Home / Publications / Synthesis of N-acetyllactosamine based branched hexasaccharide

Synthesis of N-acetyllactosamine based branched hexasaccharide

Ivan Mikhailovich Ryzhov 1
Ivan Mikhailovich Ryzhov
Maria Sergeevna Savchenko 1
Maria Sergeevna Savchenko
Galina Valentinovna Pazynina 1
Galina Valentinovna Pazynina
Svetlana Vladimirovna Tsygankova 1
Svetlana Vladimirovna Tsygankova
Inna Stanislavovna Popova 1
Inna Stanislavovna Popova
Tatiana Victorovna Tyrtysh 1
Tatiana Victorovna Tyrtysh
Published 2019-11-01
CommunicationVolume 29, Issue 6, 680-682
0
Share
Cite this
GOST
 | 
Cite this
GOST Copy
Ryzhov I. M. et al. Synthesis of N-acetyllactosamine based branched hexasaccharide // Mendeleev Communications. 2019. Vol. 29. No. 6. pp. 680-682.
GOST all authors (up to 50) Copy
Ryzhov I. M., Savchenko M. S., Pazynina G. V., Tsygankova S. V., Popova I. S., Tyrtysh T. V., Bovin N. V. Synthesis of N-acetyllactosamine based branched hexasaccharide // Mendeleev Communications. 2019. Vol. 29. No. 6. pp. 680-682.
RIS
 | 
Cite this
RIS Copy
TY - JOUR
DO - 10.1016/j.mencom.2019.11.026
UR - https://mendcomm.colab.ws/publications/10.1016/j.mencom.2019.11.026
TI - Synthesis of N-acetyllactosamine based branched hexasaccharide
T2 - Mendeleev Communications
AU - Ryzhov, Ivan Mikhailovich
AU - Savchenko, Maria Sergeevna
AU - Pazynina, Galina Valentinovna
AU - Tsygankova, Svetlana Vladimirovna
AU - Popova, Inna Stanislavovna
AU - Tyrtysh, Tatiana Victorovna
AU - Bovin, Nicolai Vladimirovich
PY - 2019
DA - 2019/11/01
PB - Mendeleev Communications
SP - 680-682
IS - 6
VL - 29
ER -
BibTex
 | 
Cite this
BibTex (up to 50 authors) Copy
@article{2019_Ryzhov,
author = {Ivan Mikhailovich Ryzhov and Maria Sergeevna Savchenko and Galina Valentinovna Pazynina and Svetlana Vladimirovna Tsygankova and Inna Stanislavovna Popova and Tatiana Victorovna Tyrtysh and Nicolai Vladimirovich Bovin},
title = {Synthesis of N-acetyllactosamine based branched hexasaccharide},
journal = {Mendeleev Communications},
year = {2019},
volume = {29},
publisher = {Mendeleev Communications},
month = {Nov},
url = {https://mendcomm.colab.ws/publications/10.1016/j.mencom.2019.11.026},
number = {6},
pages = {680--682},
doi = {10.1016/j.mencom.2019.11.026}
}
MLA
Cite this
MLA Copy
Ryzhov, Ivan Mikhailovich, et al. “Synthesis of N-acetyllactosamine based branched hexasaccharide.” Mendeleev Communications, vol. 29, no. 6, Nov. 2019, pp. 680-682. https://mendcomm.colab.ws/publications/10.1016/j.mencom.2019.11.026.

Abstract

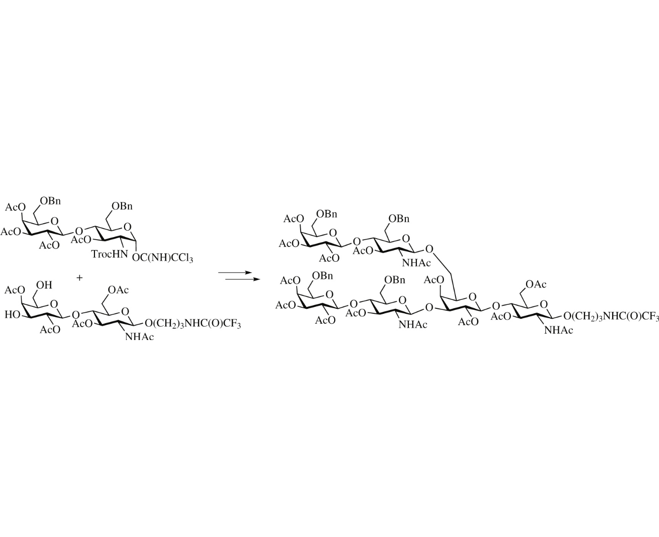
The protected spacer-armed branched tri-N-acetyllactosamine has been synthesized as a building block for the synthesis of biantennary ABH blood group antigens. The key synthetic step is the simultaneous glycosylation of the 3′- and 6′-OH groups of an N-acetyllactosamine glycosyl acceptor by N-Troc-lactosamine trichloroacetimidate.

References

3.
Synthesis of ABO histo-blood group type I and II antigens
Meloncelli P.J., Lowary T.L.
Carbohydrate Research, 2010
5.
Synthesis of ABO Histo-Blood Group Type V and VI Antigens
Meloncelli P.J., Lowary T.L.
Australian Journal of Chemistry, 2009
8.
Block synthesis of A (type 2) and B (type 2) tetrasaccharides related to the human ABO blood group system
Ryzhov I.M., Korchagina E.Y., Popova I.S., Tyrtysh T.V., Paramonov A.S., Bovin N.V.
Carbohydrate Research, 2016
9.
Chemoenzymatic Synthesis of Glycan Libraries
Blixt O., Razi N.
Methods in Enzymology, 2006
10.
Synthesis of N-acetyllactosamine-containing oligosaccharides, galectin ligands
Severov V.V., Belyanchikov I.M., Pazynina G.V., Bovin N.V.
Russian Journal of Bioorganic Chemistry, 2007
11.
Use of methanesulfonic acid in the reductive ring-opening of O-benzylidene acetals
Zinin A.I., Malysheva N.N., Shpirt A.M., Torgov V.I., Kononov L.O.
Carbohydrate Research, 2007
12.
The synthesis of oligosaccharides containing internal and terminal Galβ1-3GlcNAcβ fragments
Severov V.V., Pazynina G.V., Ovchinnikova T.V., Bovin N.V.
Russian Journal of Bioorganic Chemistry, 2015
14.
2-trimethylsilylethyl glycosides. Anomeric deblocking of mono- and disaccharides.
Jansson K., Frejd T., Kihlberg J., Magnusson G.
Tetrahedron Letters, 1988
16.
10.1016/j.mencom.2019.11.026_bib0080
Schmidt
1994
17.
Widely Applicable Deprotection Method of 2,2,2-Trichloroethoxycarbonyl (Troc) Group Using Tetrabutylammonium Fluoride
Huang C., Wang N., Fujiki K., Otsuka Y., Akamatsu M., Fujimoto Y., Fukase K.
Journal of Carbohydrate Chemistry, 2010