Home / Publications / Synthesis and structure of new chlorine containing calix[4]resorcinols

Synthesis and structure of new chlorine containing calix[4]resorcinols

Irina Rafaelevna Mironova (Knyazeva) 1
Irina Rafaelevna Mironova (Knyazeva)
Victor Vasil'evich Syakaev 1
Victor Vasil'evich Syakaev
Olga Aleksandrovna Lodochnikova 1
Olga Aleksandrovna Lodochnikova
Alexander Romanovich Burilov 1
Alexander Romanovich Burilov
Published 2019-11-01
CommunicationVolume 29, Issue 6, 700-701
5
Share
Cite this
GOST
 | 
Cite this
GOST Copy
Mironova (Knyazeva) I. R. et al. Synthesis and structure of new chlorine containing calix[4]resorcinols // Mendeleev Communications. 2019. Vol. 29. No. 6. pp. 700-701.
GOST all authors (up to 50) Copy
Mironova (Knyazeva) I. R., Syakaev V. V., Lodochnikova O. A., Burilov A. R. Synthesis and structure of new chlorine containing calix[4]resorcinols // Mendeleev Communications. 2019. Vol. 29. No. 6. pp. 700-701.
RIS
 | 
Cite this
RIS Copy
TY - JOUR
DO - 10.1016/j.mencom.2019.11.034
UR - https://mendcomm.colab.ws/publications/10.1016/j.mencom.2019.11.034
TI - Synthesis and structure of new chlorine containing calix[4]resorcinols
T2 - Mendeleev Communications
AU - Mironova (Knyazeva), Irina Rafaelevna
AU - Syakaev, Victor Vasil'evich
AU - Lodochnikova, Olga Aleksandrovna
AU - Burilov, Alexander Romanovich
PY - 2019
DA - 2019/11/01
PB - Mendeleev Communications
SP - 700-701
IS - 6
VL - 29
ER -
BibTex
 | 
Cite this
BibTex (up to 50 authors) Copy
@article{2019_Mironova (Knyazeva),
author = {Irina Rafaelevna Mironova (Knyazeva) and Victor Vasil'evich Syakaev and Olga Aleksandrovna Lodochnikova and Alexander Romanovich Burilov},
title = {Synthesis and structure of new chlorine containing calix[4]resorcinols},
journal = {Mendeleev Communications},
year = {2019},
volume = {29},
publisher = {Mendeleev Communications},
month = {Nov},
url = {https://mendcomm.colab.ws/publications/10.1016/j.mencom.2019.11.034},
number = {6},
pages = {700--701},
doi = {10.1016/j.mencom.2019.11.034}
}
MLA
Cite this
MLA Copy
Mironova (Knyazeva), Irina Rafaelevna, et al. “Synthesis and structure of new chlorine containing calix[4]resorcinols.” Mendeleev Communications, vol. 29, no. 6, Nov. 2019, pp. 700-701. https://mendcomm.colab.ws/publications/10.1016/j.mencom.2019.11.034.

Abstract

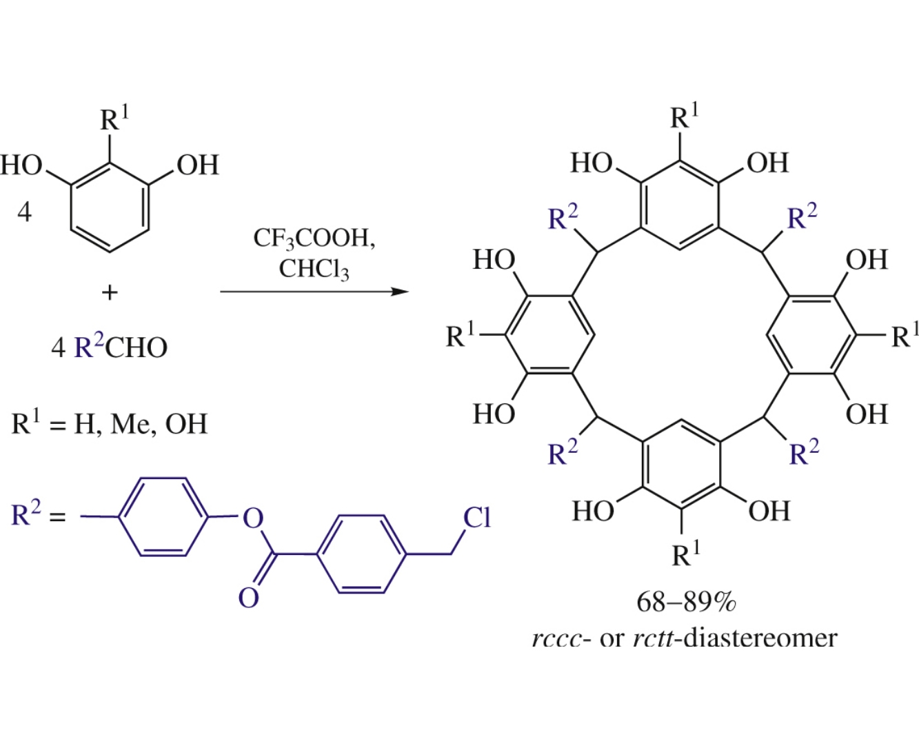
New calix[4]resorcinols containing four organochlorine moieties have been synthesized in high yields via one-step condensation of resorcinol, 2-methylresorcinol or pyrogallol with 4′-formylphenyl 4-(chloromethyl)benzoate. It has been found that the diastereomeric ratio of the products depends substantially on the starting polyphenol. The rctt- and/or rccc-diastereomers have been isolated and their structure and composition have been determined by 1H, 13C NMR and IR spectroscopy, MALDI mass spectrometry and elemental analysis, the crystal structure of one rctt-product has been established by single crystal X-ray diffraction.

References

2.
Phosphorus-containing macrocyclic compounds: synthesis and properties
Knyazeva I.R., Burilov A.R., Pudovik M.A., Habicher W.D.
Russian Chemical Reviews, 2013
3.
Self-organised nano-arrays of p-phosphonic acid functionalised higher order calixarenes
Clark T.E., Makha M., Sobolev A.N., Su D., Rohrs H., Gross M.L., Atwood J.L., Raston C.L.
New Journal of Chemistry, 2008
4.
Synthesis and complexation of amphiphilic calix[4]arene phosphonates with organic molecules in solutions and Langmuir-Blodgett films
Solovyov A.V., Cherenok S.O., Kalchenko O.I., Atamas L.I., Kazantseva Z.I., Koshets I.A., Tsymbal I.F., Kalchenko V.I.
Journal of Molecular Liquids, 2011
5.
Complexation of upper rim phosphorylated calix[4]arenes with uracil derivatives in water-containing solution
Kalchenko O., Marcinowicz A., Poznanski J., Cherenok S., Solovyov A., Zielenkiewicz W., Kalchenko V.
Journal of Physical Organic Chemistry, 2005
7.
Host-guest complexation. 48. Octol building blocks for cavitands and carcerands
Tunstad L.M., Tucker J.A., Dalcanale E., Weiser J., Bryant J.A., Sherman J.C., Helgeson R.C., Knobler C.B., Cram D.J.
Journal of Organic Chemistry, 1989
8.
Rapid synthesis of dendrimers based on calix[4]resorcinarenes
Yamakawa Y., Ueda M., Nagahata R., Takeuchi K., Asai M.
Journal of the Chemical Society Perkin Transactions 1, 1998
10.
One-step synthesis of rccc- and rctt-diastereomers of novel calix[4]resorcinols based on a para-thiophosphorylated derivative of benzaldehyde
Knyazeva I.R., Sokolova V.I., Gruner M., Habicher W.D., Syakaev V.V., Khrizanforova V.V., Gabidullin B.M., Gubaidullin A.T., Budnikova Y.H., Burilov A.R., Pudovik M.A.
Tetrahedron Letters, 2013
11.
Synthesis of rccc- and rctt-diastereoisomers of novel triazole-containing calix[4]resorcinols
Knyazeva I.R., Mukhamedyanova K.M., Syakaev V.V., Gubaidullin A.T., Habicher W.D., Burilov A.R.
Tetrahedron Letters, 2018