied Chemistry, 2019
14.
The Assembly of Unique Hexanuclear Copper(I) Complexes with Effective White Luminescence.
Strelnik I.D., Dayanova I.R., Kolesnikov I.E., Fayzullin R.R., Litvinov I.A., Samigullina A.I., Gerasimova T.P., Katsyuba S.A., Musina E.I., Karasik A.A.
Inorganic Chemistry, 2019
15.
“Host–guest” binding of a luminescent dinuclear Au(i) complex based on cyclic diphosphine with organic substrates as a reason for luminescence tuneability
Shamsutdinova N.A., Strelnik I.D., Musina E.I., Gerasimova T.P., Katsyuba S.A., Babaev V.M., Krivolapov D.B., Litvinov I.A., Mustafina A.R., Karasik A.A., Sinyashin O.G.
New Journal of Chemistry, 2016
16.
Novel water soluble cationic Au(I) complexes with cyclic PNNP ligand as building blocks for heterometallic supramolecular assemblies with anionic hexarhenium cluster units
Elistratova J., Strelnik I., Brylev K., Shestopalov M.A., Gerasimova T., Babaev V., Kholin K., Dobrynin A., Musina E., Katsyuba S., Mustafina A., Karasik A., Sinyashin O.
Journal of Luminescence, 2018
17.
Cu(I) hybrid inorganic–organic materials with intriguing stimuli responsive and optoelectronic properties
Cariati E., Lucenti E., Botta C., Giovanella U., Marinotto D., Righetto S.
Coordination Chemistry Reviews, 2016
19.
The triplet state of organo-transition metal compounds. Triplet harvesting and singlet harvesting for efficient OLEDs
Yersin H., Rausch A.F., Czerwieniec R., Hofbeck T., Fischer T.
Coordination Chemistry Reviews, 2011
21.
Cyclic aminomethylphosphines as ligands. Rational design and unpredicted findings
Karasik A.A., Musina E.I., Balueva A.S., Strelnik I.D., Sinyashin O.G.
Pure and Applied Chemistry, 2017
22.
Chiral [16]-ane P4N2 macrocycles: stereoselective synthesis and unexpected intermolecular exchange of endocyclic fragments
Musina E.I., Naumov R.N., Kanunnikov K.B., Dobrynin A.B., Gómez-Ruiz S., Lönnecke P., Hey-Hawkins E., Karasik A.A., Sinyashin O.G.
Dalton Transactions, 2018
23.
Dinitrogen Reduction by a Chromium(0) Complex Supported by a 16-Membered Phosphorus Macrocycle
Mock M.T., Chen S., O’Hagan M., Rousseau R., Dougherty W.G., Kassel W.S., Bullock R.M.
Journal of the American Chemical Society, 2013
24.
Catalytic Silylation of N2and Synthesis of NH3and N2H4by Net Hydrogen Atom Transfer Reactions Using a Chromium P4Macrocycle
Kendall A.J., Johnson S.I., Bullock R.M., Mock M.T.
Journal of the American Chemical Society, 2018
26.
Tetragold(I) Complexes: Solution Isomerization and Tunable Solid-State Luminescence
Dau T.M., Chen Y., Karttunen A.J., Grachova E.V., Tunik S.P., Lin K., Hung W., Chou P., Pakkanen T.A., Koshevoy I.O.
Inorganic Chemistry, 2014
27.
van der Waals Volumes and Radii
Bondi A.
The Journal of Physical Chemistry, 1964
28.
APEX2, v.2.1, SAINTPlus, v.7.31A, Bruker AXS, Madison, WI, USA, 2006.
29.
Comparison of silver and molybdenum microfocus X-ray sources for single-crystal structure determination
Krause L., Herbst-Irmer R., Sheldrick G.M., Stalke D.
Journal of Applied Crystallography, 2015
30.
A short history of SHELX
Sheldrick G.M.
Acta Crystallographica Section A Foundations of Crystallography, 2007