Home / Publications / New route to bioactive 2-(hetero)arylethylamines via nucleophilic ring opening in fused 7-acyl-2,3-dihydroazepines

New route to bioactive 2-(hetero)arylethylamines via nucleophilic ring opening in fused 7-acyl-2,3-dihydroazepines

Alexander Aleksandrovich Zubenko 1
Alexander Aleksandrovich Zubenko
Anatolii Savel'evich Morkovnik 2
Anatolii Savel'evich Morkovnik
Lyudmila Nikolaevna Divaeva 2
Lyudmila Nikolaevna Divaeva
Vadim Sergeevich Sochnev 2
Vadim Sergeevich Sochnev
Inna Gennadievna Borodkina 2
Inna Gennadievna Borodkina
Yuriy Dmitrievich Drobin 1
Yuriy Dmitrievich Drobin
Alexander Alekseevich Spasov 4
Alexander Alekseevich Spasov
Published 2019-12-30
CommunicationVolume 30, Issue 1, 28-30
8
Share
Cite this
GOST
 | 
Cite this
GOST Copy
Zubenko A. A. et al. New route to bioactive 2-(hetero)arylethylamines via nucleophilic ring opening in fused 7-acyl-2,3-dihydroazepines // Mendeleev Communications. 2019. Vol. 30. No. 1. pp. 28-30.
GOST all authors (up to 50) Copy
Zubenko A. A., Morkovnik A. S., Divaeva L. N., Demidov O. P., Sochnev V. S., Borodkina I. G., Drobin Y. D., Spasov A. A. New route to bioactive 2-(hetero)arylethylamines via nucleophilic ring opening in fused 7-acyl-2,3-dihydroazepines // Mendeleev Communications. 2019. Vol. 30. No. 1. pp. 28-30.
RIS
 | 
Cite this
RIS Copy
TY - JOUR
DO - 10.1016/j.mencom.2020.01.009
UR - https://mendcomm.colab.ws/publications/10.1016/j.mencom.2020.01.009
TI - New route to bioactive 2-(hetero)arylethylamines via nucleophilic ring opening in fused 7-acyl-2,3-dihydroazepines
T2 - Mendeleev Communications
AU - Zubenko, Alexander Aleksandrovich
AU - Morkovnik, Anatolii Savel'evich
AU - Divaeva, Lyudmila Nikolaevna
AU - Demidov, Oleg Petrovich
AU - Sochnev, Vadim Sergeevich
AU - Borodkina, Inna Gennadievna
AU - Drobin, Yuriy Dmitrievich
AU - Spasov, Alexander Alekseevich
PY - 2019
DA - 2019/12/30
PB - Mendeleev Communications
SP - 28-30
IS - 1
VL - 30
ER -
BibTex
 | 
Cite this
BibTex (up to 50 authors) Copy
@article{2019_Zubenko,
author = {Alexander Aleksandrovich Zubenko and Anatolii Savel'evich Morkovnik and Lyudmila Nikolaevna Divaeva and Oleg Petrovich Demidov and Vadim Sergeevich Sochnev and Inna Gennadievna Borodkina and Yuriy Dmitrievich Drobin and Alexander Alekseevich Spasov},
title = {New route to bioactive 2-(hetero)arylethylamines via nucleophilic ring opening in fused 7-acyl-2,3-dihydroazepines},
journal = {Mendeleev Communications},
year = {2019},
volume = {30},
publisher = {Mendeleev Communications},
month = {Dec},
url = {https://mendcomm.colab.ws/publications/10.1016/j.mencom.2020.01.009},
number = {1},
pages = {28--30},
doi = {10.1016/j.mencom.2020.01.009}
}
MLA
Cite this
MLA Copy
Zubenko, Alexander Aleksandrovich, et al. “New route to bioactive 2-(hetero)arylethylamines via nucleophilic ring opening in fused 7-acyl-2,3-dihydroazepines.” Mendeleev Communications, vol. 30, no. 1, Dec. 2019, pp. 28-30. https://mendcomm.colab.ws/publications/10.1016/j.mencom.2020.01.009.

Keywords

azepine–pyrazine recyclization
baryl(heteroaryl)ethylamines
bioactive amines
fused dihydroazepines
ring opening reactions

Abstract

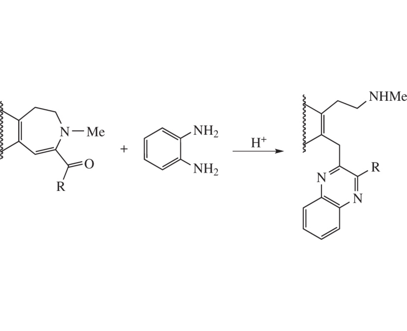
Nucleophilic heterocyclic ring opening in fused 7-acyl- H+ 1,2-dihydroazepines with o-phenylenediamine affords b-(hetero)arylethylamines.

References

3.
Trace Amines and Their Receptors
Gainetdinov R.R., Hoener M.C., Berry M.D.
Pharmacological Reviews, 2018
4.
10.1016/j.mencom.2020.01.009_bib0020
Irsfeld
Webmedcentral, 2013
5.
10.1016/j.mencom.2020.01.009_bib0025
Melatonin and Melatonergic Drugs in Clinical Practice, 2014
6.
10.1016/j.mencom.2020.01.009_bib0030
Shulgin
2011
7.
10.1016/j.mencom.2020.01.009_bib0035
Wishart
Nucleic Acids Res., 2017
8.
Intramolecular reactions of ortho-substituted N-phenethylamides
Smith J.R., Norman R.O., Rose M.E., Curran A.C.
Journal of the Chemical Society Perkin Transactions 1, 1979
9.
A novel synthesis of benzo- and indolo[a]quinolizidines by intramolecular diels-alder reaction of l-azadienes
11.
10.1016/j.mencom.2020.01.009_bib0055
Clark
J. Chem. Soc., Perkin Trans., 2001
12.
Enantioselective NiH/Pmrox-Catalyzed 1,2-Reduction of α,β-Unsaturated Ketones
Chen F., Zhang Y., Yu L., Zhu S.
Angewandte Chemie - International Edition, 2017
15.
Synthesis of 9-bromocotarnine and its recyclization into 4-acyl-9-bromo-7,8-methylenedioxy-1,2-dihydro-3-benzazepines with anti-infective activity
Zubenko A.A., Divaeva L.N., Morkovnik A.S., Kartsev V.G., Drobin Y.D., Serbinovskaya N.M., Fetisov L.N., Bodryakov A.N., Bodryakova M.A., Lyashenko L.A.
Russian Journal of Bioorganic Chemistry, 2017
17.
Zubenko A.A., Morkovnik A.S., Divaeva L.N., Kartsev V.G., Suponitsky K.Y., Klimenko A.I.
Mendeleev Communications, 2018
18.
J. E. Pero, H.D. G. F. Lehman, M.E. Layton, M.A. Rossi and M. J. Kelly, III, Patent WO 2014066491A1, 2014.
19.
Zubenko A.A., Morkovnik A.S., Divaeva L.N., Kartsev V.G., Kuzmina L.G., Borodkin G.S., Klimenko A.I.
Mendeleev Communications, 2018
20.
Crystal structure refinement withSHELXL
Sheldrick G.M.
Acta crystallographica. Section C, Structural chemistry, 2015
21.
Privileged scaffolds for library design and drug discovery
Welsch M.E., Snyder S.A., Stockwell B.R.
Current Opinion in Chemical Biology, 2010