Home / Publications / 1,2,5-Oxadiazolo[3,4-g]indoles via annelation of 6,7-dihydrobenzo[c][1,2,5]oxadiazol-4(5H)-one oxime with acetylene

1,2,5-Oxadiazolo[3,4-g]indoles via annelation of 6,7-dihydrobenzo[c][1,2,5]oxadiazol-4(5H)-one oxime with acetylene

Arsalan Badmaevich Budaev 1
Arsalan Badmaevich Budaev
Olga Vital'evna Petrova 1
Olga Vital'evna Petrova
Vladimir Anatol'evich Samsonov 2
Vladimir Anatol'evich Samsonov
Igor Alekseevich Ushakov 1
Igor Alekseevich Ushakov
Aleksei Ya Tikhonov 2
Aleksei Ya Tikhonov
Boris Aleksandrovich Trofimov 1
Boris Aleksandrovich Trofimov
Published 2018-12-28
CommunicationVolume 29, Issue 1, 53-54
2
Share
Cite this
GOST
 | 
Cite this
GOST Copy
Budaev A. B. et al. 1,2,5-Oxadiazolo[3,4-g]indoles via annelation of 6,7-dihydrobenzo[c][1,2,5]oxadiazol-4(5H)-one oxime with acetylene // Mendeleev Communications. 2018. Vol. 29. No. 1. pp. 53-54.
GOST all authors (up to 50) Copy
Budaev A. B., Ivanov A. V., Petrova O. V., Samsonov V. A., Ushakov I. A., Tikhonov A. Ya., Sobenina L. N., Trofimov B. A. 1,2,5-Oxadiazolo[3,4-g]indoles via annelation of 6,7-dihydrobenzo[c][1,2,5]oxadiazol-4(5H)-one oxime with acetylene // Mendeleev Communications. 2018. Vol. 29. No. 1. pp. 53-54.
RIS
 | 
Cite this
RIS Copy
TY - JOUR
DO - 10.1016/j.mencom.2019.01.016
UR - https://mendcomm.colab.ws/publications/10.1016/j.mencom.2019.01.016
TI - 1,2,5-Oxadiazolo[3,4-g]indoles via annelation of 6,7-dihydrobenzo[c][1,2,5]oxadiazol-4(5H)-one oxime with acetylene
T2 - Mendeleev Communications
AU - Budaev, Arsalan Badmaevich
AU - Ivanov, Andrey Viktorovich
AU - Petrova, Olga Vital'evna
AU - Samsonov, Vladimir Anatol'evich
AU - Ushakov, Igor Alekseevich
AU - Tikhonov, Aleksei Ya
AU - Sobenina, Lyubov Nikolaevna
AU - Trofimov, Boris Aleksandrovich
PY - 2018
DA - 2018/12/28
PB - Mendeleev Communications
SP - 53-54
IS - 1
VL - 29
ER -
BibTex
 | 
Cite this
BibTex (up to 50 authors) Copy
@article{2018_Budaev,
author = {Arsalan Badmaevich Budaev and Andrey Viktorovich Ivanov and Olga Vital'evna Petrova and Vladimir Anatol'evich Samsonov and Igor Alekseevich Ushakov and Aleksei Ya Tikhonov and Lyubov Nikolaevna Sobenina and Boris Aleksandrovich Trofimov},
title = {1,2,5-Oxadiazolo[3,4-g]indoles via annelation of 6,7-dihydrobenzo[c][1,2,5]oxadiazol-4(5H)-one oxime with acetylene},
journal = {Mendeleev Communications},
year = {2018},
volume = {29},
publisher = {Mendeleev Communications},
month = {Dec},
url = {https://mendcomm.colab.ws/publications/10.1016/j.mencom.2019.01.016},
number = {1},
pages = {53--54},
doi = {10.1016/j.mencom.2019.01.016}
}
MLA
Cite this
MLA Copy
Budaev, Arsalan Badmaevich, et al. “1,2,5-Oxadiazolo[3,4-g]indoles via annelation of 6,7-dihydrobenzo[c][1,2,5]oxadiazol-4(5H)-one oxime with acetylene.” Mendeleev Communications, vol. 29, no. 1, Dec. 2018, pp. 53-54. https://mendcomm.colab.ws/publications/10.1016/j.mencom.2019.01.016.

Abstract

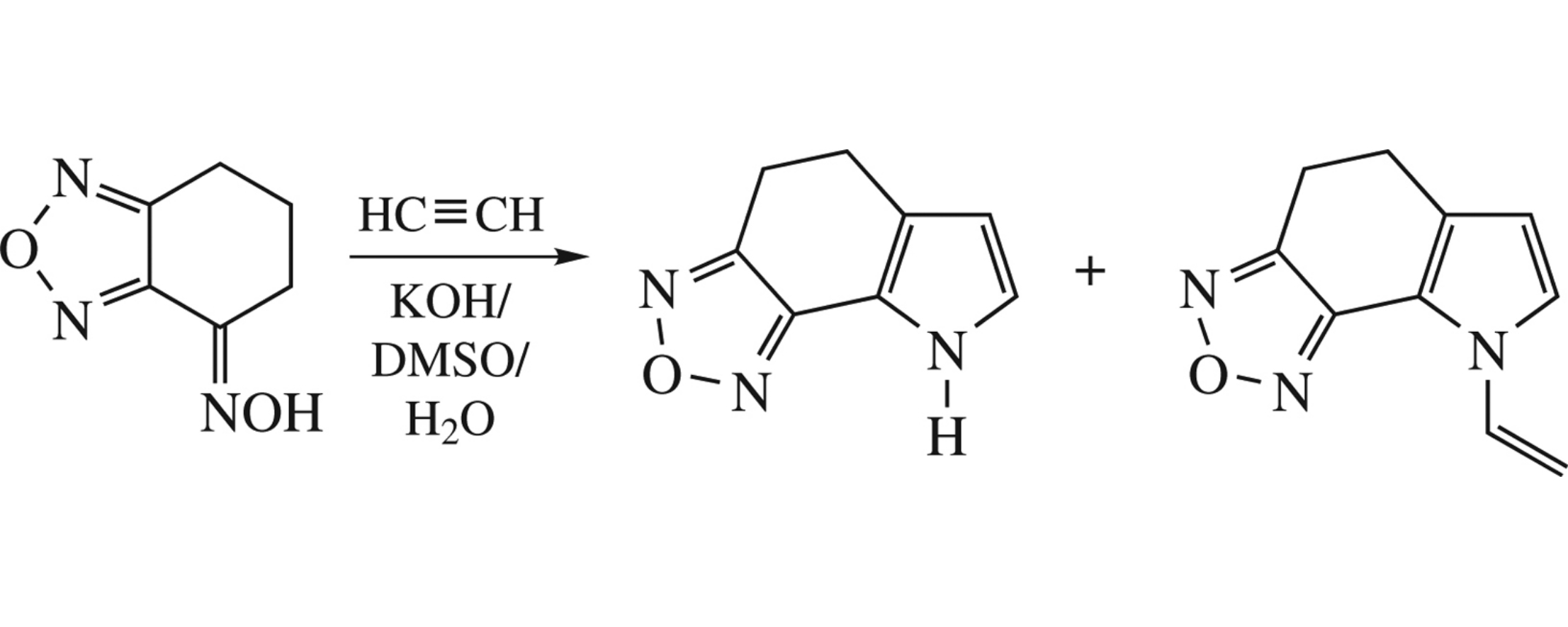
6,7-Dihydrobenzo[c][1,2,5]oxadiazol-4(5H)-one oxime is annelated with acetylene in the KOH/DMSO/H2O system under pressure to give NH- or N-vinyl-5,8-dihydro-4H-[1,2,5]oxadiazolo[3,4-g]indoles in 29 and 68% yields, respectively. These derivatives are readily aromatized with DDQ at room temperature to the expected indoles.

References

3.
Synthesis of novel 1,2,5-oxadiazoles and evaluation of action against Acinetobacter baumannii
Christoff R.M., Murray G.L., Kostoulias X.P., Peleg A.Y., Abbott B.M.
Bioorganic and Medicinal Chemistry, 2017
5.
Nitric Oxide Donor Doxorubicins Accumulate into Doxorubicin-Resistant Human Colon Cancer Cells Inducing Cytotoxicity
Chegaev K., Riganti C., Lazzarato L., Rolando B., Guglielmo S., Campia I., Fruttero R., Bosia A., Gasco A.
ACS Medicinal Chemistry Letters, 2011
7.
A facile synthesis and microtubule-destabilizing properties of 4-(1H-benzo[d]imidazol-2-yl)-furazan-3-amines
Stepanov A.I., Astrat'ev A.A., Sheremetev A.B., Lagutina N.K., Palysaeva N.V., Tyurin A.Y., Aleksandrova N.S., Sadchikova N.P., Suponitsky K.Y., Atamanenko O.P., Konyushkin L.D., Semenov R.V., Firgang S.I., Kiselyov A.S., Semenova M.N., et. al.
European Journal of Medicinal Chemistry, 2015
9.
Design, Synthesis, and Antitumor Evaluation of Novel Histone Deacetylase Inhibitors Equipped with a Phenylsulfonylfuroxan Module as a Nitric Oxide Donor
10.
Synthesis of oxadiazole-2-oxide analogues as potential antischistosomal agents
Rai G., Thomas C.J., Leister W., Maloney D.J.
Tetrahedron Letters, 2009
11.
New praziquantel derivatives containing NO-donor furoxans and related furazans as active agents against Schistosoma mansoni
Guglielmo S., Cortese D., Vottero F., Rolando B., Kommer V.P., Williams D.L., Fruttero R., Gasco A.
European Journal of Medicinal Chemistry, 2014
12.
Furazan and furoxan sulfonamides are strong α-carbonic anhydrase inhibitors and potential antiglaucoma agents
Chegaev K., Lazzarato L., Tamboli Y., Boschi D., Blangetti M., Scozzafava A., Carta F., Masini E., Fruttero R., Supuran C.T., Gasco A.
Bioorganic and Medicinal Chemistry, 2014
13.
A. V. Anikin, V.R. Gantla, V.E. Gregor, L. Jiang, Y. Liu, D.P. C. Mcgee, C.C. Mikel, J.C. Pickens, T.R. Webb, Y. Zheng, T. Zhu, A. Kadushkin, S. Zozulya, A. Chucholowski, D.E. Mcgrath, S. Sviridov, Patent WO 2007056155A1, 2007.(Chem. Abstr., 2007, 146, 521800).
14.
O. Dirat, J.M. Elliott, A.P. Owens, D.E. Shaw, F. Sternfeld, B. J. Williams, Patent WO 2007003965, 2007.(Chem. Abstr., 2007, 146, 142372).
15.
W. B. Trotter, K.K. Nanda, S. Wolkenberg, B.M. Nolt, P. Manley, N.R. Kett, M. T. Bilodeau, Patent WO 2007050348, 2007.(Chem. Abstr., 2007, 146, 481931).
16.
Synthetic studies on asperparaline A.Synthesis of the spirosuccinimide ring system
Gonzalez F., Sanz-Cervera J.F., Williams R.M.
Tetrahedron Letters, 1999
17.
10.1016/j.mencom.2019.01.016_sbref0050b
Tedeschi
2001
18.
10.1016/j.mencom.2019.01.016_sbref0050c
The Chemistry of Hydroxylamines, Oximes and Hydroxamic Acids, 2008
19.
10.1016/j.mencom.2019.01.016_sbref0050d
Wang
Comprehensive Organic Name Reactions and Reagents, 2009
20.
Pyrroles and N-Vinylpyrroles from Ketones and Acetylenes
Trofimov B.A., Mikhaleva A.I., Schmidt E.Y., Sobenina L.N.
Advances in Heterocyclic Chemistry, 2010
21.
10.1016/j.mencom.2019.01.016_sbref0050f
Modern Heterocyclic Chemistry, 2011
22.
10.1016/j.mencom.2019.01.016_sbref0050g
Name Reactions in Heterocyclic Chemistry II, 2011
23.
Synthesis of 4,5'-dihydro derivatives of benzodifurazan, benzodifuroxan, and benzofurazanofuroxan
Samsonov V.A., Volodarskii L.B.
Chemistry of Heterocyclic Compounds, 1991
24.
Formation of 1-aminophenazine from 3,4-dihydrophenazin-1(2H)-one oxime in the system acetylene–KOH–DMSO
Petrova O.V., Sobenina L.N., Budaev A.B., Ivanov A.V., Samsonov V.A., Tikhonov A.Y., Trofimov B.A.
Russian Journal of Organic Chemistry, 2017
25.
Petrova O.V., Sobenina L.N., Ushakov I.A., Budaev A.B., Ivanov A.V., Samsonov V.A., Tikhonov A.Y., Trofimov B.A.
Mendeleev Communications, 2017
26.
1,2,5-Oxadiazole analogues of leflunomide and related compounds
Giorgis M., Lolli M.L., Rolando B., Rao A., Tosco P., Chaurasia S., Marabello D., Fruttero R., Gasco A.
European Journal of Medicinal Chemistry, 2011
27.
10.1016/j.mencom.2019.01.016_bib0075
Trofimov
Chemistry of Pyrroles, 2014