Home / Publications / Synthesis and antimycobacterial activity of purine conjugates with (S)-lysine and (S)-ornithine

Synthesis and antimycobacterial activity of purine conjugates with (S)-lysine and (S)-ornithine

Vera Vasil'evna Musiyak 1
Vera Vasil'evna Musiyak
Dmitry Andreevich Gruzdev 1, 2
Dmitry Andreevich Gruzdev
Marionella Anatol'evna Kravchenko 3
Marionella Anatol'evna Kravchenko
Diana Vladimirovna Vakhrusheva 3
Diana Vladimirovna Vakhrusheva
Galina L'vovna Levit 1, 2
Galina L'vovna Levit
Victor Pavlovich Krasnov 1, 2
Victor Pavlovich Krasnov
Valery Nikolaevich Charushin
Published 2018-12-28
CommunicationVolume 29, Issue 1, 11-13
12
Share
Cite this
GOST
 | 
Cite this
GOST Copy
Musiyak V. V. et al. Synthesis and antimycobacterial activity of purine conjugates with (S)-lysine and (S)-ornithine // Mendeleev Communications. 2018. Vol. 29. No. 1. pp. 11-13.
GOST all authors (up to 50) Copy
Musiyak V. V., Gruzdev D. A., Kravchenko M. A., Vakhrusheva D. V., Levit G. L., Krasnov V. P., Charushin V. N. Synthesis and antimycobacterial activity of purine conjugates with (S)-lysine and (S)-ornithine // Mendeleev Communications. 2018. Vol. 29. No. 1. pp. 11-13.
RIS
 | 
Cite this
RIS Copy
TY - JOUR
DO - 10.1016/j.mencom.2019.01.002
UR - https://mendcomm.colab.ws/publications/10.1016/j.mencom.2019.01.002
TI - Synthesis and antimycobacterial activity of purine conjugates with (S)-lysine and (S)-ornithine
T2 - Mendeleev Communications
AU - Musiyak, Vera Vasil'evna
AU - Gruzdev, Dmitry Andreevich
AU - Kravchenko, Marionella Anatol'evna
AU - Vakhrusheva, Diana Vladimirovna
AU - Levit, Galina L'vovna
AU - Krasnov, Victor Pavlovich
AU - Charushin, Valery Nikolaevich
PY - 2018
DA - 2018/12/28
PB - Mendeleev Communications
SP - 11-13
IS - 1
VL - 29
ER -
BibTex
 | 
Cite this
BibTex (up to 50 authors) Copy
@article{2018_Musiyak,
author = {Vera Vasil'evna Musiyak and Dmitry Andreevich Gruzdev and Marionella Anatol'evna Kravchenko and Diana Vladimirovna Vakhrusheva and Galina L'vovna Levit and Victor Pavlovich Krasnov and Valery Nikolaevich Charushin},
title = {Synthesis and antimycobacterial activity of purine conjugates with (S)-lysine and (S)-ornithine},
journal = {Mendeleev Communications},
year = {2018},
volume = {29},
publisher = {Mendeleev Communications},
month = {Dec},
url = {https://mendcomm.colab.ws/publications/10.1016/j.mencom.2019.01.002},
number = {1},
pages = {11--13},
doi = {10.1016/j.mencom.2019.01.002}
}
MLA
Cite this
MLA Copy
Musiyak, Vera Vasil'evna, et al. “Synthesis and antimycobacterial activity of purine conjugates with (S)-lysine and (S)-ornithine.” Mendeleev Communications, vol. 29, no. 1, Dec. 2018, pp. 11-13. https://mendcomm.colab.ws/publications/10.1016/j.mencom.2019.01.002.

Abstract

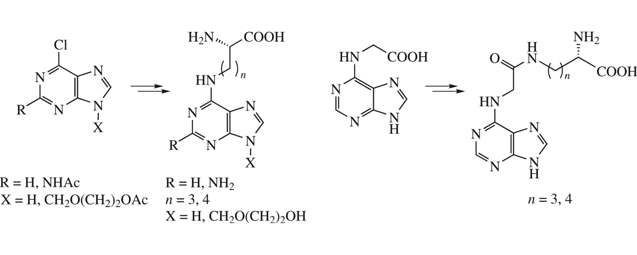
Novel purin-6-yl, 2-aminopurin-6-yl and N-(purin-6-yl)glycyl derivatives of (S)-lysine and (S)-ornithine with free α-functional groups, as well as compounds containing N9-(2-hydroxy-ethoxy)methyl substituent in the purine core have been synthesized and tested for their inhibitory effect against Mycobacterium tuberculosis strains. Among the synthesized conjugates, one compound exhibiting a significant level of antimycobacterial activity has been found.

References

3.
Aminopurine and aminoquinazoline scaffolds for development of potential dengue virus inhibitors
Venkatesham A., Saudi M., Kaptein S., Neyts J., Rozenski J., Froeyen M., Van Aerschot A.
European Journal of Medicinal Chemistry, 2017
4.
10.1016/j.mencom.2019.01.002_bib0020
Roecker
Clin. Med. Insights: Oncol., 2010
5.
Synthesis of novel substituted purine derivatives and identification of the cell death mechanism
Demir Z., Guven E.B., Ozbey S., Kazak C., Atalay R.C., Tuncbilek M.
European Journal of Medicinal Chemistry, 2015
7.
Fighting tuberculosis: An old disease with new challenges
Tripathi R.P., Tewari N., Dwivedi N., Tiwari V.K.
Medicinal Research Reviews, 2005
8.
Theophylline-7-acetic acid derivatives with amino acids as anti-tuberculosis agents
Voynikov Y., Valcheva V., Momekov G., Peikov P., Stavrakov G.
Bioorganic and Medicinal Chemistry Letters, 2014
9.
Design, Synthesis, and Antimycobacterial Activity of Novel Theophylline-7-Acetic Acid Derivatives With Amino Acid Moieties
Stavrakov G., Valcheva V., Voynikov Y., Philipova I., Atanasova M., Konstantinov S., Peikov P., Doytchinova I.
Chemical Biology and Drug Design, 2015
12.
Vigorov A.Y., Krasnov V.P., Gruzdev D.A., Men'shikova A.A., Demin A.M., Levit G.L., Charushin V.N.
Mendeleev Communications, 2014
13.
Synthesis of enantiomers of N-(2-aminopurin-6-yl)amino acids
Krasnov V.P., Vigorov A.Y., Gruzdev D.A., Levit G.L., Demin A.M., Nizova I.A., Tumashov A.A., Sadretdinova L.S., Gorbunov E.B., Charushin V.N.
Russian Chemical Bulletin, 2015
14.
Synthesis and antimycobacterial activity of N -(2-aminopurin-6-yl) and N -(purin-6-yl) amino acids and dipeptides
Krasnov V.P., Vigorov A.Y., Musiyak V.V., Nizova I.A., Gruzdev D.A., Matveeva T.V., Levit G.L., Kravchenko M.A., Skornyakov S.N., Bekker O.B., Danilenko V.N., Charushin V.N.
Bioorganic and Medicinal Chemistry Letters, 2016
15.
Gruzdev D.A., Chulakov E.N., Levit G.L., Kravchenko M.A., Krasnov V.P., Charushin V.N.
Mendeleev Communications, 2017
17.
Prodrug approach: An overview of recent cases
Abet V., Filace F., Recio J., Alvarez-Builla J., Burgos C.
European Journal of Medicinal Chemistry, 2017