Home / Publications / Synthesis of new 4-(pyrimidin-4-yl)pyrazol-3-one derivatives

Synthesis of new 4-(pyrimidin-4-yl)pyrazol-3-one derivatives

Anna Alekseevna Sukhanova 1
Anna Alekseevna Sukhanova
Maxim Igorevich Zuev 1
Maxim Igorevich Zuev
Mikhail Avramovich Prezent 1
Mikhail Avramovich Prezent
Alexey N Proshin 2
Alexey N Proshin
Sergey Viktorovich Baranin 1
Sergey Viktorovich Baranin
Yurii Nikolaevich Bubnov 1
Yurii Nikolaevich Bubnov
Published 2019-03-01
CommunicationVolume 29, Issue 2, 196-197
6
Share
Cite this
GOST
 | 
Cite this
GOST Copy
Sukhanova A. A. et al. Synthesis of new 4-(pyrimidin-4-yl)pyrazol-3-one derivatives // Mendeleev Communications. 2019. Vol. 29. No. 2. pp. 196-197.
GOST all authors (up to 50) Copy
Sukhanova A. A., Zuev M. I., Prezent M. A., Proshin A. N., Baranin S. V., Bubnov Y. N. Synthesis of new 4-(pyrimidin-4-yl)pyrazol-3-one derivatives // Mendeleev Communications. 2019. Vol. 29. No. 2. pp. 196-197.
RIS
 | 
Cite this
RIS Copy
TY - JOUR
DO - 10.1016/j.mencom.2019.03.027
UR - https://mendcomm.colab.ws/publications/10.1016/j.mencom.2019.03.027
TI - Synthesis of new 4-(pyrimidin-4-yl)pyrazol-3-one derivatives
T2 - Mendeleev Communications
AU - Sukhanova, Anna Alekseevna
AU - Zuev, Maxim Igorevich
AU - Prezent, Mikhail Avramovich
AU - Proshin, Alexey N
AU - Baranin, Sergey Viktorovich
AU - Bubnov, Yurii Nikolaevich
PY - 2019
DA - 2019/03/01
PB - Mendeleev Communications
SP - 196-197
IS - 2
VL - 29
ER -
BibTex
 | 
Cite this
BibTex (up to 50 authors) Copy
@article{2019_Sukhanova,
author = {Anna Alekseevna Sukhanova and Maxim Igorevich Zuev and Mikhail Avramovich Prezent and Alexey N Proshin and Sergey Viktorovich Baranin and Yurii Nikolaevich Bubnov},
title = {Synthesis of new 4-(pyrimidin-4-yl)pyrazol-3-one derivatives},
journal = {Mendeleev Communications},
year = {2019},
volume = {29},
publisher = {Mendeleev Communications},
month = {Mar},
url = {https://mendcomm.colab.ws/publications/10.1016/j.mencom.2019.03.027},
number = {2},
pages = {196--197},
doi = {10.1016/j.mencom.2019.03.027}
}
MLA
Cite this
MLA Copy
Sukhanova, Anna Alekseevna, et al. “Synthesis of new 4-(pyrimidin-4-yl)pyrazol-3-one derivatives.” Mendeleev Communications, vol. 29, no. 2, Mar. 2019, pp. 196-197. https://mendcomm.colab.ws/publications/10.1016/j.mencom.2019.03.027.

Abstract

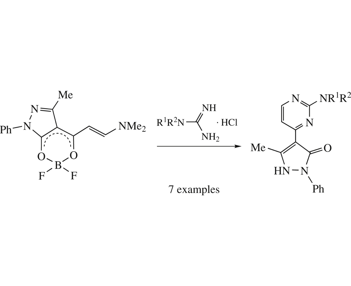
New 4-(2-R-pyrimidin-4-yl)-5-methyl-2-phenyl-1,2-dihydro-3H-pyrazol-3-ones were obtained by reaction of difluoroboron chelate of 4-acetyl-5-hydroxy-3-methyl-1-phenyl-1H-pyrazole with guanidine and its derivatives.

References

1.
Ananikov V.P., Eremin D.B., Yakukhnov S.A., Dilman A.D., Levin V.V., Egorov M.P., Karlov S.S., Kustov L.M., Tarasov A.L., Greish A.A., Shesterkina A.A., Sakharov A.M., Nysenko Z.N., Sheremetev A.B., Stakheev A.Y., et. al.
Mendeleev Communications, 2017
2.
Zlotin S.G., Churakov A.M., Dalinger I.L., Luk’yanov O.A., Makhova N.N., Sukhorukov A.Y., Tartakovsky V.A.
Mendeleev Communications, 2017
3.
Troitskaya-Markova N.A., Vlasova O.G., Godovikova T.I., Zlotin S.G., Rakitin O.A.
Mendeleev Communications, 2017
5.
L. Yu. Lun, Ya. Ventsin and R. James, Patent WO 2015/020777, 2015.
6.
Synthesis, characterization and pharmacological study of 4,5-dihydropyrazolines carrying pyrimidine moiety
Adhikari A., Kalluraya B., Sujith K.V., Gouthamchandra K., Jairam R., Mahmood R., Sankolli R.
European Journal of Medicinal Chemistry, 2012
7.
Synthesis of some dihydropyrimidine-based compounds bearing pyrazoline moiety and evaluation of their antiproliferative activity.
Awadallah F.M., Piazza G.A., Gary B.D., Keeton A.B., Canzoneri J.C.
European Journal of Medicinal Chemistry, 2013
9.
Zinc(II) and cadmium(II) complexes based on 4-(3,5-diphenyl-1H-pyrazol-1-yl)-6-(piperidin-1-yl)pyrimidine (L): Synthesis, structure, luminescence. Double lone pair–π interactions in the structure of ZnL2Cl2
Bushuev M.B., Vinogradova K.A., Krivopalov V.P., Nikolaenkova E.B., Pervukhina N.V., Naumov D.Y., Rakhmanova M.I., Uskov E.M., Sheludyakova L.A., Alekseev A.V., Larionov S.V.
Inorganica Chimica Acta, 2011
10.
Copper(II) and copper(I) tetrafluoroborate complexes with 4-(3,5-diphenyl-1H-pyrazol-1-yl)-6-(piperidin-1-yl)pyrimidine (L): Synthesis, structures and luminescence
Vinogradova K.A., Krivopalov V.P., Nikolaenkova E.B., Pervukhina N.V., Naumov D.Y., Sheludyakova L.A., Bushuev M.B.
Inorganica Chimica Acta, 2012
11.
Synthesis and structures of copper(II), copper(I,II) and copper(I) complexes with 4-(3,5-diphenyl-1H-pyrazol-1-yl)-6-(piperidin-1-yl)pyrimidine. Luminescence of copper(I) complexes
Vinogradova K.A., Krivopalov V.P., Nikolaenkova E.B., Pervukhina N.V., Naumov D.Y., Rakhmanova M.I., Boguslavsky E.G., Sheludyakova L.A., Bushuev M.B.
Polyhedron, 2013
12.
Synthesis of 5-aroylmethylpyrazoles and their hydrazones from dif luoroboron chelates of aroylacetones
Dorokhov V.A., Kravtsov I.V., Belyakov P.A., Baranin S.V.
Russian Chemical Bulletin, 2006
13.
Zuev M.A., Sukhanova A.A., Smola A.G., Prezent M.A., Proshin A.N., Baranin S.V., Bubnov Y.N.
Mendeleev Communications, 2018