Home / Publications / Synthesis, structure and dielectric properties of new oxide compounds Ln1−xSr1+xCux/2Ti1−x/2O4 (Ln=La, Pr, Nd) belonging to the structural type of K2NiF4

Synthesis, structure and dielectric properties of new oxide compounds Ln1−xSr1+xCux/2Ti1−x/2O4 (Ln=La, Pr, Nd) belonging to the structural type of K2NiF4

Tatyana Ivanovna Chupakhina 1
Tatyana Ivanovna Chupakhina
Yulia Andreevna Deeva 1, 2
Yulia Andreevna Deeva
Nina Vladimirovna Melnikova 2
Nina Vladimirovna Melnikova
Vladimir Valerianovich Gorin 2
Vladimir Valerianovich Gorin
Ilya Sergeevich Sivkov 2
Ilya Sergeevich Sivkov
Olga Ivanovna Gyrdasova 1
Olga Ivanovna Gyrdasova
Published 2019-04-26
CommunicationVolume 29, Issue 3, 349-351
6
Share
Cite this
GOST
 | 
Cite this
GOST Copy
Chupakhina T. I. et al. Synthesis, structure and dielectric properties of new oxide compounds Ln1−xSr1+xCux/2Ti1−x/2O4 (Ln=La, Pr, Nd) belonging to the structural type of K2NiF4 // Mendeleev Communications. 2019. Vol. 29. No. 3. pp. 349-351.
GOST all authors (up to 50) Copy
Chupakhina T. I., Deeva Y. A., Melnikova N. V., Gorin V. V., Sivkov I. S., Gyrdasova O. I. Synthesis, structure and dielectric properties of new oxide compounds Ln1−xSr1+xCux/2Ti1−x/2O4 (Ln=La, Pr, Nd) belonging to the structural type of K2NiF4 // Mendeleev Communications. 2019. Vol. 29. No. 3. pp. 349-351.
RIS
 | 
Cite this
RIS Copy
TY - JOUR
DO - 10.1016/j.mencom.2019.05.037
UR - https://mendcomm.colab.ws/publications/10.1016/j.mencom.2019.05.037
TI - Synthesis, structure and dielectric properties of new oxide compounds Ln1−xSr1+xCux/2Ti1−x/2O4 (Ln=La, Pr, Nd) belonging to the structural type of K2NiF4
T2 - Mendeleev Communications
AU - Chupakhina, Tatyana Ivanovna
AU - Deeva, Yulia Andreevna
AU - Melnikova, Nina Vladimirovna
AU - Gorin, Vladimir Valerianovich
AU - Sivkov, Ilya Sergeevich
AU - Gyrdasova, Olga Ivanovna
PY - 2019
DA - 2019/04/26
PB - Mendeleev Communications
SP - 349-351
IS - 3
VL - 29
ER -
BibTex
 | 
Cite this
BibTex (up to 50 authors) Copy
@article{2019_Chupakhina,
author = {Tatyana Ivanovna Chupakhina and Yulia Andreevna Deeva and Nina Vladimirovna Melnikova and Vladimir Valerianovich Gorin and Ilya Sergeevich Sivkov and Olga Ivanovna Gyrdasova},
title = {Synthesis, structure and dielectric properties of new oxide compounds Ln1−xSr1+xCux/2Ti1−x/2O4 (Ln=La, Pr, Nd) belonging to the structural type of K2NiF4},
journal = {Mendeleev Communications},
year = {2019},
volume = {29},
publisher = {Mendeleev Communications},
month = {Apr},
url = {https://mendcomm.colab.ws/publications/10.1016/j.mencom.2019.05.037},
number = {3},
pages = {349--351},
doi = {10.1016/j.mencom.2019.05.037}
}
MLA
Cite this
MLA Copy
Chupakhina, Tatyana Ivanovna, et al. “Synthesis, structure and dielectric properties of new oxide compounds Ln1−xSr1+xCux/2Ti1−x/2O4 (Ln=La, Pr, Nd) belonging to the structural type of K2NiF4.” Mendeleev Communications, vol. 29, no. 3, Apr. 2019, pp. 349-351. https://mendcomm.colab.ws/publications/10.1016/j.mencom.2019.05.037.

Abstract

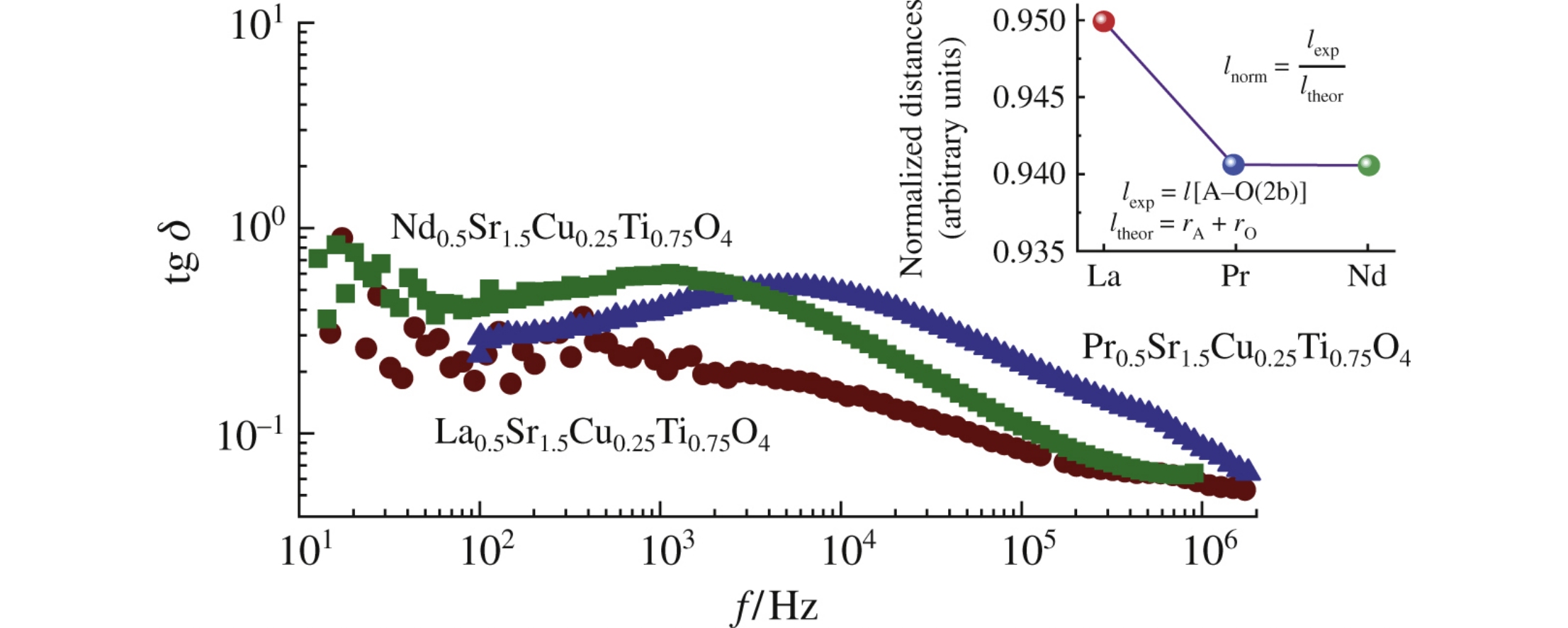
New complex oxides Ln1−xSr1+xCux/2Ti1−x/2O4 (where Ln is La, Pr, or Nd) possessing the K2NiF4 type structure were synthesized. Their structure and dielectric properties were characterized. Low values of the dielectric loss tangent in the radio frequency range have been revealed, which correlates with their structural anisotropy and morphology.

References

2.
ac conductivity inLa2CuO4
Lunkenheimer P., Resch M., Loidl A., Hidaka Y.
Physical Review Letters, 1992
3.
Charge modulations inLa2−xSrxNiO4+y: Ordering of polarons
Chen C.H., Cheong S., Cooper A.S.
Physical Review Letters, 1993
4.
Colossal dielectric constant up to GHz at room temperature
Krohns S., Lunkenheimer P., Kant C., Pronin A.V., Brom H.B., Nugroho A.A., Diantoro M., Loidl A.
Applied Physics Letters, 2009
5.
Optical Response of High-Dielectric-Constant Perovskite-Related Oxide
Homes C.C., Vogt T., Shapiro S.M., Wakimoto S., Ramirez A.P.
Science, 2001
6.
New phases in the SrO–La2O3 –TiO2–CuO system with the K2NiF4 structure
Steudtner C., Morán E., Alario-Franco M.Á., Martínez J.L.
Journal of Materials Chemistry A, 1997