Home / Publications / Reactions of 1H-pyrano[3,4-c]pyran-7-ium perchlorates with ammonium acetate and amines: synthesis of 2,7-naphthyridines and pyrano[3,4-c]pyridinium salts

Reactions of 1H-pyrano[3,4-c]pyran-7-ium perchlorates with ammonium acetate and amines: synthesis of 2,7-naphthyridines and pyrano[3,4-c]pyridinium salts

Konstantin Filippovich Suzdalev 1
Konstantin Filippovich Suzdalev
Alina Victorovna Krachkovskaya 1
Alina Victorovna Krachkovskaya
Gennadii Sergeevich Borodkin 2
Gennadii Sergeevich Borodkin
Pavel A Galenko-Yaroshevsky 3
Pavel A Galenko-Yaroshevsky
Arnold Vasil'evich Tikhonov 3
Arnold Vasil'evich Tikhonov
Sergey Vasilievich Kurbatov 1
Sergey Vasilievich Kurbatov
Published 2019-07-01
CommunicationVolume 29, Issue 4, 432-434
4
Share
Cite this
GOST
 | 
Cite this
GOST Copy
Suzdalev K. F. et al. Reactions of 1H-pyrano[3,4-c]pyran-7-ium perchlorates with ammonium acetate and amines: synthesis of 2,7-naphthyridines and pyrano[3,4-c]pyridinium salts // Mendeleev Communications. 2019. Vol. 29. No. 4. pp. 432-434.
GOST all authors (up to 50) Copy
Suzdalev K. F., Krachkovskaya A. V., Borodkin G. S., Galenko-Yaroshevsky P. A., Tikhonov A. V., Kurbatov S. V. Reactions of 1H-pyrano[3,4-c]pyran-7-ium perchlorates with ammonium acetate and amines: synthesis of 2,7-naphthyridines and pyrano[3,4-c]pyridinium salts // Mendeleev Communications. 2019. Vol. 29. No. 4. pp. 432-434.
RIS
 | 
Cite this
RIS Copy
TY - JOUR
DO - 10.1016/j.mencom.2019.07.026
UR - https://mendcomm.colab.ws/publications/10.1016/j.mencom.2019.07.026
TI - Reactions of 1H-pyrano[3,4-c]pyran-7-ium perchlorates with ammonium acetate and amines: synthesis of 2,7-naphthyridines and pyrano[3,4-c]pyridinium salts
T2 - Mendeleev Communications
AU - Suzdalev, Konstantin Filippovich
AU - Krachkovskaya, Alina Victorovna
AU - Borodkin, Gennadii Sergeevich
AU - Galenko-Yaroshevsky, Pavel A
AU - Tikhonov, Arnold Vasil'evich
AU - Kurbatov, Sergey Vasilievich
PY - 2019
DA - 2019/07/01
PB - Mendeleev Communications
SP - 432-434
IS - 4
VL - 29
ER -
BibTex
 | 
Cite this
BibTex (up to 50 authors) Copy
@article{2019_Suzdalev,
author = {Konstantin Filippovich Suzdalev and Alina Victorovna Krachkovskaya and Gennadii Sergeevich Borodkin and Pavel A Galenko-Yaroshevsky and Arnold Vasil'evich Tikhonov and Sergey Vasilievich Kurbatov},
title = {Reactions of 1H-pyrano[3,4-c]pyran-7-ium perchlorates with ammonium acetate and amines: synthesis of 2,7-naphthyridines and pyrano[3,4-c]pyridinium salts},
journal = {Mendeleev Communications},
year = {2019},
volume = {29},
publisher = {Mendeleev Communications},
month = {Jul},
url = {https://mendcomm.colab.ws/publications/10.1016/j.mencom.2019.07.026},
number = {4},
pages = {432--434},
doi = {10.1016/j.mencom.2019.07.026}
}
MLA
Cite this
MLA Copy
Suzdalev, Konstantin Filippovich, et al. “Reactions of 1H-pyrano[3,4-c]pyran-7-ium perchlorates with ammonium acetate and amines: synthesis of 2,7-naphthyridines and pyrano[3,4-c]pyridinium salts.” Mendeleev Communications, vol. 29, no. 4, Jul. 2019, pp. 432-434. https://mendcomm.colab.ws/publications/10.1016/j.mencom.2019.07.026.

Abstract

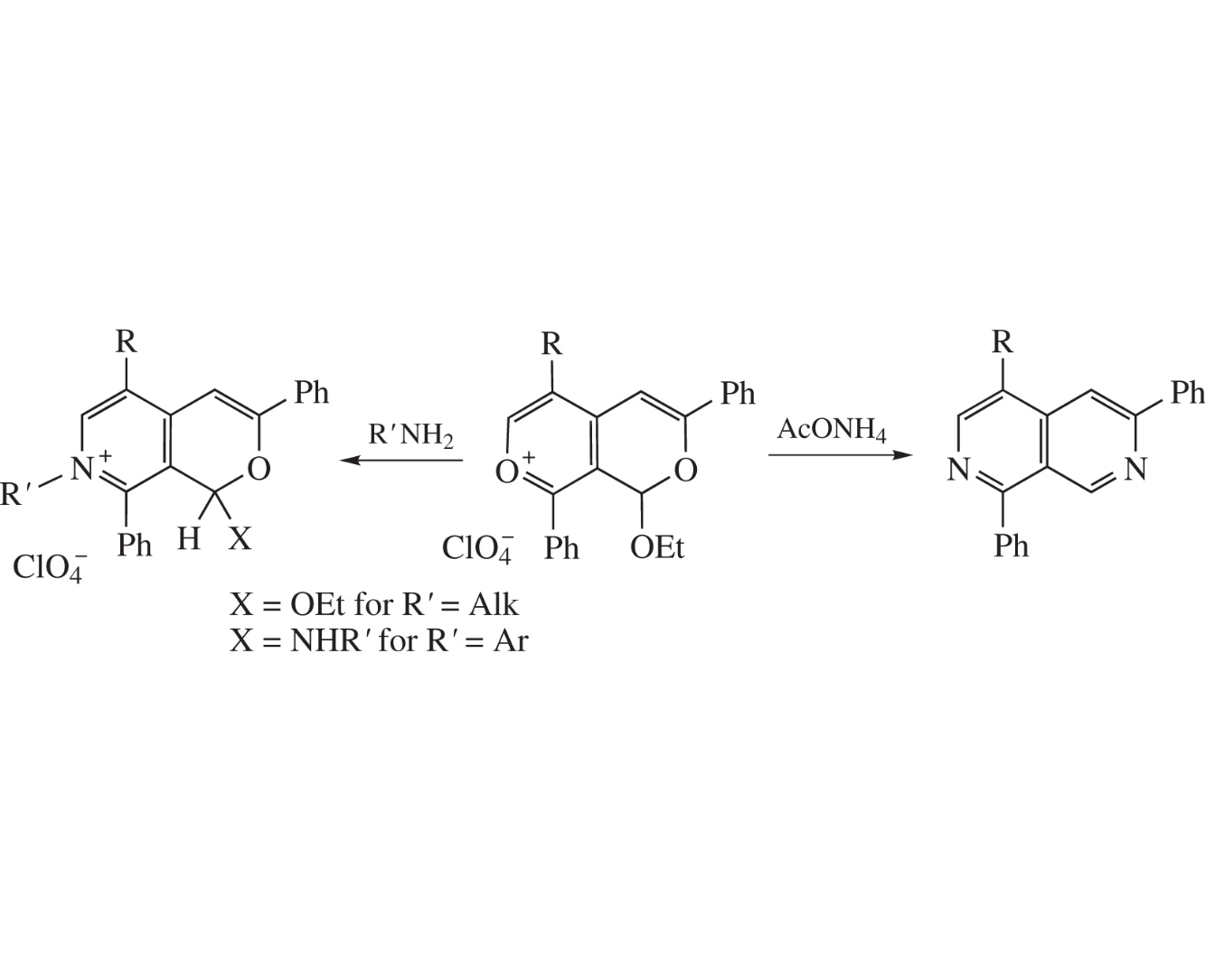
The reaction of 1H-pyrano[3,4-c]pyran-7-ium perchlorates with ammonium acetate gives 2,7-naphthyridines, while in their reaction with primary amines pyrano[3,4-c]pyridinium salts are formed. The structure of 7-[2-(dimethylamino)ethyl]-1-ethoxy-5-methyl-3,8-diphenyl-1H-pyrano[3,4-c]pyridin-7-ium perchlorate was established by X-ray diffraction.

References

1.
Unexpected pyrylium to pyrylium domino transformation. Synthesis of pyrano[3,4-c]pyran-7-ium cation and its recyclization to 2,7-naphthyridine derivative
Suzdalev K.F., Krachkovskaya A.V., Kletskii M.E., Burov O.N., Tatarov A.V., Kurbatov S.V.
Chemistry of Heterocyclic Compounds, 2017
2.
10.1016/j.mencom.2019.07.026_sbref0010a
Balaban
1982
4.
10.1016/j.mencom.2019.07.026_sbref0010c
Heidarizadeh
Orient. J. Chem., 2011
6.
Lophocladines, Bioactive Alkaloids from the Red Alga Lophocladia sp.
Gross H., Goeger D.E., Hills P., Mooberry S.L., Ballantine D.L., Murray T.F., Valeriote F.A., Gerwick W.H.
Journal of Natural Products, 2006
7.
10.1016/j.mencom.2019.07.026_sbref0025a
Wójcicka
Acta Pol. Pharm., 2015
8.
Discovery of Dibenzo[c,f][2,7]naphthyridines as Potent and Selective 3-Phosphoinositide-Dependent Kinase-1 Inhibitors
Gopalsamy A., Shi M., Boschelli D.H., Williamson R., Olland A., Hu Y., Krishnamurthy G., Han X., Arndt K., Guo B.
Journal of Medicinal Chemistry, 2007
9.
Induction of apoptosis by the plant alkaloid sampangine in human HL-60 leukemia cells is mediated by reactive oxygen species
Kluza J., Mazinghien R., Degardin K., Lansiaux A., Bailly C.
European Journal of Pharmacology, 2005
10.
SK-126, a synthetic compound, regulates the production of inflammatory cytokines induced by LPS in antigen-presenting cells
Kang K., Kim H., Kim K.I., Yang Y., Yoon D., Kim J., Ryu J., Noh E., Jeon S., Lim J.
Biochemical Pharmacology, 2008
11.
Structure–activity relationships of a novel pyranopyridine series of Gram-negative bacterial efflux pump inhibitors
Nguyen S.T., Kwasny S.M., Ding X., Cardinale S.C., McCarthy C.T., Kim H., Nikaido H., Peet N.P., Williams J.D., Bowlin T.L., Opperman T.J.
Bioorganic and Medicinal Chemistry, 2015
12.
Molecular basis for inhibition of AcrB multidrug efflux pump by novel and powerful pyranopyridine derivatives
Sjuts H., Vargiu A.V., Kwasny S.M., Nguyen S.T., Kim H., Ding X., Ornik A.R., Ruggerone P., Bowlin T.L., Nikaido H., Pos K.M., Opperman T.J.
Proceedings of the National Academy of Sciences of the United States of America, 2016
13.
Natural products: A continuing source of novel drug leads
Cragg G.M., Newman D.J.
Biochimica et Biophysica Acta - General Subjects, 2013
17.
Toward an Understanding of the Furoxan−Dinitrosoethylene Equilibrium
Stevens J., Schweizer M., Rauhut G.
Journal of the American Chemical Society, 2001
18.
10.1016/j.mencom.2019.07.026_bib0055
Frisch
Gaussian 03, Revision C.02, 2004
19.
Estimating the hessian for gradient-type geometry optimizations
Bernhard Schlegel H.
Theoretical Chemistry Accounts, 1984
20.
Quantum Mechanical Continuum Solvation Models
Tomasi J., Mennucci B., Cammi R.
Chemical Reviews, 2005