Home / Publications / Effective synthesis of non-racemic prenalterol based on spontaneous resolution of 3-(4-hydroxyphenoxy)propane-1,2-diol

Effective synthesis of non-racemic prenalterol based on spontaneous resolution of 3-(4-hydroxyphenoxy)propane-1,2-diol

Zemfira Azal'evna Bredikhina 1
Zemfira Azal'evna Bredikhina
Alexey Valer'evich Kurenkov 1
Alexey Valer'evich Kurenkov
Alexander Alexandrovich Bredikhin 1
Alexander Alexandrovich Bredikhin
Published 2019-03-01
CommunicationVolume 29, Issue 2, 198-199
2
Share
Cite this
GOST
 | 
Cite this
GOST Copy
Bredikhina Z. A., Kurenkov A. V., Bredikhin A. A. Effective synthesis of non-racemic prenalterol based on spontaneous resolution of 3-(4-hydroxyphenoxy)propane-1,2-diol // Mendeleev Communications. 2019. Vol. 29. No. 2. pp. 198-199.
GOST all authors (up to 50) Copy
Bredikhina Z. A., Kurenkov A. V., Bredikhin A. A. Effective synthesis of non-racemic prenalterol based on spontaneous resolution of 3-(4-hydroxyphenoxy)propane-1,2-diol // Mendeleev Communications. 2019. Vol. 29. No. 2. pp. 198-199.
RIS
 | 
Cite this
RIS Copy
TY - JOUR
DO - 10.1016/j.mencom.2019.03.028
UR - https://mendcomm.colab.ws/publications/10.1016/j.mencom.2019.03.028
TI - Effective synthesis of non-racemic prenalterol based on spontaneous resolution of 3-(4-hydroxyphenoxy)propane-1,2-diol
T2 - Mendeleev Communications
AU - Bredikhina, Zemfira Azal'evna
AU - Kurenkov, Alexey Valer'evich
AU - Bredikhin, Alexander Alexandrovich
PY - 2019
DA - 2019/03/01
PB - Mendeleev Communications
SP - 198-199
IS - 2
VL - 29
ER -
BibTex
 | 
Cite this
BibTex (up to 50 authors) Copy
@article{2019_Bredikhina,
author = {Zemfira Azal'evna Bredikhina and Alexey Valer'evich Kurenkov and Alexander Alexandrovich Bredikhin},
title = {Effective synthesis of non-racemic prenalterol based on spontaneous resolution of 3-(4-hydroxyphenoxy)propane-1,2-diol},
journal = {Mendeleev Communications},
year = {2019},
volume = {29},
publisher = {Mendeleev Communications},
month = {Mar},
url = {https://mendcomm.colab.ws/publications/10.1016/j.mencom.2019.03.028},
number = {2},
pages = {198--199},
doi = {10.1016/j.mencom.2019.03.028}
}
MLA
Cite this
MLA Copy
Bredikhina, Zemfira Azal'evna, et al. “Effective synthesis of non-racemic prenalterol based on spontaneous resolution of 3-(4-hydroxyphenoxy)propane-1,2-diol.” Mendeleev Communications, vol. 29, no. 2, Mar. 2019, pp. 198-199. https://mendcomm.colab.ws/publications/10.1016/j.mencom.2019.03.028.

Abstract

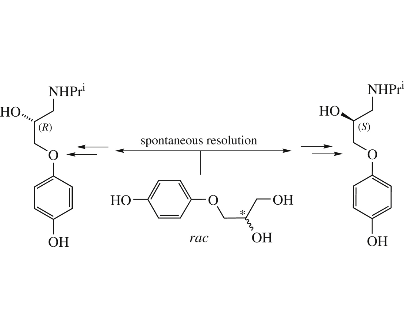
Spontaneous resolution of rac-3-(4-hydroxyphenoxy)propane-1,2-diol has been successfully used in the synthesis of both enantiomers of chiral drug prenalterol.

References

2.
Processes to separate enantiomers.
Lorenz H., Seidel-Morgenstern A.
Angewandte Chemie - International Edition, 2014
3.
Spontaneous Deracemization
Amabilino D.B., Kellogg R.M.
Israel Journal of Chemistry, 2011
4.
Pitfalls and rewards of preferential crystallization
Levilain G., Coquerel G.
CrystEngComm, 2010
5.
Stereoselective Crystallization as a Basis for Single-Enantiomer Drug Production
Bredikhin A.A., Bredikhina Z.A.
Chemical Engineering and Technology, 2017
6.
10.1016/j.mencom.2019.03.028_bib0030
The Merck Index, An Encyclopedia of Chemicals, Drugs, and Biologicals, 2006
7.
10.1016/j.mencom.2019.03.028_bib0035
Kenakin
J. Pharmacol. Exp. Ther., 1980
9.
Beta-Adrenergic Agonists
Barisione G., Baroffio M., Crimi E., Brusasco V.
Pharmaceuticals, 2010
10.
K.E. Fahrenholtz, R.W. Guthrie, R.W. Kierstead, J.W. Tilley, Patent DE 2904799 A1, 1979.
11.
.beta.1-Selective adrenoceptor antagonists. 1. Synthesis and .beta.-adrenergic blocking activity of a series of binary (aryloxy)propanolamines
Kierstead R.W., Faraone A., Mennona F., Mullin J., Guthrie R.W., Crowley H., Simko B., Blaber L.C.
Journal of Medicinal Chemistry, 1983
12.
K.E. Fahrenholtz, R.W. Guthrie, R.W. Kierstead, J. W. Tilley, Patent US 4202978A, 1980.(Chem. Abstr., 1980, 92, 94434u).
13.
A.B. Davidson, R.W. Guthrie, R.W. Kierstead, A. Ziering, Patent US 4471116A, 1984.
14.
Bredikhin A.A., Bredikhina Z.A., Zakharychev D.V.
Mendeleev Communications, 2012
15.
Bredikhina Z.A., Konoshenko L.V., Zakharychev D.V., Pashagin A.V., Gubaidullin A.T., Bredikhin A.A.
Mendeleev Communications, 2009
16.
Microbiological Systems in Organic Synthesis: Preparation of Racemic Prenalterol Utilizing Cunninghamella echinulata
Pasutto F.M., Singh N.N., Jamali F., Coutts R.T., Abuzar S.
Journal of Pharmaceutical Sciences, 1987
18.
10.1016/j.mencom.2019.03.028_bib0090
Fayzullin
Proceedings of the VIII International Symposium on Design and Synthesis of Supramolecular Architectures, II Youth School on Supramolecular and Coordination Chemistry, 2016
19.
4(2)-Methoxyphenyl glycerol ethers in the synthesis of nonracemic di-O,O-acylglycerols
Bredikhina Z.A., Novikova V.G., Efremov Y.Y., Sharafutdinova D.R., Bredikhin A.A.
Russian Chemical Bulletin, 2008
20.
A.R. Schoofs, M. Langlois, C.R. Jeanpetit, M.F. Masson, Patent US 4971995A, 1990. (Chem. Abstr., 1990, 112, 138737h).
22.
J.J. Baldwin, D.E. McClure, Patent EU 0006614 A2, 1980.