Home / Publications / A catalyst-free one-step synthesis of N-pyrimidinyl amidines from endocyclic enamines and 4-azidopyrimidines

A catalyst-free one-step synthesis of N-pyrimidinyl amidines from endocyclic enamines and 4-azidopyrimidines

Nikolai Arkadievich Beliaev 1
Nikolai Arkadievich Beliaev
Tatyana Vladimirovna Beryozkina 1
Tatyana Vladimirovna Beryozkina
Gert Lubec 2
Gert Lubec
Published 2018-12-28
CommunicationVolume 29, Issue 1, 50-52
3
Share
Cite this
GOST
 | 
Cite this
GOST Copy
Beliaev N. A. et al. A catalyst-free one-step synthesis of N-pyrimidinyl amidines from endocyclic enamines and 4-azidopyrimidines // Mendeleev Communications. 2018. Vol. 29. No. 1. pp. 50-52.
GOST all authors (up to 50) Copy
Beliaev N. A., Beryozkina T. V., Lubec G., Bakulev V. A. A catalyst-free one-step synthesis of N-pyrimidinyl amidines from endocyclic enamines and 4-azidopyrimidines // Mendeleev Communications. 2018. Vol. 29. No. 1. pp. 50-52.
RIS
 | 
Cite this
RIS Copy
TY - JOUR
DO - 10.1016/j.mencom.2019.01.015
UR - https://mendcomm.colab.ws/publications/10.1016/j.mencom.2019.01.015
TI - A catalyst-free one-step synthesis of N-pyrimidinyl amidines from endocyclic enamines and 4-azidopyrimidines
T2 - Mendeleev Communications
AU - Beliaev, Nikolai Arkadievich
AU - Beryozkina, Tatyana Vladimirovna
AU - Lubec, Gert
AU - Bakulev, Vasiliy Alekseevich
PY - 2018
DA - 2018/12/28
PB - Mendeleev Communications
SP - 50-52
IS - 1
VL - 29
ER -
BibTex
 | 
Cite this
BibTex (up to 50 authors) Copy
@article{2018_Beliaev,
author = {Nikolai Arkadievich Beliaev and Tatyana Vladimirovna Beryozkina and Gert Lubec and Vasiliy Alekseevich Bakulev},
title = {A catalyst-free one-step synthesis of N-pyrimidinyl amidines from endocyclic enamines and 4-azidopyrimidines},
journal = {Mendeleev Communications},
year = {2018},
volume = {29},
publisher = {Mendeleev Communications},
month = {Dec},
url = {https://mendcomm.colab.ws/publications/10.1016/j.mencom.2019.01.015},
number = {1},
pages = {50--52},
doi = {10.1016/j.mencom.2019.01.015}
}
MLA
Cite this
MLA Copy
Beliaev, Nikolai Arkadievich, et al. “A catalyst-free one-step synthesis of N-pyrimidinyl amidines from endocyclic enamines and 4-azidopyrimidines.” Mendeleev Communications, vol. 29, no. 1, Dec. 2018, pp. 50-52. https://mendcomm.colab.ws/publications/10.1016/j.mencom.2019.01.015.

Abstract

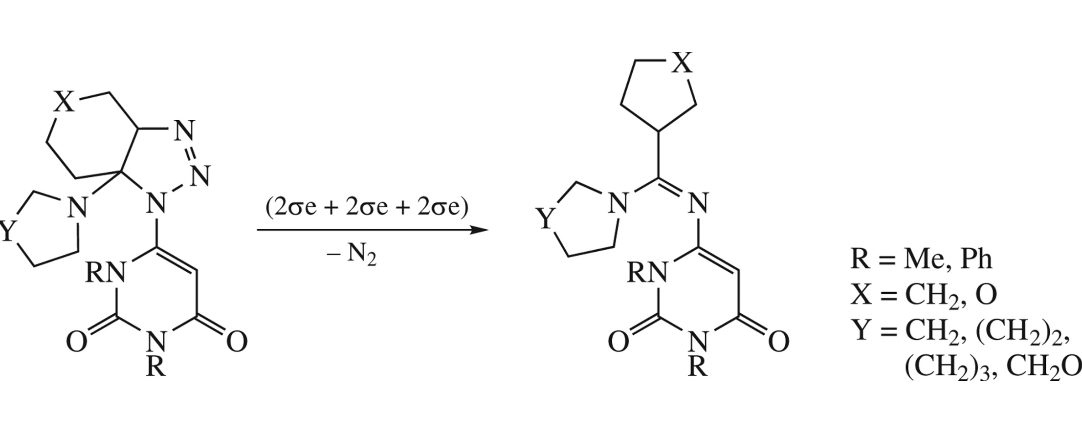
Novel N-pyrimidyl amidines of alycyclic acids were obtained in one step from of 4-azidopyrimidines and endocyclic enamines. The reaction mechanism involves [3 + 2]-addition of azide at the double bond followed by cleavage of thus formed 1,2,3-triazoline ring, and a contraction of alicycle.

References

1.
Amidines and guanidines in medicinal chemistry.
Greenhill J.V., Lue P.
Progress in Medicinal Chemistry, 1993
2.
10.1016/j.mencom.2019.01.015_sbref0005b
Boyd
1991
3.
Pyrazolo-pyrimidine-derived c-Src inhibitor reduces angiogenesis and survival of squamous carcinoma cells by suppressing vascular endothelial growth factor production and signaling
Donnini S., Monti M., Castagnini C., Solito R., Botta M., Schenone S., Giachetti A., Ziche M.
International Journal of Cancer, 2006
4.
One-pot synthesis and antibacterial activities of pyrazolo[4′,3′:5,6]pyrido[2,3-d]pyrimidine-dione derivatives
Bazgir A., Khanaposhtani M.M., Soorki A.A.
Bioorganic and Medicinal Chemistry Letters, 2008
5.
Effect of some pyrimidine compounds on rat brain monoamine oxidase-B in vitro
Shaban N.Z., Masoud M.S., Mawlawi M.A., Awad D., Sadek O.M.
Journal of Physiology and Biochemistry, 2012
6.
Synthesis and antileishmanial profile of some novel terpenyl pyrimidines
Pandey S., Suryawanshi S.N., Gupta S., M.L. Srivastava V.
European Journal of Medicinal Chemistry, 2004
8.
Anticancer activities of some newly synthesized pyridine, pyrane, and pyrimidine derivatives
Amr A.E., Mohamed A.M., Mohamed S.F., Abdel-Hafez N.A., Hammam A.E.
Bioorganic and Medicinal Chemistry, 2006
9.
B.J. Branstetter, J.G. Breitenbucher, A.D. Lebsack, W. Xiao, Patent WO 2008005303 A2, 2008.
10.
A Novel Synthesis of Some New Pyrimidine and Thiazolopyrimidine Derivatives for Anticancer Evaluation
Flefel E.E., Salama M.A., El-Shahat M., El-Hashash M.A., El-Farargy A.F.
Phosphorus, Sulfur and Silicon and the Related Elements, 2007
11.
Verbitskiy E.V., Baskakova S.A., Gerasimova N.A., Evstigneeva N.P., Zil’berberg N.V., Kungurov N.V., Kravchenko M.A., Rusinov G.L., Chupakhina O.N., Charushin V.N.
Mendeleev Communications, 2018
12.
An approach to alicyclic ring-fused xanthines
Liubchak K., Tolmachev A., Grygorenko O.O., Nazarenko K.
Tetrahedron, 2012
14.
Synthesis and reactivity of 5-polyfluoroalkyl-5-deazaalloxazines
Dudkin S., Iaroshenko V.O., Sosnovskikh V.Y., Tolmachev A.A., Villinger A., Langer P.
Organic and Biomolecular Chemistry, 2013
18.
Reactions of β-Azolylenamines with Sulfonyl Azides as an Approach toN-Unsubstituted 1,2,3-Triazoles and Ethene-1,2-diamines
Efimov I., Bakulev V., Beliaev N., Beryozkina T., Knippschild U., Leban J., Zhi-Jin F., Eltsov O., Slepukhin P., Ezhikova M., Dehaen W.
European Journal of Organic Chemistry, 2014
20.
The Rich Chemistry Resulting from the 1,3-Dipolar Cycloaddition Reactions of Enamines and Azides
Bakulev V.A., Beryozkina T., Thomas J., Dehaen W.
European Journal of Organic Chemistry, 2017
21.
Novel method for the synthesis of 4-(azol-5-yl)-1,2,3-triazoles
Bakulev V.A., Efimov I.V., Belyaev N.A., Rozin Y.A., Volkova N.N., El’tsov O.S.
Chemistry of Heterocyclic Compounds, 2012
22.
Mutual catalytic conversions of unsubstituted furan and pyran systems
Anderson A.A., Simonyan S.P., Lukevics E.
Chemistry of Heterocyclic Compounds, 1998
23.
Asymmetric Modular Synthesis of a Semirigid Dipeptide Mimetic by Cascade Cycloaddition/Ring Rearrangement and Borohydride Reduction
Pellegrino S., Contini A., Gelmi M.L., Lo Presti L., Soave R., Erba E.
Journal of Organic Chemistry, 2014
24.
A short history of SHELX
Sheldrick G.M.
Acta Crystallographica Section A Foundations of Crystallography, 2007