Home / Publications / Synthesis of substituted 5-hydroxypyrazolo[1,5-a]quinoxalin-4-ones

Synthesis of substituted 5-hydroxypyrazolo[1,5-a]quinoxalin-4-ones

Valeria Anatol'evna Panova 1
Valeria Anatol'evna Panova
Mikhail Konstantinovich Korsakov 1
Mikhail Konstantinovich Korsakov
Anton Andreevich Shetnev 1
Anton Andreevich Shetnev
Sergey Ivanovich Filimonov 1
Sergey Ivanovich Filimonov
Published 2018-12-28
CommunicationVolume 29, Issue 1, 114-115
4
Share
Cite this
GOST
 | 
Cite this
GOST Copy
Panova V. A. et al. Synthesis of substituted 5-hydroxypyrazolo[1,5-a]quinoxalin-4-ones // Mendeleev Communications. 2018. Vol. 29. No. 1. pp. 114-115.
GOST all authors (up to 50) Copy
Panova V. A., Korsakov M. K., Shetnev A. A., Filimonov S. I. Synthesis of substituted 5-hydroxypyrazolo[1,5-a]quinoxalin-4-ones // Mendeleev Communications. 2018. Vol. 29. No. 1. pp. 114-115.
RIS
 | 
Cite this
RIS Copy
TY - JOUR
DO - 10.1016/j.mencom.2019.01.039
UR - https://mendcomm.colab.ws/publications/10.1016/j.mencom.2019.01.039
TI - Synthesis of substituted 5-hydroxypyrazolo[1,5-a]quinoxalin-4-ones
T2 - Mendeleev Communications
AU - Panova, Valeria Anatol'evna
AU - Korsakov, Mikhail Konstantinovich
AU - Shetnev, Anton Andreevich
AU - Filimonov, Sergey Ivanovich
PY - 2018
DA - 2018/12/28
PB - Mendeleev Communications
SP - 114-115
IS - 1
VL - 29
ER -
BibTex
 | 
Cite this
BibTex (up to 50 authors) Copy
@article{2018_Panova,
author = {Valeria Anatol'evna Panova and Mikhail Konstantinovich Korsakov and Anton Andreevich Shetnev and Sergey Ivanovich Filimonov},
title = {Synthesis of substituted 5-hydroxypyrazolo[1,5-a]quinoxalin-4-ones},
journal = {Mendeleev Communications},
year = {2018},
volume = {29},
publisher = {Mendeleev Communications},
month = {Dec},
url = {https://mendcomm.colab.ws/publications/10.1016/j.mencom.2019.01.039},
number = {1},
pages = {114--115},
doi = {10.1016/j.mencom.2019.01.039}
}
MLA
Cite this
MLA Copy
Panova, Valeria Anatol'evna, et al. “Synthesis of substituted 5-hydroxypyrazolo[1,5-a]quinoxalin-4-ones.” Mendeleev Communications, vol. 29, no. 1, Dec. 2018, pp. 114-115. https://mendcomm.colab.ws/publications/10.1016/j.mencom.2019.01.039.

Abstract

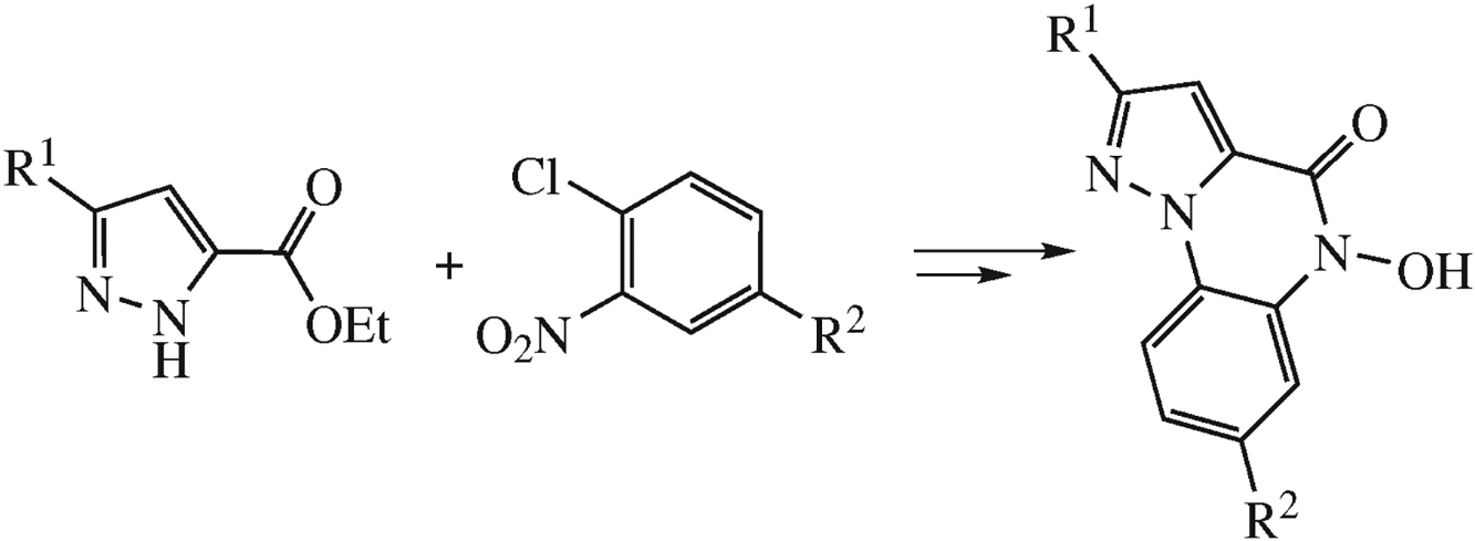
A two-stage selective synthesis of new substituted 5-hydroxypyrazolo[1,5-a]quinoxalin-4-ones from ethyl 3-arylpyrazole-5-carboxylates and activated o-chloronitroarenes substrates has been developed.

References

1.
Synthesis and Pharmacological Activities of Pyrazole Derivatives: A Review
Karrouchi K., Radi S., Ramli Y., Taoufik J., Mabkhot Y., Al-aizari F., Ansar M.
Molecules, 2018
3.
Synthesis and SAR of substituted pyrazolo[1,5-a]quinazolines as dual mGlu2/mGlu3 NAMs
Wenthur C.J., Morrison R.D., Daniels J.S., Conn P.J., Lindsley C.W.
Bioorganic and Medicinal Chemistry Letters, 2014
4.
Imidazo[1,2-a]pyrazine, Imidazo[1,5-a]quinoxaline and Pyrazolo[1,5-a]quinoxaline derivatives as IKK1 and IKK2 inhibitors
Patinote C., Bou Karroum N., Moarbess G., Deleuze-Masquefa C., Hadj-Kaddour K., Cuq P., Diab-Assaf M., Kassab I., Bonnet P.
European Journal of Medicinal Chemistry, 2017
5.
Synthesis of pyrazolo[1,5-a]quinoxalin-4(5H)-ones via one-pot amidation/N-arylation reactions under transition metal-free conditions
Wiethan C., Franceschini S.Z., Bonacorso H.G., Stradiotto M.
Organic and Biomolecular Chemistry, 2016
6.
Combinatorial synthesis of 4-oxo-4H-imidazo[1,5-a]quinoxalines and 4-oxo-4H-pyrazolo[1,5-a]quinoxalines
Spatz J.H., Umkehrer M., Kalinski C., Ross G., Burdack C., Kolb J., Bach T.
Tetrahedron Letters, 2007
8.
Synthesis and cytotoxicity evaluation of 1-[3-(9H-carbazol-4-yloxy)-2-hydroxypropyl]-3-aryl-1H-pyrazole-5-carboxylic acid derivatives
Nagarapu L., Gaikwad H.K., Sarikonda K., Mateti J., Bantu R., Raghu P.S., Manda K.M., Kalvendi S.V.
European Journal of Medicinal Chemistry, 2010
9.
Kormanov A.V., Shkineva T.K., Dalinger I.L.
Mendeleev Communications, 2017
10.
Condensation of 5-amino-4-arylpyrazoles with itaconic acid and maleic anhydride
Filimonov S.I., Korsakov M.K., Chirkova Z.V., Abramov I.G., Stashina G.A., Firgang S.I., Kovygin Y.A., Shikhaliev K.S.
Chemistry of Heterocyclic Compounds, 2013
12.
Ivanova A.E., Burgart Y.V., Saloutin V.I., Orshanskaya Y.R., Zarubaev V.V.
Mendeleev Communications, 2018
13.
Regioselective Synthesis, NMR, and Crystallographic Analysis of N1-Substituted Pyrazoles
Huang A., Wo K., Lee S.Y., Kneitschel N., Chang J., Zhu K., Mello T., Bancroft L., Norman N.J., Zheng S.
Journal of Organic Chemistry, 2017
14.
Synthesis of Novel Substituted 4-Hydroxy-3-oxo-3,4-dihydro-2H-1,4-benzoxazine-6,7-dicarbonitriles
I. Filimonov S., V. Chirkova Z., G. Abramov I., I. Firgang S., A. Stashina G., Yu. Suponitsky K.
Heterocycles, 2011