Home / Publications / A convenient synthesis of cis-restricted combretastatin analogues with pyrazole and isoxazole cores

A convenient synthesis of cis-restricted combretastatin analogues with pyrazole and isoxazole cores

Dmitry Vadimovich Tsyganov 1
Dmitry Vadimovich Tsyganov
Marina Nikolaevna Semenova 2
Marina Nikolaevna Semenova
Leonid Dmitrievich Konyushkin 1
Leonid Dmitrievich Konyushkin
Vladimir Igorevich Ushkarov 1
Vladimir Igorevich Ushkarov
Mikhail Mikhailovich Raihstat 1
Mikhail Mikhailovich Raihstat
Victor Vladimirovich Semenov 1
Victor Vladimirovich Semenov
Published 2019-03-01
CommunicationVolume 29, Issue 2, 163-165
16
Share
Cite this
GOST
 | 
Cite this
GOST Copy
Tsyganov D. V. et al. A convenient synthesis of cis-restricted combretastatin analogues with pyrazole and isoxazole cores // Mendeleev Communications. 2019. Vol. 29. No. 2. pp. 163-165.
GOST all authors (up to 50) Copy
Tsyganov D. V., Semenova M. N., Konyushkin L. D., Ushkarov V. I., Raihstat M. M., Semenov V. V. A convenient synthesis of cis-restricted combretastatin analogues with pyrazole and isoxazole cores // Mendeleev Communications. 2019. Vol. 29. No. 2. pp. 163-165.
RIS
 | 
Cite this
RIS Copy
TY - JOUR
DO - 10.1016/j.mencom.2019.03.015
UR - https://mendcomm.colab.ws/publications/10.1016/j.mencom.2019.03.015
TI - A convenient synthesis of cis-restricted combretastatin analogues with pyrazole and isoxazole cores
T2 - Mendeleev Communications
AU - Tsyganov, Dmitry Vadimovich
AU - Semenova, Marina Nikolaevna
AU - Konyushkin, Leonid Dmitrievich
AU - Ushkarov, Vladimir Igorevich
AU - Raihstat, Mikhail Mikhailovich
AU - Semenov, Victor Vladimirovich
PY - 2019
DA - 2019/03/01
PB - Mendeleev Communications
SP - 163-165
IS - 2
VL - 29
ER -
BibTex
 | 
Cite this
BibTex (up to 50 authors) Copy
@article{2019_Tsyganov,
author = {Dmitry Vadimovich Tsyganov and Marina Nikolaevna Semenova and Leonid Dmitrievich Konyushkin and Vladimir Igorevich Ushkarov and Mikhail Mikhailovich Raihstat and Victor Vladimirovich Semenov},
title = {A convenient synthesis of cis-restricted combretastatin analogues with pyrazole and isoxazole cores},
journal = {Mendeleev Communications},
year = {2019},
volume = {29},
publisher = {Mendeleev Communications},
month = {Mar},
url = {https://mendcomm.colab.ws/publications/10.1016/j.mencom.2019.03.015},
number = {2},
pages = {163--165},
doi = {10.1016/j.mencom.2019.03.015}
}
MLA
Cite this
MLA Copy
Tsyganov, Dmitry Vadimovich, et al. “A convenient synthesis of cis-restricted combretastatin analogues with pyrazole and isoxazole cores.” Mendeleev Communications, vol. 29, no. 2, Mar. 2019, pp. 163-165. https://mendcomm.colab.ws/publications/10.1016/j.mencom.2019.03.015.

Abstract

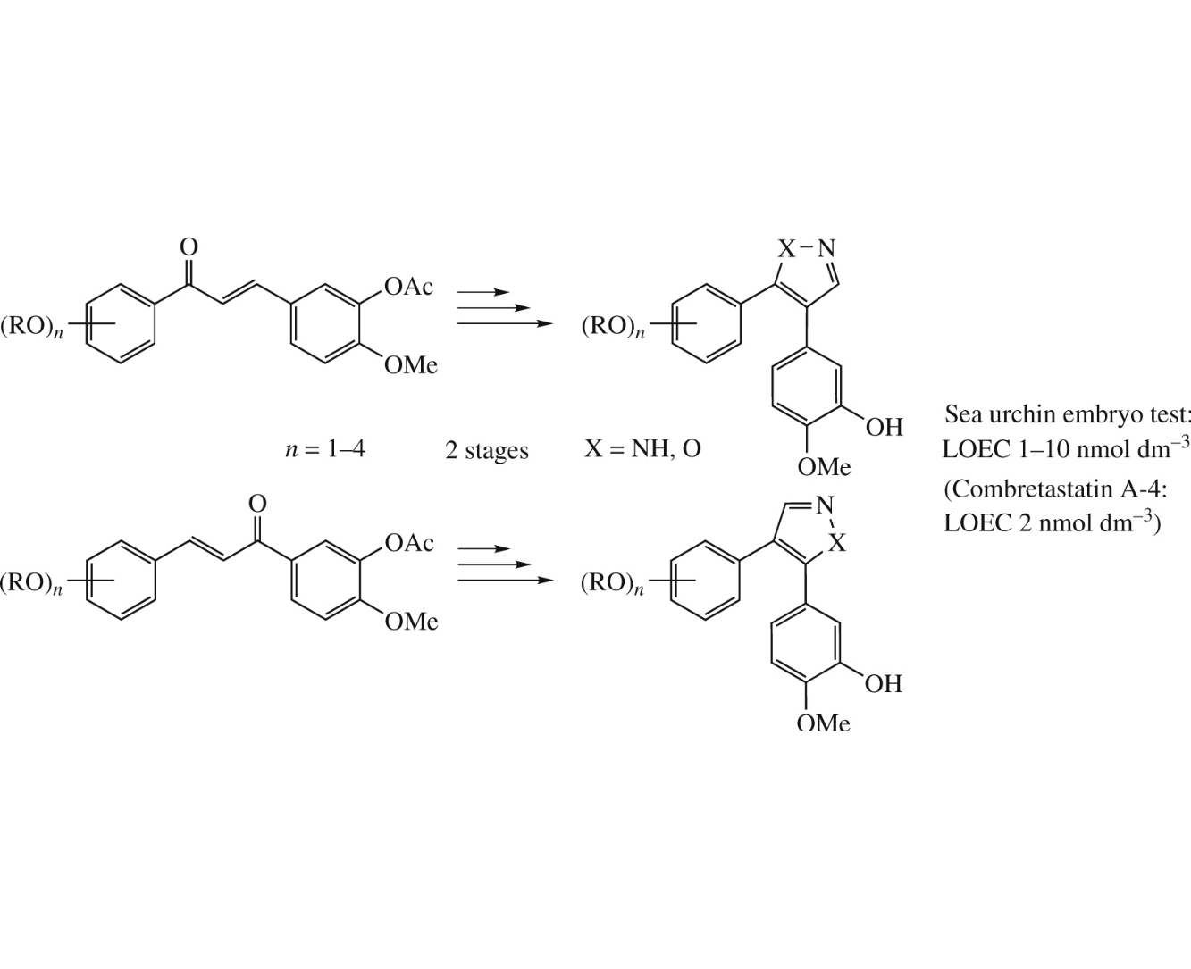
A series of combretastatin analogues, diarylpyrazoles and diarylisoxazoles, have been synthesized and evaluated for their antimitotic tubulin-binding activity using the phenotypic sea urchin (Paracentrotus lividus) embryo assay. One pyrazole analogue and four isoxazole analogues have been identified as potent antimitotic agents comparable with combretastatins A-2 and A-4, with the lowest observable effective concentration of 1–10nmoldm−3 for cleavage alteration of the test embryos.

References

1.
Synthesis and evaluation of stilbene and dihydrostilbene derivatives as potential anticancer agents that inhibit tubulin polymerization
Cushman M., Nagarathnam D., Gopal D., Chakraborti A.K., Lin C.M., Hamel E.
Journal of Medicinal Chemistry, 1991
2.
Antineoplastic Agents. 445. Synthesis and Evaluation of Structural Modifications of (Z)- and (E)-Combretastatin A-4
Pettit G.R., Rhodes M.R., Herald D.L., Hamel E., Schmidt J.M., Pettit R.K.
Journal of Medicinal Chemistry, 2005
3.
Sea Urchin Embryo Model As a Reliable in Vivo Phenotypic Screen to Characterize Selective Antimitotic Molecules. Comparative evaluation of Combretapyrazoles, -isoxazoles, -1,2,3-triazoles, and -pyrroles as Tubulin-Binding Agents.
Semenova M.N., Demchuk D.V., Tsyganov D.V., Chernysheva N.B., Samet A.V., Silyanova E.A., Kislyi V.P., Maksimenko A.S., Varakutin A.E., Konyushkin L.D., Raihstat M.M., Kiselyov A.S., Semenov V.V.
ACS Combinatorial Science, 2018
4.
Sydnone Cycloaddition Route to Pyrazole-Based Analogs of Combretastatin A4
Brown A.W., Fisher M., Tozer G.M., Kanthou C., Harrity J.P.
Journal of Medicinal Chemistry, 2016
5.
Synthesis and cytotoxic activities of 4,5-diarylisoxazoles
Sun C., Lin L., Yu H., Cheng C., Tsai Y., Chu C., Din Y., Chau Y., Don M.
Bioorganic and Medicinal Chemistry Letters, 2007
6.
Isoxazole-type derivatives related to combretastatin A-4, synthesis and biological evaluation.
Kaffy J., Pontikis R., Carrez D., Croisy A., Monneret C., Florent J.
Bioorganic and Medicinal Chemistry, 2006
7.
Tubulin-interactive stilbene derivatives as anticancer agents
Mikstacka R., Stefański T., Różański J.
Cellular and Molecular Biology Letters, 2013
8.
Design of Combretastatin A-4 Analogs as Tubulin Targeted Vascular Disrupting Agent with Special Emphasis on Their Cis-Restricted Isomers
Rajak H., Kumar Dewangan P., Patel V., Kumar Jain D., Singh A., Veerasamy R., Chander Sharma P., Dixit A.
Current Pharmaceutical Design, 2013
9.
Synthesis and antiproliferative activity of conformationally restricted 1,2,3-triazole analogues of combretastatins in the sea urchin embryo model and against human cancer cell lines
Demchuk D.V., Samet A.V., Chernysheva N.B., Ushkarov V.I., Stashina G.A., Konyushkin L.D., Raihstat M.M., Firgang S.I., Philchenkov A.A., Zavelevich M.P., Kuiava L.M., Chekhun V.F., Blokhin D.Y., Kiselyov A.S., Semenova M.N., et. al.
Bioorganic and Medicinal Chemistry, 2014
10.
3-(5-)-Amino-o-diarylisoxazoles: Regioselective synthesis and antitubulin activity
Tsyganov D.V., Khrustalev V.N., Konyushkin L.D., Raihstat M.M., Firgang S.I., Semenov R.V., Kiselyov A.S., Semenova M.N., Semenov V.V.
European Journal of Medicinal Chemistry, 2014
11.
Medicinal Chemistry of Combretastatin A4:  Present and Future Directions
Tron G.C., Pirali T., Sorba G., Pagliai F., Busacca S., Genazzani A.A.
Journal of Medicinal Chemistry, 2006
12.
Combretastatins: In vitro structure-activity relationship, mode of action and current clinical status
Jaroch K., Karolak M., Górski P., Jaroch A., Krajewski A., Ilnicka A., Sloderbach A., Stefański T., Sobiak S.
Pharmacological Reports, 2016
13.
Regioselective synthesis of 3,4-diaryl-5-unsubstituted isoxazoles, analogues of natural cytostatic combretastatin A4.
Chernysheva N.B., Maksimenko A.S., Andreyanov F.A., Kislyi V.P., Strelenko Y.A., Khrustalev V.N., Semenova M.N., Semenov V.V.
European Journal of Medicinal Chemistry, 2018
15.
Sulfo‐essigsäure àls Kondensationsmittel, IV.: Iso‐acetovanillon
Schneider W., Kraft E.
Berichte der deutschen chemischen Gesellschaft (A and B Series), 1922
16.
Chernyshova N.B., Tsyganov D.V., Khrustalev V.N., Raihstat M.M., Konyushkin L.D., Semenov R.V., Semenova M.N., Semenov V.V.
Arkivoc, 2017
17.
A Convenient One-Pot Preparative Method for 4,5-Diarylisoxazoles Involving Amine Exchange Reactions
Domínguez E., Ibeas E., Martínez de Marigorta E., Palacios J.K., SanMartín R.
Journal of Organic Chemistry, 1996