Home / Publications / α-Diphenylphosphino-N-(pyrazin-2-yl)glycine as a ligand in Ni-catalyzed ethylene oligomerization

α-Diphenylphosphino-N-(pyrazin-2-yl)glycine as a ligand in Ni-catalyzed ethylene oligomerization

12
Share
Cite this
GOST
 | 
Cite this
GOST Copy
Soficheva O. S. et al. α-Diphenylphosphino-N-(pyrazin-2-yl)glycine as a ligand in Ni-catalyzed ethylene oligomerization // Mendeleev Communications. 2019. Vol. 29. No. 5. pp. 575-577.
GOST all authors (up to 50) Copy
Soficheva O. S., Bekmukhamedov G. È., Dobrynin A. B., Heinicke J. W., Sinyashin O. G., Yakhvarov D. G. α-Diphenylphosphino-N-(pyrazin-2-yl)glycine as a ligand in Ni-catalyzed ethylene oligomerization // Mendeleev Communications. 2019. Vol. 29. No. 5. pp. 575-577.
RIS
 | 
Cite this
RIS Copy
TY - JOUR
DO - 10.1016/j.mencom.2019.09.033
UR - https://mendcomm.colab.ws/publications/10.1016/j.mencom.2019.09.033
TI - α-Diphenylphosphino-N-(pyrazin-2-yl)glycine as a ligand in Ni-catalyzed ethylene oligomerization
T2 - Mendeleev Communications
AU - Soficheva, Olga S
AU - Bekmukhamedov, Giyjaz Èduardovich
AU - Dobrynin, Alexey Borisovich
AU - Heinicke, Joachim W
AU - Sinyashin, Oleg Gerol'dovich
AU - Yakhvarov, Dmitry Grigorievich
PY - 2019
DA - 2019/09/04
PB - Mendeleev Communications
SP - 575-577
IS - 5
VL - 29
ER -
BibTex
 | 
Cite this
BibTex (up to 50 authors) Copy
@article{2019_Soficheva,
author = {Olga S Soficheva and Giyjaz Èduardovich Bekmukhamedov and Alexey Borisovich Dobrynin and Joachim W Heinicke and Oleg Gerol'dovich Sinyashin and Dmitry Grigorievich Yakhvarov},
title = {α-Diphenylphosphino-N-(pyrazin-2-yl)glycine as a ligand in Ni-catalyzed ethylene oligomerization},
journal = {Mendeleev Communications},
year = {2019},
volume = {29},
publisher = {Mendeleev Communications},
month = {Sep},
url = {https://mendcomm.colab.ws/publications/10.1016/j.mencom.2019.09.033},
number = {5},
pages = {575--577},
doi = {10.1016/j.mencom.2019.09.033}
}
MLA
Cite this
MLA Copy
Soficheva, Olga S., et al. “α-Diphenylphosphino-N-(pyrazin-2-yl)glycine as a ligand in Ni-catalyzed ethylene oligomerization.” Mendeleev Communications, vol. 29, no. 5, Sep. 2019, pp. 575-577. https://mendcomm.colab.ws/publications/10.1016/j.mencom.2019.09.033.

Abstract

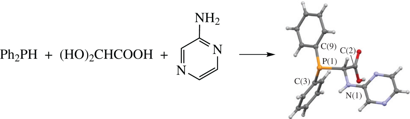
α-Diphenylphosphino-N-(pyrazin-2-yl)glycine was synthesized by the three-component condensation of diphenylphosphine, glyoxylic acid hydrate, and 2-aminopyrazine and its structure was confirmed by X-ray diffraction. It reacted with [Ni(COD)2] (COD is cycloocta-1,5-diene) to give complexes that were tested as catalysts for selective dimerization/oligomerization of ethylene to but-1-ene (main product) and C6–C14 α-olefins, respectively.

References

1.
Processes for the production of higher linear α-olefins
Belov G.P., Matkovsky P.E.
Petroleum Chemistry, 2010
7.
10.1016/j.mencom.2019.09.033_sbref0010d
Olivier-Bourbigou
2017
8.
First Cr(III)−SNS Complexes and Their Use as Highly Efficient Catalysts for the Trimerization of Ethylene to 1-Hexene
McGuinness D.S., Wasserscheid P., Keim W., Morgan D., Dixon J.T., Bollmann A., Maumela H., Hess F., Englert U.
Journal of the American Chemical Society, 2003
10.
10.1016/j.mencom.2019.09.033_sbref0015c
Rosenthal
2017
11.
Nifant’ev I.E., Vinogradov A.A., Vinogradov A.A., Bezzubov S.I., Ivchenko P.V.
Mendeleev Communications, 2017
12.
10.1016/j.mencom.2019.09.033_sbref0020a
Keim
Vysokomol. Soedin., Ser. A, 1994
13.
A new nickel complex for the oligomerization of ethylene
16.
Tuning of nickel 2-phosphinophenolates – catalysts for oligomerization and polymerization of ethylene
Heinicke J., Peulecke N., Köhler M., He M., Keim W.
Journal of Organometallic Chemistry, 2005
19.
Reactions of chelate ylides with nickel(0) complexes
Keim W., Behr A., Gruber B., Hoffmann B., Kowaldt F.H., Kuerschner U., Limbaecker B., Sistig F.P.
Organometallics, 1986
22.
Cationic Methallylnickel Complexes with Chelating Ligands, a New Dynamic Complex Isomerization Equilibrium
26.
O-Acylated 2-Phosphanylphenol Derivatives – Useful Ligands in the Nickel-Catalyzed Polymerization of Ethylene
Yakhvarov D.G., Basvani K.R., Kindermann M.K., Dobrynin A.B., Litvinov I.A., Sinyashin O.G., Jones P.G., Heinicke J.
European Journal of Inorganic Chemistry, 2009
28.
α-Phosphino Amino Acids: Synthesis, Structure, and Reactivity
Heinicke J., Lach J., Basvani K.R., Peulecke N., Jones P.G., Köckerling M.
Phosphorus, Sulfur and Silicon and the Related Elements, 2011
29.
Benzazaphospholine-2-carboxylic acids: Synthesis, structure and properties of heterocyclic phosphanyl amino acids
Ghalib M., Lach J., Fomina O.S., Yakhvarov D.G., Jones P.G., Heinicke J.
Polyhedron, 2014
30.
Chemistry of α‐Phosphanyl α‐Amino Acids
Peulecke N., Yakhvarov D.G., Heinicke J.W.
European Journal of Inorganic Chemistry, 2018
31.
α-Phosphanyl Amino Acids: Synthesis, Structure and Reactivity of N-Aryl-α-phosphanylglycines
Lach J., Guo C., Kindermann M.K., Jones P.G., Heinicke J.
European Journal of Organic Chemistry, 2010
32.
10.1016/j.mencom.2019.09.033_sbref0050b
Fomina
Proceedings of the Kazan University (Uchenye Zapiski Kazanskogo Universiteta), 2012
33.
α-Phosphanyl amino acids: synthesis, structure and properties of alkyl and heterocyclic N-substituted diphenylphosphanylglycines
34.
The synthesis of novel N-heterocyclic α-diphenylphosphinoglycines
Fomina O.S., Heinicke J.W., Sinyashin O.G., Yakhvarov D.G.
Phosphorus, Sulfur and Silicon and the Related Elements, 2016
35.
Synthesis of water-soluble bis-N,O-chelate nickel(II) complexes based on new ligands – P-pyridyl-containing phospholane oxides
Shamsieva A.V., Trigulova K.R., Fayzullin R.R., Khrizanforova V.V., Budnikova Y.H., Musina E.I., Karasik A.A.
Russian Chemical Bulletin, 2018